• 文献检索
  • 文档翻译
  • 深度研究
  • 学术资讯
  • Suppr Zotero 插件Zotero 插件
  • 邀请有礼
  • 套餐&价格
  • 历史记录
应用&插件
Suppr Zotero 插件Zotero 插件浏览器插件Mac 客户端Windows 客户端微信小程序
定价
高级版会员购买积分包购买API积分包
服务
文献检索文档翻译深度研究API 文档MCP 服务
关于我们
关于 Suppr公司介绍联系我们用户协议隐私条款
关注我们

Suppr 超能文献

核心技术专利:CN118964589B侵权必究
粤ICP备2023148730 号-1Suppr @ 2026

文献检索

告别复杂PubMed语法,用中文像聊天一样搜索,搜遍4000万医学文献。AI智能推荐,让科研检索更轻松。

立即免费搜索

文件翻译

保留排版,准确专业,支持PDF/Word/PPT等文件格式,支持 12+语言互译。

免费翻译文档

深度研究

AI帮你快速写综述,25分钟生成高质量综述,智能提取关键信息,辅助科研写作。

立即免费体验

采用原位光谱法研究商业纯钛表面生物相容性聚环氧乙烷涂层的生长情况。

Investigation of Biocompatible PEO Coating Growth on cp-Ti with In Situ Spectroscopic Methods.

作者信息

Aubakirova Veta, Farrakhov Ruzil, Sharipov Arseniy, Polyakova Veronika, Parfenova Lyudmila, Parfenov Evgeny

机构信息

Department of Electronic Engineering, Ufa State Aviation Technical University, 12 Karl Marx Street, 450008 Ufa, Russia.

Institute of Physics of Advanced Materials, Ufa State Aviation Technical University, 12 Karl Marx Street, 450008 Ufa, Russia.

出版信息

Materials (Basel). 2021 Dec 21;15(1):9. doi: 10.3390/ma15010009.

DOI:10.3390/ma15010009
PMID:35009157
原文链接:https://pmc.ncbi.nlm.nih.gov/articles/PMC8745912/
Abstract

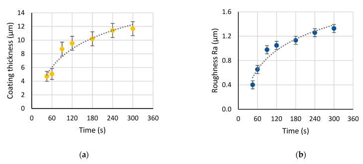
The problem of the optimization of properties for biocompatible coatings as functional materials requires in-depth understanding of the coating formation processes; this allows for precise manufacturing of new generation implantable devices. Plasma electrolytic oxidation (PEO) opens the possibility for the design of biomimetic surfaces for better biocompatibility of titanium materials. The pulsed bipolar PEO process of cp-Ti under voltage control was investigated using joint analysis of the surface characterization and by in situ methods of impedance spectroscopy and optical emission spectroscopy. Scanning electron microscopy, X-ray diffractometry, coating thickness, and roughness measurements were used to characterize the surface morphology evolution during the treatment for 5 min. In situ impedance spectroscopy facilitated the evaluation of the PEO process frequency response and proposed the underlying equivalent circuit where parameters were correlated with the coating layer properties. In situ optical emission spectroscopy helped to analyze the spectral line evolutions for the substrate material and electrolyte species and to justify a method to estimate the coating thickness via the relation of the spectral line intensities. As a result, the optimal treatment time was established as 2 min; this provides a 9-11 µm thick PEO coating with Ra 1 µm, 3-5% porosity, and containing 75% of anatase. The methods for in-situ spectral diagnostics of the coating thickness and roughness were justified so that the treatment time can be corrected online when the coating achieves the required properties.

摘要

作为功能材料的生物相容性涂层性能优化问题需要深入了解涂层形成过程;这使得新一代可植入装置的精确制造成为可能。等离子体电解氧化(PEO)为设计具有更好生物相容性的钛材料仿生表面提供了可能性。通过对表面表征进行联合分析,并采用阻抗谱和光发射光谱的原位方法,研究了纯钛在电压控制下的脉冲双极PEO工艺。利用扫描电子显微镜、X射线衍射、涂层厚度和粗糙度测量来表征5分钟处理过程中表面形态的演变。原位阻抗谱有助于评估PEO工艺的频率响应,并提出了潜在的等效电路,其中参数与涂层性能相关。原位光发射光谱有助于分析基底材料和电解质物种的光谱线演变,并通过光谱线强度关系证明了一种估计涂层厚度的方法。结果,确定最佳处理时间为2分钟;这可提供一层厚度为9 - 11 µm、粗糙度为Ra 1 µm、孔隙率为3 - 5%且含有75%锐钛矿的PEO涂层。涂层厚度和粗糙度的原位光谱诊断方法得到了验证,这样当涂层达到所需性能时,可以在线校正处理时间。

https://cdn.ncbi.nlm.nih.gov/pmc/blobs/ccf2/8745912/728506a9eab0/materials-15-00009-g010.jpg
https://cdn.ncbi.nlm.nih.gov/pmc/blobs/ccf2/8745912/a7cbe52c0129/materials-15-00009-g001.jpg
https://cdn.ncbi.nlm.nih.gov/pmc/blobs/ccf2/8745912/e11363e8c2fc/materials-15-00009-g002a.jpg
https://cdn.ncbi.nlm.nih.gov/pmc/blobs/ccf2/8745912/cf42f7933158/materials-15-00009-g003a.jpg
https://cdn.ncbi.nlm.nih.gov/pmc/blobs/ccf2/8745912/0c8c5921466d/materials-15-00009-g004.jpg
https://cdn.ncbi.nlm.nih.gov/pmc/blobs/ccf2/8745912/4eda9046c98e/materials-15-00009-g005a.jpg
https://cdn.ncbi.nlm.nih.gov/pmc/blobs/ccf2/8745912/6f0957f27b10/materials-15-00009-g006.jpg
https://cdn.ncbi.nlm.nih.gov/pmc/blobs/ccf2/8745912/03bbacb15ad2/materials-15-00009-g007.jpg
https://cdn.ncbi.nlm.nih.gov/pmc/blobs/ccf2/8745912/5182e920243e/materials-15-00009-g008.jpg
https://cdn.ncbi.nlm.nih.gov/pmc/blobs/ccf2/8745912/f88f484d6b07/materials-15-00009-g009a.jpg
https://cdn.ncbi.nlm.nih.gov/pmc/blobs/ccf2/8745912/728506a9eab0/materials-15-00009-g010.jpg
https://cdn.ncbi.nlm.nih.gov/pmc/blobs/ccf2/8745912/a7cbe52c0129/materials-15-00009-g001.jpg
https://cdn.ncbi.nlm.nih.gov/pmc/blobs/ccf2/8745912/e11363e8c2fc/materials-15-00009-g002a.jpg
https://cdn.ncbi.nlm.nih.gov/pmc/blobs/ccf2/8745912/cf42f7933158/materials-15-00009-g003a.jpg
https://cdn.ncbi.nlm.nih.gov/pmc/blobs/ccf2/8745912/0c8c5921466d/materials-15-00009-g004.jpg
https://cdn.ncbi.nlm.nih.gov/pmc/blobs/ccf2/8745912/4eda9046c98e/materials-15-00009-g005a.jpg
https://cdn.ncbi.nlm.nih.gov/pmc/blobs/ccf2/8745912/6f0957f27b10/materials-15-00009-g006.jpg
https://cdn.ncbi.nlm.nih.gov/pmc/blobs/ccf2/8745912/03bbacb15ad2/materials-15-00009-g007.jpg
https://cdn.ncbi.nlm.nih.gov/pmc/blobs/ccf2/8745912/5182e920243e/materials-15-00009-g008.jpg
https://cdn.ncbi.nlm.nih.gov/pmc/blobs/ccf2/8745912/f88f484d6b07/materials-15-00009-g009a.jpg
https://cdn.ncbi.nlm.nih.gov/pmc/blobs/ccf2/8745912/728506a9eab0/materials-15-00009-g010.jpg

相似文献

1
Investigation of Biocompatible PEO Coating Growth on cp-Ti with In Situ Spectroscopic Methods.采用原位光谱法研究商业纯钛表面生物相容性聚环氧乙烷涂层的生长情况。
Materials (Basel). 2021 Dec 21;15(1):9. doi: 10.3390/ma15010009.
2
In vitro biological response of plasma electrolytically oxidized and plasma-sprayed hydroxyapatite coatings on Ti-6Al-4V alloy.Ti-6Al-4V 合金上等离子电解氧化和等离子喷涂羟基磷灰石涂层的体外生物学反应。
J Biomed Mater Res B Appl Biomater. 2013 Aug;101(6):939-49. doi: 10.1002/jbm.b.32899. Epub 2013 Mar 26.
3
Frequency Response Evaluation as Diagnostic and Optimization Tool for Pulsed Unipolar Plasma Electrolytic Oxidation Process and Resultant Coatings on Zirconium.频率响应评估作为脉冲单极等离子体电解氧化工艺及锆表面生成涂层的诊断与优化工具
Materials (Basel). 2023 Dec 17;16(24):7681. doi: 10.3390/ma16247681.
4
Modification of titanium alloys surface properties by plasma electrolytic oxidation (PEO) and influence on biological response.通过等离子电解氧化(PEO)对钛合金表面性能进行改性及其对生物响应的影响。
J Mater Sci Mater Med. 2017 Sep 27;28(11):169. doi: 10.1007/s10856-017-5972-x.
5
Porous Coatings Containing Copper and Phosphorus Obtained by Plasma Electrolytic Oxidation of Titanium.通过钛的等离子体电解氧化获得的含铜和磷的多孔涂层。
Materials (Basel). 2020 Feb 12;13(4):828. doi: 10.3390/ma13040828.
6
Incorporation of Ca ions into anodic oxide coatings on the Ti-13Nb-13Zr alloy by plasma electrolytic oxidation.通过等离子体电解氧化将 Ca 离子掺入 Ti-13Nb-13Zr 合金的阳极氧化涂层中。
Mater Sci Eng C Mater Biol Appl. 2019 Nov;104:109957. doi: 10.1016/j.msec.2019.109957. Epub 2019 Jul 16.
7
Bioactive Coatings Formed on Titanium by Plasma Electrolytic Oxidation: Composition and Properties.通过等离子体电解氧化在钛表面形成的生物活性涂层:组成与性能
Materials (Basel). 2020 Sep 16;13(18):4121. doi: 10.3390/ma13184121.
8
Synthesis of bioactive glass-based coating by plasma electrolytic oxidation: Untangling a new deposition pathway toward titanium implant surfaces.通过等离子体电解氧化合成生物活性玻璃基涂层:探索钛植入物表面的新沉积途径。
J Colloid Interface Sci. 2020 Nov 1;579:680-698. doi: 10.1016/j.jcis.2020.06.102. Epub 2020 Jun 29.
9
Surface characterisation of Ti-15Mo alloy modified by a PEO process in various suspensions.在各种悬浮液中通过微弧氧化工艺改性的Ti-15Mo合金的表面表征。
Mater Sci Eng C Mater Biol Appl. 2014 Jun 1;39:259-72. doi: 10.1016/j.msec.2014.03.008. Epub 2014 Mar 12.
10
UV-photofunctionalization of a biomimetic coating for dental implants application.用于牙种植体应用的仿生涂层的 UV 光功能化。
Mater Sci Eng C Mater Biol Appl. 2020 May;110:110657. doi: 10.1016/j.msec.2020.110657. Epub 2020 Jan 25.

引用本文的文献

1
Impact of Sandblasting and Plasma Electrolytic Oxidation on Surface Quality of Dental Implants.喷砂和等离子体电解氧化对牙种植体表面质量的影响
Sovrem Tekhnologii Med. 2023;15(6):40-46. doi: 10.17691/stm2023.15.6.05. Epub 2023 Dec 27.
2
Modeling of Biological Activity of PEO-Coated Titanium Implants with Conjugates of Cyclic RGD Peptide with Amino Acid Bisphosphonates.聚环氧乙烷涂层钛植入物与环状RGD肽和氨基酸双膦酸盐共轭物的生物活性建模
Materials (Basel). 2022 Nov 16;15(22):8120. doi: 10.3390/ma15228120.
3
Hydroxyapatite Coating on Ti-6Al-7Nb Alloy by Plasma Electrolytic Oxidation in Salt-Based Electrolyte.

本文引用的文献

1
Influence of Process Parameters on the Tribological Behavior of PEO Coatings on CP-Titanium 4+ Alloys for Biomedical Applications.工艺参数对用于生物医学应用的CP-钛4+合金上PEO涂层摩擦学行为的影响。
Materials (Basel). 2021 Sep 17;14(18):5364. doi: 10.3390/ma14185364.
2
On the permittivity of titanium dioxide.论二氧化钛的介电常数。
Sci Rep. 2021 Jun 14;11(1):12443. doi: 10.1038/s41598-021-92021-5.
3
Surface engineering of biomaterials in orthopedic and dental implants: Strategies to improve osteointegration, bacteriostatic and bactericidal activities.
基于盐基电解液的等离子体电解氧化法在Ti-6Al-7Nb合金上制备羟基磷灰石涂层
Materials (Basel). 2022 Oct 21;15(20):7374. doi: 10.3390/ma15207374.
骨科和牙科植入物中生物材料的表面工程:提高骨整合、抑菌和杀菌活性的策略。
Biotechnol J. 2021 Jul;16(7):e2000116. doi: 10.1002/biot.202000116. Epub 2021 Apr 17.
4
Microstructural and Corrosion Properties of Hydroxyapatite Containing PEO Coating Produced on AZ31 Mg Alloy.AZ31镁合金上制备的含羟基磷灰石的微弧氧化涂层的微观结构与腐蚀性能
Materials (Basel). 2021 Mar 21;14(6):1531. doi: 10.3390/ma14061531.
5
Bioactive Coatings Formed on Titanium by Plasma Electrolytic Oxidation: Composition and Properties.通过等离子体电解氧化在钛表面形成的生物活性涂层:组成与性能
Materials (Basel). 2020 Sep 16;13(18):4121. doi: 10.3390/ma13184121.
6
Biocompatible Organic Coatings Based on Bisphosphonic Acid RGD-Derivatives for PEO-Modified Titanium Implants.基于双膦酸 RGD 衍生物的生物相容有机涂层用于 PEO 修饰的钛植入物。
Molecules. 2020 Jan 6;25(1):229. doi: 10.3390/molecules25010229.
7
Bioactive multi-elemental PEO-coatings on titanium for dental implant applications.用于牙科植入物应用的钛的生物活性多元素 PEO 涂层。
Mater Sci Eng C Mater Biol Appl. 2019 Apr;97:738-752. doi: 10.1016/j.msec.2018.12.097. Epub 2018 Dec 28.
8
A critical review of multifunctional titanium surfaces: New frontiers for improving osseointegration and host response, avoiding bacteria contamination.多功能钛表面的评论性综述:改善骨整合和宿主反应、避免细菌污染的新前沿
Acta Biomater. 2018 Oct 1;79:1-22. doi: 10.1016/j.actbio.2018.08.013. Epub 2018 Aug 17.
9
Modification of titanium alloys surface properties by plasma electrolytic oxidation (PEO) and influence on biological response.通过等离子电解氧化(PEO)对钛合金表面性能进行改性及其对生物响应的影响。
J Mater Sci Mater Med. 2017 Sep 27;28(11):169. doi: 10.1007/s10856-017-5972-x.
10
Bioinspired surface functionalization of metallic biomaterials.仿生表面功能化的金属生物材料。
J Mech Behav Biomed Mater. 2018 Jan;77:90-105. doi: 10.1016/j.jmbbm.2017.08.035. Epub 2017 Sep 1.