Suppr超能文献

特列夫茨余链演算

Trefftz co-chain calculus.

作者信息

Casati Daniele, Codecasa Lorenzo, Hiptmair Ralf, Moro Federico

机构信息

Seminar for Applied Mathematics, ETH Zurich, Zurich, Switzerland.

Dipartimento di Elettronica, Informazione e Bioingegneria, Politecnico di Milano, Milan, Italy.

出版信息

Z Angew Math Phys. 2022;73(1):43. doi: 10.1007/s00033-021-01671-y. Epub 2022 Jan 25.

Abstract

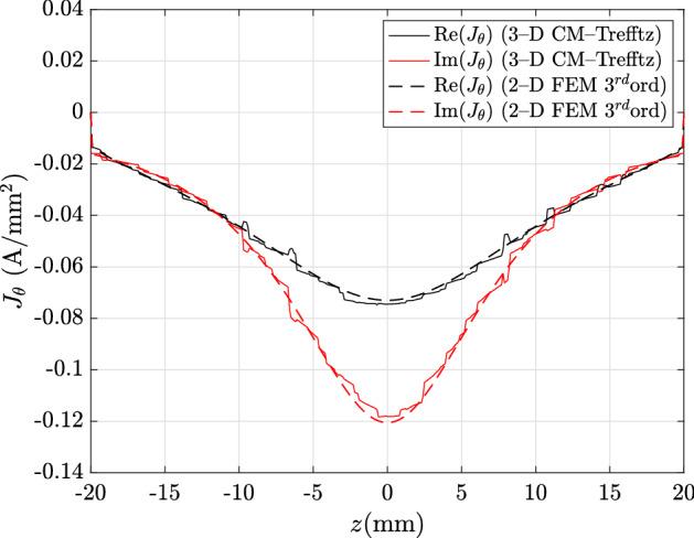
We are concerned with a special class of discretizations of general linear transmission problems stated in the calculus of differential forms and posed on . In the spirit of domain decomposition, we partition , a bounded Lipschitz polyhedron, , and unbounded. In , we employ a mesh-based discrete co-chain model for differential forms, which includes schemes like finite element exterior calculus and discrete exterior calculus. In , we rely on a meshless Trefftz-Galerkin approach, i.e., we use special solutions of the homogeneous PDE as trial and test functions. Our key contribution is a unified way to couple the different discretizations across . Based on the theory of discrete Hodge operators, we derive the resulting linear system of equations. As a concrete application, we discuss an eddy-current problem in frequency domain, for which we also give numerical results.

摘要

我们关注的是一类特殊的离散化问题,这些问题是关于在微分形式演算中表述且定义在 上的一般线性传输问题。按照区域分解的思路,我们将 (一个有界的利普希茨多面体)划分为 和 ,其中 是无界的。在 中,我们针对微分形式采用基于网格的离散上链模型,这包括诸如有限元外微积分和离散外微积分等格式。在 中,我们依靠无网格的特雷夫茨 - 伽辽金方法,即我们使用齐次偏微分方程的特殊解作为试验函数和检验函数。我们的关键贡献是一种统一的方法,用于在 上耦合不同的离散化。基于离散霍奇算子理论,我们推导出所得的线性方程组。作为一个具体应用,我们讨论频域中的一个涡流问题,并给出相应的数值结果。

https://cdn.ncbi.nlm.nih.gov/pmc/blobs/94c6/8789644/2512b6ef64d6/33_2021_1671_Fig1_HTML.jpg

文献AI研究员

20分钟写一篇综述,助力文献阅读效率提升50倍。

立即体验

用中文搜PubMed

大模型驱动的PubMed中文搜索引擎

马上搜索

文档翻译

学术文献翻译模型,支持多种主流文档格式。

立即体验