• 文献检索
  • 文档翻译
  • 深度研究
  • 学术资讯
  • Suppr Zotero 插件Zotero 插件
  • 邀请有礼
  • 套餐&价格
  • 历史记录
应用&插件
Suppr Zotero 插件Zotero 插件浏览器插件Mac 客户端Windows 客户端微信小程序
定价
高级版会员购买积分包购买API积分包
服务
文献检索文档翻译深度研究API 文档MCP 服务
关于我们
关于 Suppr公司介绍联系我们用户协议隐私条款
关注我们

Suppr 超能文献

核心技术专利:CN118964589B侵权必究
粤ICP备2023148730 号-1Suppr @ 2026

文献检索

告别复杂PubMed语法,用中文像聊天一样搜索,搜遍4000万医学文献。AI智能推荐,让科研检索更轻松。

立即免费搜索

文件翻译

保留排版,准确专业,支持PDF/Word/PPT等文件格式,支持 12+语言互译。

免费翻译文档

深度研究

AI帮你快速写综述,25分钟生成高质量综述,智能提取关键信息,辅助科研写作。

立即免费体验

马铃薯原生质体高效基因编辑策略主题:利用原生质体确定gRNA效率设计(研究)

Strategies for Efficient Gene Editing in Protoplasts of Solanum tuberosum Theme: Determining gRNA Efficiency Design by Utilizing Protoplast (Research).

作者信息

Carlsen Frida Meijer, Johansen Ida Elisabeth, Yang Zhang, Liu Ying, Westberg Ida Nøhr, Kieu Nam Phuong, Jørgensen Bodil, Lenman Marit, Andreasson Erik, Nielsen Kåre Lehmann, Blennow Andreas, Petersen Bent Larsen

机构信息

Department of Plant and Environmental Sciences, Faculty of Science, The University of Copenhagen, Copenhagen, Denmark.

Kartoffel Mel Centralen Amba, Brande, Denmark.

出版信息

Front Genome Ed. 2022 Jan 20;3:795644. doi: 10.3389/fgeed.2021.795644. eCollection 2021.

DOI:10.3389/fgeed.2021.795644
PMID:35128523
原文链接:https://pmc.ncbi.nlm.nih.gov/articles/PMC8811252/
Abstract

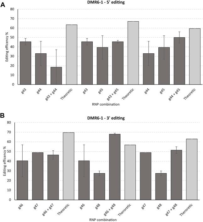
Potato, is a highly diverse tetraploid crop. Elite cultivars are extremely heterozygous with a high prevalence of small length polymorphisms (indels) and single nucleotide polymorphisms (SNPs) within and between cultivars, which must be considered in CRISPR/Cas gene editing strategies and designs to obtain successful gene editing. In the present study, in-depth sequencing of the gene encoding glucan water dikinase (GWD) 1 and the downy mildew resistant 6 (DMR6-1) genes in the potato cultivars Saturna and Wotan, respectively, revealed both indels and a 1.3-2.8 higher SNP prevalence when compared to the heterozygous diploid RH genome sequence as expected for a tetraploid compared to a diploid. This complicates guide RNA (gRNA) and diagnostic PCR designs. At the same time, high editing efficiencies at the cell pool (protoplast) level are pivotal for achieving full allelic knock-out in tetraploids. Furthermore, high editing efficiencies reduce the downstream cumbersome and delicate ex-plant regeneration. Here, CRISPR/Cas ribonucleoprotein particles (RNPs) were delivered transiently to protoplasts by polyethylene glycol (PEG) mediated transformation. For each of GWD1 and the DMR6-1, 6-10 gRNAs were designed to target regions comprising the 5' and the 3' end of the two genes. Similar to other studies including several organisms, editing efficiency of the individual RNPs varied significantly, and some generated specific indel patterns. RNP's targeting the 5' end of GWD1 yielded significantly higher editing efficiency as compared to targeting the 3' end. For DMR6-1, such an effect was not seen. Simultaneously targeting each of the two target regions with two RNPs (multiplexing) yielded a clear positive synergistic effect on the total editing when targeting the 3' end of the GWD1 gene only. Multiplexing of the two genes, residing on different chromosomes, yielded no or a slightly negative effect on editing from the single or combined gRNA/RNPs. These initial findings may instigate much larger studies needed for facilitating and optimizing precision breeding in plants.

摘要

马铃薯是一种高度多样化的四倍体作物。优良品种具有极高的杂合性,品种内和品种间存在大量短长度多态性(插入缺失)和单核苷酸多态性(SNP),在CRISPR/Cas基因编辑策略和设计中必须考虑这些因素,以实现成功的基因编辑。在本研究中,分别对马铃薯品种Saturna和Wotan中编码葡聚糖水二激酶(GWD)1和抗霜霉病6(DMR6-1)基因进行深度测序,结果显示,与杂合二倍体RH基因组序列相比,两者均存在插入缺失,且SNP发生率高出1.3至2.8倍,正如四倍体与二倍体相比所预期的那样。这使得向导RNA(gRNA)和诊断性PCR设计变得复杂。同时,细胞池(原生质体)水平的高编辑效率对于在四倍体中实现全等位基因敲除至关重要。此外,高编辑效率可减少下游繁琐且精细的外植体再生过程。在此,通过聚乙二醇(PEG)介导的转化将CRISPR/Cas核糖核蛋白颗粒(RNP)瞬时递送至原生质体。针对GWD1和DMR6-1中的每一个,设计了6至10个gRNA,靶向包含这两个基因5'端和3'端的区域。与包括多种生物的其他研究类似,单个RNP的编辑效率差异显著,有些产生了特定的插入缺失模式。靶向GWD1 5'端的RNP与靶向3'端相比,编辑效率显著更高。对于DMR6-1,未观察到这种效应。仅在靶向GWD1基因3'端时,用两个RNP同时靶向两个目标区域(多重编辑)对总编辑产生了明显的正向协同效应。位于不同染色体上的两个基因进行多重编辑,对单个或组合gRNA/RNP的编辑没有影响或产生轻微的负面影响。这些初步发现可能促使开展规模更大的研究,以促进和优化植物的精准育种。

https://cdn.ncbi.nlm.nih.gov/pmc/blobs/b64b/8811252/efe251aedda3/fgeed-03-795644-g007.jpg
https://cdn.ncbi.nlm.nih.gov/pmc/blobs/b64b/8811252/fda964d45060/fgeed-03-795644-g001.jpg
https://cdn.ncbi.nlm.nih.gov/pmc/blobs/b64b/8811252/cb21882f1e75/fgeed-03-795644-g002.jpg
https://cdn.ncbi.nlm.nih.gov/pmc/blobs/b64b/8811252/b49a1d418d45/fgeed-03-795644-g003.jpg
https://cdn.ncbi.nlm.nih.gov/pmc/blobs/b64b/8811252/c19d7deeb31a/fgeed-03-795644-g004.jpg
https://cdn.ncbi.nlm.nih.gov/pmc/blobs/b64b/8811252/bbbdc561e275/fgeed-03-795644-g005.jpg
https://cdn.ncbi.nlm.nih.gov/pmc/blobs/b64b/8811252/4e8109c4f75f/fgeed-03-795644-g006.jpg
https://cdn.ncbi.nlm.nih.gov/pmc/blobs/b64b/8811252/efe251aedda3/fgeed-03-795644-g007.jpg
https://cdn.ncbi.nlm.nih.gov/pmc/blobs/b64b/8811252/fda964d45060/fgeed-03-795644-g001.jpg
https://cdn.ncbi.nlm.nih.gov/pmc/blobs/b64b/8811252/cb21882f1e75/fgeed-03-795644-g002.jpg
https://cdn.ncbi.nlm.nih.gov/pmc/blobs/b64b/8811252/b49a1d418d45/fgeed-03-795644-g003.jpg
https://cdn.ncbi.nlm.nih.gov/pmc/blobs/b64b/8811252/c19d7deeb31a/fgeed-03-795644-g004.jpg
https://cdn.ncbi.nlm.nih.gov/pmc/blobs/b64b/8811252/bbbdc561e275/fgeed-03-795644-g005.jpg
https://cdn.ncbi.nlm.nih.gov/pmc/blobs/b64b/8811252/4e8109c4f75f/fgeed-03-795644-g006.jpg
https://cdn.ncbi.nlm.nih.gov/pmc/blobs/b64b/8811252/efe251aedda3/fgeed-03-795644-g007.jpg

相似文献

1
Strategies for Efficient Gene Editing in Protoplasts of Solanum tuberosum Theme: Determining gRNA Efficiency Design by Utilizing Protoplast (Research).马铃薯原生质体高效基因编辑策略主题:利用原生质体确定gRNA效率设计(研究)
Front Genome Ed. 2022 Jan 20;3:795644. doi: 10.3389/fgeed.2021.795644. eCollection 2021.
2
Corrigendum: Strategies for Efficient Gene Editing in Protoplasts of Theme: Determining gRNA Efficiency Design by Utilizing Protoplast (Research).勘误:主题为“利用原生质体确定gRNA效率设计”的原生质体高效基因编辑策略(研究)。
Front Genome Ed. 2022 Aug 4;4:914100. doi: 10.3389/fgeed.2022.914100. eCollection 2022.
3
Multiplex Site-Directed Gene Editing Using Polyethylene Glycol-Mediated Delivery of CRISPR gRNA:Cas9 Ribonucleoprotein (RNP) Complexes to Carrot Protoplasts.聚乙二醇介导的 CRISPR gRNA:Cas9 核糖核蛋白 (RNP) 复合物转导至胡萝卜原生质体的多重定点基因编辑。
Int J Mol Sci. 2021 Oct 4;22(19):10740. doi: 10.3390/ijms221910740.
4
DNA-free CRISPR-Cas9 gene editing of wild tetraploid tomato Solanum peruvianum using protoplast regeneration.利用原生质体再生进行无 DNA 的 CRISPR-Cas9 基因编辑野生四倍体番茄 Solanum peruvianum。
Plant Physiol. 2022 Mar 28;188(4):1917-1930. doi: 10.1093/plphys/kiac022.
5
The Solanum tuberosum GBSSI gene: a target for assessing gene and base editing in tetraploid potato.马铃薯四倍体 GBSSI 基因:评估基因和碱基编辑的靶标。
Plant Cell Rep. 2019 Sep;38(9):1065-1080. doi: 10.1007/s00299-019-02426-w. Epub 2019 May 17.
6
A stable DNA-free screening system for CRISPR/RNPs-mediated gene editing in hot and sweet cultivars of Capsicum annuum.一个稳定的无 DNA 筛选系统,用于辣椒热甜品种中 CRISPR/RNPs 介导的基因编辑。
BMC Plant Biol. 2020 Oct 1;20(1):449. doi: 10.1186/s12870-020-02665-0.
7
High efficacy full allelic CRISPR/Cas9 gene editing in tetraploid potato.四倍体马铃薯中高效全等位基因 CRISPR/Cas9 基因编辑。
Sci Rep. 2019 Nov 27;9(1):17715. doi: 10.1038/s41598-019-54126-w.
8
Advances in protoplast transfection promote efficient CRISPR/Cas9-mediated genome editing in tetraploid potato.原生质体转染技术的进步促进了四倍体马铃薯中 CRISPR/Cas9 介导的基因组编辑的高效性。
Planta. 2022 Jun 17;256(1):14. doi: 10.1007/s00425-022-03933-z.
9
Simultaneous editing of two genes in grapevine results in reduced susceptibility to downy mildew.对葡萄中的两个基因进行同时编辑可降低对霜霉病的易感性。
Front Plant Sci. 2023 Aug 21;14:1242240. doi: 10.3389/fpls.2023.1242240. eCollection 2023.
10
Optimized protoplast isolation and transfection with a breakpoint: accelerating Cas9/sgRNA cleavage efficiency validation in monocot and dicot.具有断点的优化原生质体分离和转染:加速单子叶植物和双子叶植物中Cas9/sgRNA切割效率验证
aBIOTECH. 2024 Apr 15;5(2):151-168. doi: 10.1007/s42994-024-00139-7. eCollection 2024 Jun.

引用本文的文献

1
Molecular Mechanisms Underlying Defense Responses of Potato ( L.) to Environmental Stress and CRISPR/Cas-Mediated Engineering of Stress Tolerance.马铃薯(L.)对环境胁迫的防御反应及CRISPR/Cas介导的胁迫耐受性工程的分子机制
Plants (Basel). 2025 Jun 28;14(13):1983. doi: 10.3390/plants14131983.
2
A Protoplast System for CRISPR-Cas Ribonucleoprotein Delivery in and .一种用于在[具体生物或细胞类型1]和[具体生物或细胞类型2]中递送CRISPR-Cas核糖核蛋白的原生质体系统。
Plants (Basel). 2025 Mar 22;14(7):996. doi: 10.3390/plants14070996.
3
Potato: from functional genomics to genetic improvement.

本文引用的文献

1
Glucan, Water-Dikinase 1 (GWD1), an ideal biotechnological target for potential improving yield and quality in rice.葡聚糖,水激酸激酶 1(GWD1),是一个在水稻中提高产量和品质的潜在理想生物技术靶标。
Plant Biotechnol J. 2021 Dec;19(12):2606-2618. doi: 10.1111/pbi.13686. Epub 2021 Sep 3.
2
Loss of function of a DMR6 ortholog in tomato confers broad-spectrum disease resistance.番茄中一个 DMR6 同源物的功能丧失赋予广谱抗病性。
Proc Natl Acad Sci U S A. 2021 Jul 6;118(27). doi: 10.1073/pnas.2026152118.
3
Heterosis and Hybrid Crop Breeding: A Multidisciplinary Review.
马铃薯:从功能基因组学到遗传改良
Mol Hortic. 2024 Aug 19;4(1):34. doi: 10.1186/s43897-024-00105-3.
4
A Walk on the Wild Side: Genome Editing of Tuber-Bearing .《狂野边缘漫步:块茎类植物的基因组编辑》
Plants (Basel). 2024 Apr 8;13(7):1044. doi: 10.3390/plants13071044.
5
Evaluate the guide RNA effectiveness -mediated transient assays in .评估在……中由向导RNA有效性介导的瞬时分析
Front Plant Sci. 2023 Feb 20;14:1111683. doi: 10.3389/fpls.2023.1111683. eCollection 2023.
6
Recent advances and challenges in potato improvement using CRISPR/Cas genome editing.利用 CRISPR/Cas 基因组编辑技术改良马铃薯的最新进展和挑战。
Planta. 2022 Dec 23;257(1):25. doi: 10.1007/s00425-022-04054-3.
7
Invited Mini-Review Research Topic: Utilization of Protoplasts to Facilitate Gene Editing in Plants: Schemes for Shoot Regeneration From Tissues and Protoplasts of Potato and Rapeseed: Implications of Bioengineering Such as Gene Editing of Broad-Leaved Plants.特邀小型综述研究主题:利用原生质体促进植物基因编辑:马铃薯和油菜组织及原生质体再生芽的方案:阔叶植物基因编辑等生物工程的意义。
Front Genome Ed. 2022 Jun 29;4:780004. doi: 10.3389/fgeed.2022.780004. eCollection 2022.
杂种优势与杂交作物育种:多学科综述
Front Genet. 2021 Feb 24;12:643761. doi: 10.3389/fgene.2021.643761. eCollection 2021.
4
Mutations introduced in susceptibility genes through CRISPR/Cas9 genome editing confer increased late blight resistance in potatoes.通过 CRISPR/Cas9 基因组编辑在易感性基因中引入的突变赋予马铃薯对晚疫病更高的抗性。
Sci Rep. 2021 Feb 24;11(1):4487. doi: 10.1038/s41598-021-83972-w.
5
INDEL detection, the 'Achilles heel' of precise genome editing: a survey of methods for accurate profiling of gene editing induced indels.INDEL 检测是精确基因组编辑的“阿喀琉斯之踵”:基因编辑诱导 INDEL 精确分析方法综述。
Nucleic Acids Res. 2020 Dec 2;48(21):11958-11981. doi: 10.1093/nar/gkaa975.
6
Construction of a chromosome-scale long-read reference genome assembly for potato.为马铃薯构建染色体级别的长读长参考基因组组装。
Gigascience. 2020 Sep 23;9(9). doi: 10.1093/gigascience/giaa100.
7
Differential Evolution of α-Glucan Water Dikinase (GWD) in Plants.植物中α-葡聚糖水二激酶(GWD)的差异进化
Plants (Basel). 2020 Aug 27;9(9):1101. doi: 10.3390/plants9091101.
8
Genome Editing Fidelity in the Context of DNA Sequence and Chromatin Structure.DNA序列与染色质结构背景下的基因组编辑保真度
Front Cell Dev Biol. 2020 May 8;8:319. doi: 10.3389/fcell.2020.00319. eCollection 2020.
9
Reduced Enzymatic Browning in Potato Tubers by Specific Editing of a Polyphenol Oxidase Gene Ribonucleoprotein Complexes Delivery of the CRISPR/Cas9 System.通过对多酚氧化酶基因核糖核蛋白复合体进行特定编辑来减少马铃薯块茎中的酶促褐变:CRISPR/Cas9系统的递送
Front Plant Sci. 2020 Jan 9;10:1649. doi: 10.3389/fpls.2019.01649. eCollection 2019.
10
Computational approaches for effective CRISPR guide RNA design and evaluation.用于有效CRISPR引导RNA设计与评估的计算方法。
Comput Struct Biotechnol J. 2019 Nov 29;18:35-44. doi: 10.1016/j.csbj.2019.11.006. eCollection 2020.