Institute of Neuroscience and Physiology, Department of Psychiatry and Neurochemistry, The Sahlgrenska Academy at the University of Gothenburg, Mölndal, Sweden.
Department of Neuropsychiatric epidemiology, Institute of Neuroscience and Physiology, Sahlgrenska Academy, Centre for Ageing and Health (AgeCap) at the University of Gothenburg, Gothenburg, Sweden.
Alzheimers Dement. 2022 Sep;18(9):1667-1676. doi: 10.1002/alz.12537. Epub 2022 Feb 9.
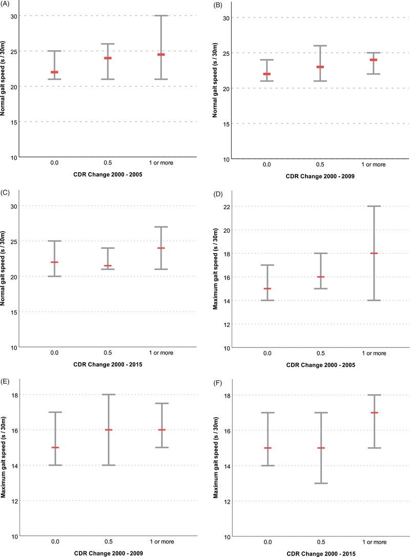
In this longitudinal study, we aimed to examine if slowing gait speed preceded cognitive decline and correlated with brain amyloidosis.
The sample (n = 287) was derived from the Gothenburg H70 Birth Cohort Studies, with follow-ups between 2000 and 2015. Gait speed was measured by indoor walk, and cognition using the Clinical Dementia Rating (CDR) score. All participants had CDR = 0 at baseline. Some participants had data on cerebrospinal fluid (CSF) amyloid beta (Aβ) concentrations at the 2009 examination.
Gait speed for participants who worsened in CDR score during follow-up was slower at most examinations. Baseline gait speed could significantly predict CDR change from baseline to follow-up. Subjects with pathological CSF Aβ concentrations at the 2009 visit had lost more gait speed compared to previous examinations.
Our results indicate that gait speed decline precedes cognitive decline, is linked to Alzheimer's pathology, and might be used for early detection of increased risk for dementia development.
在这项纵向研究中,我们旨在研究步态速度的减慢是否先于认知能力下降,并与脑淀粉样蛋白沉积相关。
该样本(n = 287)来自哥德堡 H70 出生队列研究,随访时间为 2000 年至 2015 年。通过室内行走测量步态速度,使用临床痴呆评定量表(CDR)评分评估认知能力。所有参与者在基线时的 CDR 均为 0。部分参与者在 2009 年检查时具有脑脊液(CSF)淀粉样蛋白β(Aβ)浓度的数据。
在随访期间 CDR 评分恶化的参与者的步态速度在大多数检查中较慢。基线步态速度可以显著预测从基线到随访的 CDR 变化。在 2009 年就诊时具有病理性 CSF Aβ 浓度的受试者与之前的检查相比,步态速度下降更多。
我们的研究结果表明,步态速度的下降先于认知能力的下降,与阿尔茨海默病的病理有关,可能用于早期检测痴呆发展风险的增加。