Social, Genetic and Developmental Psychiatry Centre, Institute of Psychiatry, Psychology and Neuroscience, King's College London, London SE5 8AF, UK.
National and Specialist CAMHS Trauma and Anxiety Clinic, South London and Maudsley NHS Foundation Trust, London SE5 8AZ, UK.
Int J Environ Res Public Health. 2022 Jan 31;19(3):1641. doi: 10.3390/ijerph19031641.
Loneliness co-occurs alongside many mental health problems and is associated with poorer treatment outcomes. It could therefore be a phenomenon of interest to clinicians as an indicator of generalised risk for psychopathology. The present study tested whether a short measure of loneliness can accurately classify individuals who are at increased risk of common mental health problems.
Data were drawn from two nationally representative cohorts: the age-18 wave of the UK-based Environmental Risk (E-Risk) Longitudinal Twin Study and the age-38 wave of the New Zealand-based Dunedin Multidisciplinary Health and Development Study. In both cohorts, loneliness was assessed using the three-item UCLA Loneliness Scale, plus two stand-alone items about feeling alone and feeling lonely. Outcome measures consisted of diagnoses of depression and anxiety and self-reports of self-harm/suicide attempts, assessed via a structured interview.
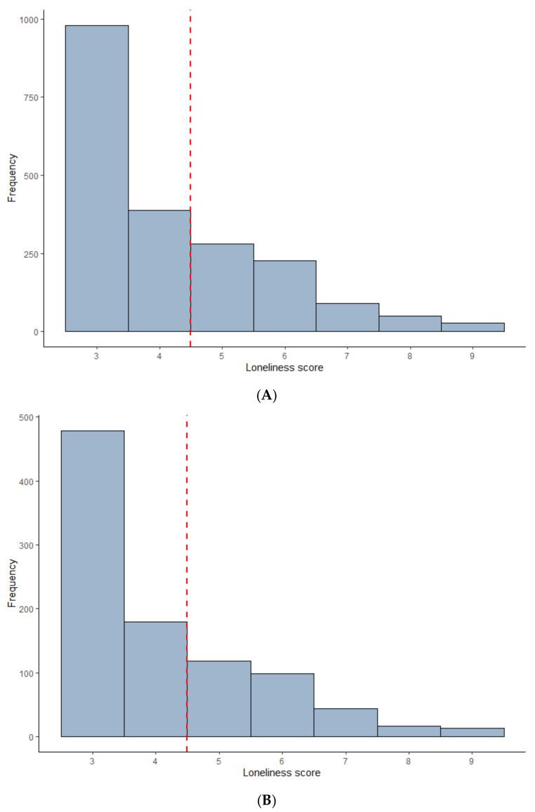
ROC curve analysis showed that the Loneliness Scale had fair accuracy in classifying individuals meeting criteria for all three outcomes, with a cut-off score of 5 (on a scale from 3 to 9) having the strongest empirical support. Both of the stand-alone items showed modest sensitivity and specificity but were more limited in their flexibility. The findings were replicated across the two cohorts, indicating that they are applicable both to younger and older adults. In addition, the accuracy of the loneliness scale in detecting mental health problems was comparable to a measure of poor sleep quality, a phenomenon which is often included in screening tools for depression and anxiety.
These findings indicate that a loneliness measure could have utility in mental health screening contexts, as well as in research.
孤独与许多心理健康问题同时发生,并与较差的治疗效果相关。因此,它可能是临床医生感兴趣的一个现象,作为一般心理病理学风险的指标。本研究测试了一种简短的孤独测量方法是否可以准确地对那些患有常见心理健康问题风险较高的个体进行分类。
数据来自两个具有全国代表性的队列:英国环境风险(E-Risk)纵向双胞胎研究的 18 岁年龄组和新西兰达尼丁多学科健康和发展研究的 38 岁年龄组。在这两个队列中,孤独感使用三项目 UCLA 孤独量表以及关于感到孤独和孤独的两个独立项目进行评估。结局测量包括通过结构化访谈评估的抑郁和焦虑诊断以及自我报告的自残/自杀企图。
ROC 曲线分析表明,孤独量表在分类符合所有三种结局标准的个体方面具有良好的准确性,5 分(3 至 9 分)的截断分数具有最强的经验支持。两个独立项目都显示出适度的敏感性和特异性,但灵活性有限。这些发现在两个队列中得到了复制,表明它们适用于年轻和老年成年人。此外,孤独量表在检测心理健康问题方面的准确性与睡眠质量差的衡量标准相当,这种现象通常包含在抑郁和焦虑的筛查工具中。
这些发现表明,孤独测量方法在心理健康筛查方面以及在研究中可能具有实用性。