Key Laboratory of Urban Stormwater System and Water Environment, Ministry of Education, Beijing University of Civil Engineering and Architecture, Beijing 100044, China.
Innovation Academy for Green Manufacture, CAS Key Laboratory of Green Process and Engineering, Beijing Engineering Research Centre of Process Pollution Control, Institute of Process Engineering, Chinese Academy of Sciences, Beijing 100190, China.
Int J Environ Res Public Health. 2022 Feb 1;19(3):1700. doi: 10.3390/ijerph19031700.
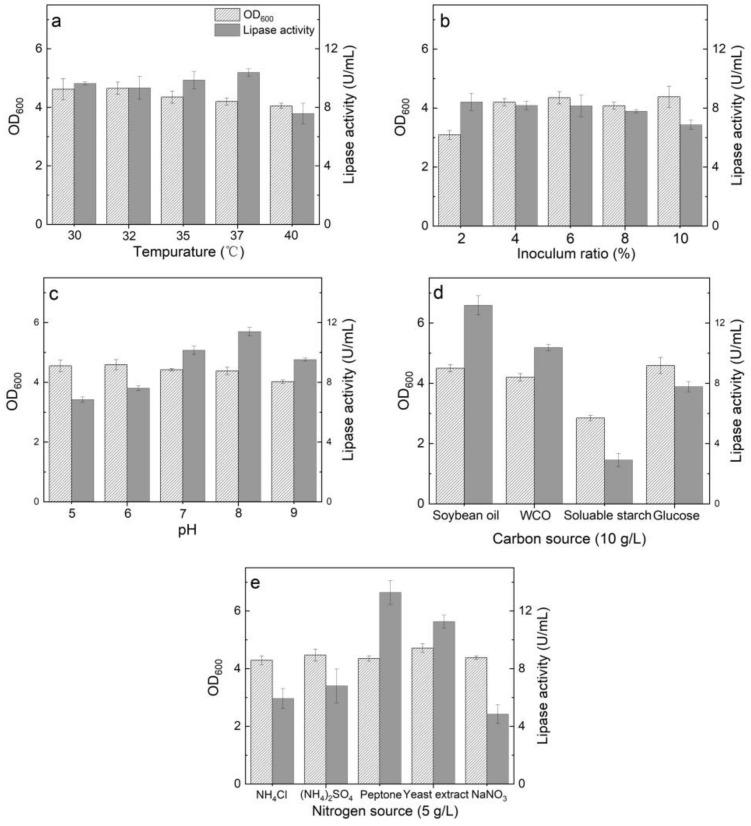
The components of waste cooking oil (WCO) are complex and contain toxic substances, which are difficult to treat biologically. WO2 was isolated from oily sludge by an anaerobic enrichment-aerobic screening method, which could efficiently utilize WCO and produce rhamnolipid. The effects of nutrients and culture conditions on bacterial growth and lipase activity were investigated to optimize the fermentation of WCO. The results showed that strain WO2 utilized 92.25% of WCO and produced 3.03 g/L of rhamnolipid at 120 h. Compared with inorganic sources, the organic nitrogen source stabilized the pH of fermentation medium, improved lipase activity (up to 19.98 U/mL), and promoted the utilization of WCO. Furthermore, the WO2 strain exhibited inferior utilization ability of the soluble starch contained in food waste, but superior salt stress up to 60 g/L. These unique characteristics demonstrate the potential of WO2 for the utilization of high-salinity oily organic waste or wastewater.
废烹饪油(WCO)的成分复杂,含有有毒物质,难以进行生物处理。WO2 是通过厌氧富集-好氧筛选法从含油污泥中分离出来的,能够有效地利用 WCO 并产生鼠李糖脂。考察了营养物质和培养条件对细菌生长和脂肪酶活性的影响,以优化 WCO 的发酵。结果表明,菌株 WO2 在 120 h 内利用了 92.25%的 WCO,并产生了 3.03 g/L 的鼠李糖脂。与无机源相比,有机氮源稳定了发酵培养基的 pH 值,提高了脂肪酶活性(高达 19.98 U/mL),并促进了 WCO 的利用。此外,WO2 菌株对食物废水中所含的可溶性淀粉的利用能力较差,但盐度胁迫高达 60 g/L 时的表现较好。这些独特的特性表明,WO2 菌株具有利用高盐度含油有机废物或废水的潜力。