• 文献检索
  • 文档翻译
  • 深度研究
  • 学术资讯
  • Suppr Zotero 插件Zotero 插件
  • 邀请有礼
  • 套餐&价格
  • 历史记录
应用&插件
Suppr Zotero 插件Zotero 插件浏览器插件Mac 客户端Windows 客户端微信小程序
定价
高级版会员购买积分包购买API积分包
服务
文献检索文档翻译深度研究API 文档MCP 服务
关于我们
关于 Suppr公司介绍联系我们用户协议隐私条款
关注我们

Suppr 超能文献

核心技术专利:CN118964589B侵权必究
粤ICP备2023148730 号-1Suppr @ 2026

文献检索

告别复杂PubMed语法,用中文像聊天一样搜索,搜遍4000万医学文献。AI智能推荐,让科研检索更轻松。

立即免费搜索

文件翻译

保留排版,准确专业,支持PDF/Word/PPT等文件格式,支持 12+语言互译。

免费翻译文档

深度研究

AI帮你快速写综述,25分钟生成高质量综述,智能提取关键信息,辅助科研写作。

立即免费体验

IspH 催化的还原脱羟作用:开发新型抗感染药物的灵感来源

The Reductive Dehydroxylation Catalyzed by IspH, a Source of Inspiration for the Development of Novel Anti-Infectives.

机构信息

Equipe Chimie Biologique et Applications Thérapeutiques, Institut de Chimie de Strasbourg UMR 7177, Université de Strasbourg/CNRS, 4, rue Blaise Pascal, 67070 Strasbourg, France.

Institut de Biologie Structurale, Université Grenoble Alpes/CEA/CNRS, 38000 Grenoble, France.

出版信息

Molecules. 2022 Jan 21;27(3):708. doi: 10.3390/molecules27030708.

DOI:10.3390/molecules27030708
PMID:35163971
原文链接:https://pmc.ncbi.nlm.nih.gov/articles/PMC8837944/
Abstract

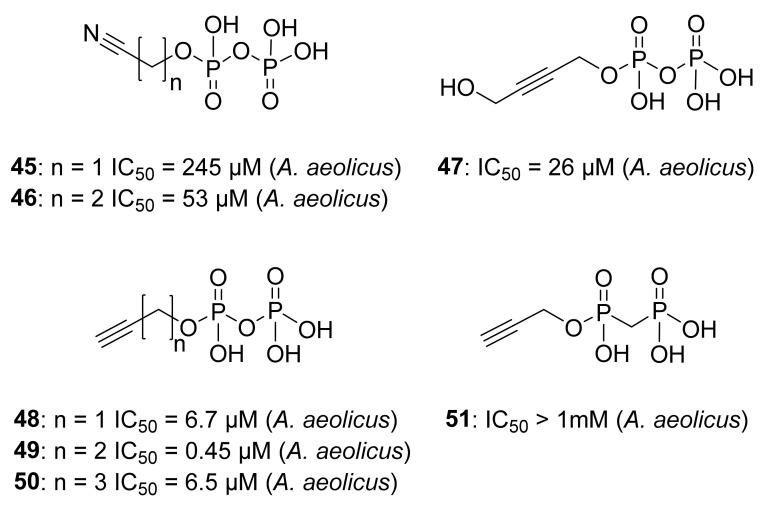
The non-mevalonate or also called MEP pathway is an essential route for the biosynthesis of isoprenoid precursors in most bacteria and in microorganisms belonging to the Apicomplexa phylum, such as the parasite responsible for malaria. The absence of this pathway in mammalians makes it an interesting target for the discovery of novel anti-infectives. As last enzyme of this pathway, IspH is an oxygen sensitive [4Fe-4S] metalloenzyme that catalyzes 2H/2e reductions and a water elimination by involving non-conventional bioinorganic and bioorganometallic intermediates. After a detailed description of the discovery of the [4Fe-4S] cluster of IspH, this review focuses on the IspH mechanism discussing the results that have been obtained in the last decades using an approach combining chemistry, enzymology, crystallography, spectroscopies, and docking calculations. Considering the interesting druggability of this enzyme, a section about the inhibitors of IspH discovered up to now is reported as well. The presented results constitute a useful and rational help to inaugurate the design and development of new potential chemotherapeutics against pathogenic organisms.

摘要

非甲羟戊酸途径或称为 MEP 途径,是大多数细菌和顶复门微生物(如引起疟疾的寄生虫)中异戊烯前体生物合成的必要途径。由于哺乳动物中不存在该途径,因此它成为发现新型抗感染药物的有趣靶点。作为该途径的最后一种酶,IspH 是一种对氧气敏感的 [4Fe-4S] 金属酶,通过涉及非传统的生物无机和生物有机金属中间体,催化 2H/2e 还原和水消除。在详细描述了 IspH 的 [4Fe-4S] 簇的发现之后,本综述重点讨论了 IspH 的机制,讨论了过去几十年使用结合化学、酶学、晶体学、光谱学和对接计算的方法获得的结果。考虑到该酶具有有趣的成药性,本文还报道了迄今为止发现的 IspH 抑制剂。所呈现的结果为设计和开发针对致病生物的新型潜在化学疗法提供了有用且合理的帮助。

https://cdn.ncbi.nlm.nih.gov/pmc/blobs/b04e/8837944/209a92c398ca/molecules-27-00708-g010.jpg
https://cdn.ncbi.nlm.nih.gov/pmc/blobs/b04e/8837944/7d1e7f500753/molecules-27-00708-g001.jpg
https://cdn.ncbi.nlm.nih.gov/pmc/blobs/b04e/8837944/73ef11662da4/molecules-27-00708-sch001.jpg
https://cdn.ncbi.nlm.nih.gov/pmc/blobs/b04e/8837944/adbf926aaf76/molecules-27-00708-g002.jpg
https://cdn.ncbi.nlm.nih.gov/pmc/blobs/b04e/8837944/8e58df25ca5a/molecules-27-00708-sch002.jpg
https://cdn.ncbi.nlm.nih.gov/pmc/blobs/b04e/8837944/10c6967f67b3/molecules-27-00708-g003.jpg
https://cdn.ncbi.nlm.nih.gov/pmc/blobs/b04e/8837944/6b1fcb355b81/molecules-27-00708-sch003.jpg
https://cdn.ncbi.nlm.nih.gov/pmc/blobs/b04e/8837944/a1f3c5c2eb2e/molecules-27-00708-g004.jpg
https://cdn.ncbi.nlm.nih.gov/pmc/blobs/b04e/8837944/19dec99497fb/molecules-27-00708-sch004.jpg
https://cdn.ncbi.nlm.nih.gov/pmc/blobs/b04e/8837944/511faaf3310c/molecules-27-00708-g005.jpg
https://cdn.ncbi.nlm.nih.gov/pmc/blobs/b04e/8837944/902e9c2eb221/molecules-27-00708-g006.jpg
https://cdn.ncbi.nlm.nih.gov/pmc/blobs/b04e/8837944/9c02265182a4/molecules-27-00708-g007.jpg
https://cdn.ncbi.nlm.nih.gov/pmc/blobs/b04e/8837944/5b55933e3870/molecules-27-00708-g008.jpg
https://cdn.ncbi.nlm.nih.gov/pmc/blobs/b04e/8837944/33ff1c4a20df/molecules-27-00708-g009.jpg
https://cdn.ncbi.nlm.nih.gov/pmc/blobs/b04e/8837944/16a33b723387/molecules-27-00708-sch005.jpg
https://cdn.ncbi.nlm.nih.gov/pmc/blobs/b04e/8837944/209a92c398ca/molecules-27-00708-g010.jpg
https://cdn.ncbi.nlm.nih.gov/pmc/blobs/b04e/8837944/7d1e7f500753/molecules-27-00708-g001.jpg
https://cdn.ncbi.nlm.nih.gov/pmc/blobs/b04e/8837944/73ef11662da4/molecules-27-00708-sch001.jpg
https://cdn.ncbi.nlm.nih.gov/pmc/blobs/b04e/8837944/adbf926aaf76/molecules-27-00708-g002.jpg
https://cdn.ncbi.nlm.nih.gov/pmc/blobs/b04e/8837944/8e58df25ca5a/molecules-27-00708-sch002.jpg
https://cdn.ncbi.nlm.nih.gov/pmc/blobs/b04e/8837944/10c6967f67b3/molecules-27-00708-g003.jpg
https://cdn.ncbi.nlm.nih.gov/pmc/blobs/b04e/8837944/6b1fcb355b81/molecules-27-00708-sch003.jpg
https://cdn.ncbi.nlm.nih.gov/pmc/blobs/b04e/8837944/a1f3c5c2eb2e/molecules-27-00708-g004.jpg
https://cdn.ncbi.nlm.nih.gov/pmc/blobs/b04e/8837944/19dec99497fb/molecules-27-00708-sch004.jpg
https://cdn.ncbi.nlm.nih.gov/pmc/blobs/b04e/8837944/511faaf3310c/molecules-27-00708-g005.jpg
https://cdn.ncbi.nlm.nih.gov/pmc/blobs/b04e/8837944/902e9c2eb221/molecules-27-00708-g006.jpg
https://cdn.ncbi.nlm.nih.gov/pmc/blobs/b04e/8837944/9c02265182a4/molecules-27-00708-g007.jpg
https://cdn.ncbi.nlm.nih.gov/pmc/blobs/b04e/8837944/5b55933e3870/molecules-27-00708-g008.jpg
https://cdn.ncbi.nlm.nih.gov/pmc/blobs/b04e/8837944/33ff1c4a20df/molecules-27-00708-g009.jpg
https://cdn.ncbi.nlm.nih.gov/pmc/blobs/b04e/8837944/16a33b723387/molecules-27-00708-sch005.jpg
https://cdn.ncbi.nlm.nih.gov/pmc/blobs/b04e/8837944/209a92c398ca/molecules-27-00708-g010.jpg

相似文献

1
The Reductive Dehydroxylation Catalyzed by IspH, a Source of Inspiration for the Development of Novel Anti-Infectives.IspH 催化的还原脱羟作用:开发新型抗感染药物的灵感来源
Molecules. 2022 Jan 21;27(3):708. doi: 10.3390/molecules27030708.
2
Methylerythritol Phosphate Pathway: Enzymatic Evidence for a Rotation in the LytB/IspH-Catalyzed Reaction.甲基赤藓醇磷酸途径:LytB/IspH 催化反应中旋转的酶学证据。
Chemistry. 2020 Jan 22;26(5):1032-1036. doi: 10.1002/chem.201904676. Epub 2020 Jan 16.
3
Isoprenoid Biosynthesis in Pathogenic Bacteria: Nuclear Resonance Vibrational Spectroscopy Provides Insight into the Unusual [4Fe-4S] Cluster of the E. coli LytB/IspH Protein.致病细菌中的类异戊二烯生物合成:核磁共振振动光谱揭示大肠杆菌LytB/IspH蛋白中异常的[4Fe-4S]簇
Angew Chem Int Ed Engl. 2015 Oct 19;54(43):12584-7. doi: 10.1002/anie.201502494. Epub 2015 Jun 26.
4
Broken-Symmetry DFT Computations for the Reaction Pathway of IspH, an Iron-Sulfur Enzyme in Pathogenic Bacteria.致病性细菌中一种铁硫酶IspH反应途径的破缺对称密度泛函理论计算
Inorg Chem. 2015 Jul 6;54(13):6439-61. doi: 10.1021/acs.inorgchem.5b00751. Epub 2015 Jun 22.
5
Discovery of acetylene hydratase activity of the iron-sulphur protein IspH.发现铁硫蛋白 IspH 的乙炔水化酶活性。
Nat Commun. 2012;3:1042. doi: 10.1038/ncomms2052.
6
Isoprenoid biosynthesis via the MEP pathway: in vivo Mössbauer spectroscopy identifies a [4Fe-4S]2+ center with unusual coordination sphere in the LytB protein.异戊烯基生物合成途径:体内穆斯堡尔谱学鉴定 LytB 蛋白中具有异常配位环境的 [4Fe-4S]2+中心。
J Am Chem Soc. 2009 Sep 23;131(37):13184-5. doi: 10.1021/ja9012408.
7
Bioorganometallic chemistry with IspG and IspH: structure, function, and inhibition of the [Fe(4)S(4)] proteins involved in isoprenoid biosynthesis.含IspG和IspH的生物有机金属化学:类异戊二烯生物合成中[Fe(4)S(4)]蛋白的结构、功能及抑制作用
Angew Chem Int Ed Engl. 2014 Apr 22;53(17):4294-310. doi: 10.1002/anie.201306712. Epub 2014 Jan 31.
8
Inhibition of IspH, a [4Fe-4S]2+ enzyme involved in the biosynthesis of isoprenoids via the methylerythritol phosphate pathway.抑制 IspH,一种[4Fe-4S]2+酶,通过甲基赤藓醇磷酸途径参与异戊烯基生物合成。
J Am Chem Soc. 2013 Feb 6;135(5):1816-22. doi: 10.1021/ja309557s. Epub 2013 Jan 29.
9
Are free radicals involved in IspH catalysis? An EPR and crystallographic investigation.自由基是否参与 IspH 催化作用?EPR 和晶体学研究。
J Am Chem Soc. 2012 Jul 11;134(27):11225-34. doi: 10.1021/ja303445z. Epub 2012 Jun 28.
10
Functional analysis of the methylerythritol phosphate pathway terminal enzymes IspG and IspH from .对. 的甲基赤藓醇磷酸途径末端酶 IspG 和 IspH 的功能分析
Microbiol Spectr. 2024 Jul 2;12(7):e0425623. doi: 10.1128/spectrum.04256-23. Epub 2024 May 24.

引用本文的文献

1
Iron-Sulfur Cluster Enzymes of the Methylerythritol Phosphate Pathway: IspG and IspH.2-甲基-D-赤藓糖醇-4-磷酸途径的铁硫簇酶:IspG和IspH。
Biochemistry. 2025 Jun 17;64(12):2544-2555. doi: 10.1021/acs.biochem.4c00714. Epub 2025 May 27.
2
Studying Target-Engagement of Anti-Infectives by Solvent-Induced Protein Precipitation and Quantitative Mass Spectrometry.通过溶剂诱导蛋白沉淀和定量质谱法研究抗感染药物的靶点结合情况
ACS Infect Dis. 2024 Dec 13;10(12):4087-4102. doi: 10.1021/acsinfecdis.4c00417. Epub 2024 Nov 20.
3
Unrealized targets in the discovery of antibiotics for Gram-negative bacterial infections.

本文引用的文献

1
Towards the sustainable discovery and development of new antibiotics.迈向新型抗生素的可持续发现与开发。
Nat Rev Chem. 2021;5(10):726-749. doi: 10.1038/s41570-021-00313-1. Epub 2021 Aug 19.
2
Methylerythritol Phosphate Pathway: Enzymatic Evidence for a Rotation in the LytB/IspH-Catalyzed Reaction.甲基赤藓醇磷酸途径:LytB/IspH 催化反应中旋转的酶学证据。
Chemistry. 2020 Jan 22;26(5):1032-1036. doi: 10.1002/chem.201904676. Epub 2020 Jan 16.
3
Structural evidence for an essential Fe-S cluster in the catalytic core domain of DNA polymerase ϵ.
革兰氏阴性菌感染抗生素研发的未竟目标。
Nat Rev Drug Discov. 2023 Dec;22(12):957-975. doi: 10.1038/s41573-023-00791-6. Epub 2023 Oct 13.
4
Therapeutic effect of demethylated hydroxylated phillygenin derivative on infection.去甲基化羟基连翘酯苷衍生物对感染的治疗作用。
Front Microbiol. 2023 May 19;14:1071603. doi: 10.3389/fmicb.2023.1071603. eCollection 2023.
5
Computer-Based Identification of Potential Druggable Targets in Multidrug-Resistant : A Combined In Silico, In Vitro and In Vivo Study.基于计算机的多重耐药潜在可成药靶点鉴定:一项计算机模拟、体外和体内联合研究
Microorganisms. 2022 Oct 5;10(10):1973. doi: 10.3390/microorganisms10101973.
6
Biomimetic Radical Chemistry and Applications.仿生自由基化学及其应用。
Molecules. 2022 Mar 22;27(7):2042. doi: 10.3390/molecules27072042.
结构证据表明 DNA 聚合酶 ϵ 的催化核心结构域中存在必需的 Fe-S 簇。
Nucleic Acids Res. 2019 Jun 20;47(11):5712-5722. doi: 10.1093/nar/gkz248.
4
Controlling Substrate Binding to FeS Clusters through Remote Steric Effects.通过远程空间效应控制底物与铁硫簇的结合
Inorg Chem. 2019 Apr 15;58(8):5273-5280. doi: 10.1021/acs.inorgchem.9b00360. Epub 2019 Mar 22.
5
The ErpA/NfuA complex builds an oxidation-resistant Fe-S cluster delivery pathway.ErpA/NfuA 复合物构建了一条氧化抗性的 Fe-S 簇递呈途径。
J Biol Chem. 2018 May 18;293(20):7689-7702. doi: 10.1074/jbc.RA118.002160. Epub 2018 Apr 6.
6
Efficacy and Safety of Fosmidomycin-Piperaquine as Nonartemisinin-Based Combination Therapy for Uncomplicated Falciparum Malaria: A Single-Arm, Age De-escalation Proof-of-Concept Study in Gabon.福米霉素-哌喹作为无青蒿素联合疗法治疗无并发症恶性疟原虫感染的疗效和安全性:加蓬一项单臂、年龄递减概念验证研究。
Clin Infect Dis. 2018 Jun 1;66(12):1823-1830. doi: 10.1093/cid/cix1122.
7
Malaria in Children.儿童疟疾。
Infect Dis Clin North Am. 2018 Mar;32(1):189-200. doi: 10.1016/j.idc.2017.10.008. Epub 2017 Dec 18.
8
Further Insight into Crystal Structures of Escherichia coli IspH/LytB in Complex with Two Potent Inhibitors of the MEP Pathway: A Starting Point for Rational Design of New Antimicrobials.对大肠杆菌IspH/LytB与MEP途径的两种强效抑制剂复合物晶体结构的进一步深入了解:新型抗菌药物合理设计的起点
Chembiochem. 2017 Nov 2;18(21):2137-2144. doi: 10.1002/cbic.201700363. Epub 2017 Oct 2.
9
Mechanistic insights into the reductive dehydroxylation pathway for the biosynthesis of isoprenoids promoted by the IspH enzyme.关于由IspH酶促进的类异戊二烯生物合成的还原脱羟基途径的机制见解。
Chem Sci. 2015 Oct 1;6(10):5643-5651. doi: 10.1039/c5sc01693b. Epub 2015 Jun 22.
10
Spectroscopic and Computational Investigations of Ligand Binding to IspH: Discovery of Non-diphosphate Inhibitors.配体与IspH结合的光谱学和计算研究:非二磷酸抑制剂的发现
Chembiochem. 2017 May 18;18(10):914-920. doi: 10.1002/cbic.201700052. Epub 2017 Apr 7.