• 文献检索
  • 文档翻译
  • 深度研究
  • 学术资讯
  • Suppr Zotero 插件Zotero 插件
  • 邀请有礼
  • 套餐&价格
  • 历史记录
应用&插件
Suppr Zotero 插件Zotero 插件浏览器插件Mac 客户端Windows 客户端微信小程序
定价
高级版会员购买积分包购买API积分包
服务
文献检索文档翻译深度研究API 文档MCP 服务
关于我们
关于 Suppr公司介绍联系我们用户协议隐私条款
关注我们

Suppr 超能文献

核心技术专利:CN118964589B侵权必究
粤ICP备2023148730 号-1Suppr @ 2026

文献检索

告别复杂PubMed语法,用中文像聊天一样搜索,搜遍4000万医学文献。AI智能推荐,让科研检索更轻松。

立即免费搜索

文件翻译

保留排版,准确专业,支持PDF/Word/PPT等文件格式,支持 12+语言互译。

免费翻译文档

深度研究

AI帮你快速写综述,25分钟生成高质量综述,智能提取关键信息,辅助科研写作。

立即免费体验

含酒精洗手液:凝胶剂真的重要吗?

Alcohol-Based Hand Sanitizers: Does Gelling Agent Really Matter?

作者信息

d'Angelo Ivana, Provenzano Romina, Florio Ettore, Pagliuca Chiara, Mantova Giuseppe, Scaglione Elena, Vitiello Mariateresa, Colicchio Roberta, Salvatore Paola, Ungaro Francesca, Quaglia Fabiana, Miro Agnese

机构信息

Department of Environmental, Biological and Pharmaceutical Sciences and Technologies, University of Campania "Luigi Vanvitelli", 81100 Caserta, Italy.

Department of Pharmacy, University of Naples Federico II, 80131 Naples, Italy.

出版信息

Gels. 2022 Jan 29;8(2):87. doi: 10.3390/gels8020087.

DOI:10.3390/gels8020087
PMID:35200468
原文链接:https://pmc.ncbi.nlm.nih.gov/articles/PMC8871833/
Abstract

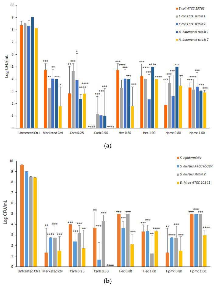
Hand hygiene, social distancing, and face covering are considered the first protection against Coronavirus spreading. The high demand during the COVID-19 emergency has driven a frenetic production and marketing of hand sanitizer gels. Nevertheless, the effect of the gelling agent and its amount on the effectiveness of alcohol-based hand sanitizers (ABHSs) needs to be clarified. We presented a systematic study on the effect of the characteristics and concentration of the most employed excipients on the properties and antimicrobial activity of ABHSs. Three different gelling agents, carbopol, hydroxypropylmethylcellulose (HPMC), and hydroxyethylcellulose (HEC), at four different concentrations were used to prepare ABHSs. Viscosity, spreadability, delivery from commercial dispensers, evaporation rate, rubbing time, and hand distribution of the ABHSs were then explored. Biocidal activity of selected ABHSs was evaluated in vitro on ATCC and clinical strains. The studied ABHS can be considered bioactive and comfortable. Nevertheless, the cellulose polymers and ethanol interactions led to a slight but significant reduction in the biocidal activity compared with carbopol-based formulations. Our results underline the importance of the gelling agent properties and support the choice of carbopol as one of the best thickener agents in ABHS formulations.

摘要

手部卫生、社交距离和佩戴口罩被视为预防新冠病毒传播的首要防护措施。在新冠疫情紧急期间的高需求推动了洗手液凝胶的疯狂生产和销售。然而,胶凝剂及其用量对酒精基洗手液(ABHSs)有效性的影响仍需阐明。我们针对最常用辅料的特性和浓度对ABHSs的性质及抗菌活性的影响进行了一项系统性研究。使用三种不同的胶凝剂(卡波姆、羟丙基甲基纤维素(HPMC)和羟乙基纤维素(HEC)),以四种不同浓度制备ABHSs。随后探究了ABHSs的粘度、铺展性、从商用分配器中的挤出情况、蒸发速率、揉搓时间以及在手上的分布情况。在体外对选定的ABHSs对美国典型培养物保藏中心(ATCC)菌株和临床菌株的杀菌活性进行了评估。所研究的ABHSs可被认为具有生物活性且使用舒适。然而,与基于卡波姆的配方相比,纤维素聚合物与乙醇的相互作用导致杀菌活性略有但显著降低。我们的结果强调了胶凝剂性质的重要性,并支持选择卡波姆作为ABHSs配方中最佳增稠剂之一。

https://cdn.ncbi.nlm.nih.gov/pmc/blobs/ae91/8871833/19a361789463/gels-08-00087-g008.jpg
https://cdn.ncbi.nlm.nih.gov/pmc/blobs/ae91/8871833/83ee88451a22/gels-08-00087-g001.jpg
https://cdn.ncbi.nlm.nih.gov/pmc/blobs/ae91/8871833/ed6b706c3082/gels-08-00087-g002.jpg
https://cdn.ncbi.nlm.nih.gov/pmc/blobs/ae91/8871833/be9538767178/gels-08-00087-g003.jpg
https://cdn.ncbi.nlm.nih.gov/pmc/blobs/ae91/8871833/aa0992156e81/gels-08-00087-g004.jpg
https://cdn.ncbi.nlm.nih.gov/pmc/blobs/ae91/8871833/18bcce4a8c9f/gels-08-00087-g005.jpg
https://cdn.ncbi.nlm.nih.gov/pmc/blobs/ae91/8871833/3783ccd44465/gels-08-00087-g006.jpg
https://cdn.ncbi.nlm.nih.gov/pmc/blobs/ae91/8871833/4b1db00b9713/gels-08-00087-g007a.jpg
https://cdn.ncbi.nlm.nih.gov/pmc/blobs/ae91/8871833/19a361789463/gels-08-00087-g008.jpg
https://cdn.ncbi.nlm.nih.gov/pmc/blobs/ae91/8871833/83ee88451a22/gels-08-00087-g001.jpg
https://cdn.ncbi.nlm.nih.gov/pmc/blobs/ae91/8871833/ed6b706c3082/gels-08-00087-g002.jpg
https://cdn.ncbi.nlm.nih.gov/pmc/blobs/ae91/8871833/be9538767178/gels-08-00087-g003.jpg
https://cdn.ncbi.nlm.nih.gov/pmc/blobs/ae91/8871833/aa0992156e81/gels-08-00087-g004.jpg
https://cdn.ncbi.nlm.nih.gov/pmc/blobs/ae91/8871833/18bcce4a8c9f/gels-08-00087-g005.jpg
https://cdn.ncbi.nlm.nih.gov/pmc/blobs/ae91/8871833/3783ccd44465/gels-08-00087-g006.jpg
https://cdn.ncbi.nlm.nih.gov/pmc/blobs/ae91/8871833/4b1db00b9713/gels-08-00087-g007a.jpg
https://cdn.ncbi.nlm.nih.gov/pmc/blobs/ae91/8871833/19a361789463/gels-08-00087-g008.jpg

相似文献

1
Alcohol-Based Hand Sanitizers: Does Gelling Agent Really Matter?含酒精洗手液:凝胶剂真的重要吗?
Gels. 2022 Jan 29;8(2):87. doi: 10.3390/gels8020087.
2
Alcohol-based Hand Sanitizers amid COVID-19: Chemical Formulation, Analysis, Safety.新冠疫情期间的酒精基洗手液:化学配方、分析与安全性
ChemistrySelect. 2022 Dec 6;7(45):e202203290. doi: 10.1002/slct.202203290. Epub 2022 Dec 1.
3
Formulation and Evaluation of Alcohol-Free Hand Sanitizer Gels to Prevent the Spread of Infections during Pandemics.无醇洗手液凝胶的配方与评估,以预防大流行期间的感染传播。
Int J Environ Res Public Health. 2021 Jun 9;18(12):6252. doi: 10.3390/ijerph18126252.
4
COVID-19, Overzealous Sanitizer Use, and Hair Discoloration: Case Reports.新冠病毒病、过度使用消毒剂与头发变色:病例报告。
Acta Dermatovenerol Croat. 2022 Jul;30(1):57-58.
5
Current issues in hand hygiene.手部卫生的当前问题。
Am J Infect Control. 2023 Nov;51(11S):A35-A43. doi: 10.1016/j.ajic.2023.02.003.
6
Evaluation of quality and antimicrobial efficacy of locally manufactured alcohol-based hand sanitizers marketed in Addis Ababa, Ethiopia in the era of COVID-19.评价 COVID-19 大流行时期埃塞俄比亚亚的斯亚贝巴市市售的国产醇基手部消毒剂的质量和抗菌功效。
Antimicrob Resist Infect Control. 2022 Oct 8;11(1):126. doi: 10.1186/s13756-022-01163-2.
7
Antimicrobial Efficacy Assessment and Rheological Investigation of Two Different Hand Sanitizers Compared with the Standard Reference WHO Formulation 1.两种不同洗手液与世界卫生组织标准参考配方1相比的抗菌效果评估及流变学研究
Gels. 2023 Jan 27;9(2):108. doi: 10.3390/gels9020108.
8
Presence of unsafe chemical impurities, accelerated evaporation of alcohol, and lack of key labeling requirements are risks and concerns for some alcohol-based hand sanitizers and dispenser practices during the COVID-19 pandemic.在 COVID-19 大流行期间,一些酒精类手部消毒剂和分配器的做法存在不安全化学杂质、酒精加速蒸发以及缺乏关键标签要求等风险和问题。
PLoS One. 2022 Mar 18;17(3):e0265519. doi: 10.1371/journal.pone.0265519. eCollection 2022.
9
Alcohol-based hand sanitizer - composition, proper use and precautions.含酒精洗手液——成分、正确使用方法及注意事项。
Germs. 2021 Sep 29;11(3):408-417. doi: 10.18683/germs.2021.1278. eCollection 2021 Sep.
10
The Effect of Alcohol-Based Hand Sanitizer Vapors on Evidential Breath Alcohol Test Results.含酒精洗手液蒸汽对呼气酒精测试结果的影响。
J Forensic Sci. 2018 Jul;63(4):1284-1290. doi: 10.1111/1556-4029.13691. Epub 2017 Nov 16.

引用本文的文献

1
Purification and use of crude green glycerol from the transesterification of triglycerides in the formulation of an alcohol gel hand sanitizer.从三酸甘油脂的酯交换反应中提炼并使用未经纯化的绿色甘油,以制作酒精凝胶型手部清洁液。
Sci Rep. 2024 Mar 6;14(1):5510. doi: 10.1038/s41598-023-49422-5.
2
Control of Healthcare-Associated Carbapenem-Resistant by Enhancement of Infection Control Measures.通过加强感染控制措施来控制医疗保健相关的耐碳青霉烯菌感染
Antibiotics (Basel). 2022 Aug 8;11(8):1076. doi: 10.3390/antibiotics11081076.

本文引用的文献

1
A novel smaller β-defensin-derived peptide is active against multidrug-resistant bacterial strains.一种新型较小的β-防御素衍生肽对多种耐药菌菌株有效。
FASEB J. 2021 Dec;35(12):e22026. doi: 10.1096/fj.202002330RR.
2
Antiviral and antibacterial activity of hand sanitizer and surface disinfectant formulations.手部消毒剂和表面消毒剂配方的抗病毒和抗菌活性。
Int J Pharm. 2021 Nov 20;609:121139. doi: 10.1016/j.ijpharm.2021.121139. Epub 2021 Sep 27.
3
Rheological properties of cellulosic thickeners in hydro-alcoholic media: The science behind the formulation of hand sanitizer gels.
水醇介质中纤维素增稠剂的流变特性:洗手液凝胶配方背后的科学原理。
Int J Pharm. 2021 Jul 15;604:120769. doi: 10.1016/j.ijpharm.2021.120769. Epub 2021 Jun 3.
4
Assessment of Alcohol-Based Hand Sanitizers for Long-Term Use, Formulated with Addition of Natural Ingredients in Comparison to WHO Formulation 1.与世界卫生组织配方1相比,添加天然成分的长期使用型酒精基洗手液评估。
Pharmaceutics. 2021 Apr 17;13(4):571. doi: 10.3390/pharmaceutics13040571.
5
Evaluating the Antimicrobial Properties of Commercial Hand Sanitizers.评估市售手部消毒剂的抗菌性能。
mSphere. 2021 Mar 3;6(2):e00062-21. doi: 10.1128/mSphere.00062-21.
6
Monitoring the quality of ethanol-based hand sanitizers by low-cost near-infrared spectroscopy.利用低成本近红外光谱法监测乙醇基洗手液的质量
Microchem J. 2020 Dec;159:105421. doi: 10.1016/j.microc.2020.105421. Epub 2020 Aug 17.
7
Inactivation of SARS-CoV-2 by commercially available alcohol-based hand sanitizers.商业用酒精类手部消毒剂对 SARS-CoV-2 的灭活作用。
Am J Infect Control. 2021 Mar;49(3):401-402. doi: 10.1016/j.ajic.2020.08.020. Epub 2020 Aug 18.
8
Hand sanitizers: A review of ingredients, mechanisms of action, modes of delivery, and efficacy against coronaviruses.手部消毒剂:成分、作用机制、输送方式和抗冠状病毒效果综述。
Am J Infect Control. 2020 Sep;48(9):1062-1067. doi: 10.1016/j.ajic.2020.06.182. Epub 2020 Jun 18.
9
Hand sanitisers amid CoViD-19: A critical review of alcohol-based products on the market and formulation approaches to respond to increasing demand.新冠疫情期间的手部消毒剂:对市场上基于酒精的产品和为满足日益增长的需求而采用的配方方法的批判性回顾。
Int J Pharm. 2020 Jun 30;584:119431. doi: 10.1016/j.ijpharm.2020.119431. Epub 2020 May 16.
10
Different efficacies of common disinfection methods against candida auris and other candida species.常见消毒方法对耳念珠菌和其他念珠菌属种的不同杀菌效果。
J Infect Public Health. 2020 May;13(5):730-736. doi: 10.1016/j.jiph.2020.01.008. Epub 2020 Jan 28.