Suppr超能文献

高毒力菌株调节人树突状细胞功能并影响T1/T17反应。

Hypervirulent Strains Modulate Human Dendritic Cell Functions and Affect T1/T17 Response.

作者信息

Nicolò Sabrina, Mattiuz Giorgio, Antonelli Alberto, Arena Fabio, Di Pilato Vincenzo, Giani Tommaso, Baccani Ilaria, Clemente Ann Maria, Castronovo Giuseppe, Tanturli Michele, Cozzolino Federico, Rossolini Gian Maria, Torcia Maria Gabriella

机构信息

Department of Experimental and Clinical Medicine, University of Florence, 50134 Florence, Italy.

Clinical Microbiology and Virology Unit, Careggi University Hospital, 50134 Florence, Italy.

出版信息

Microorganisms. 2022 Feb 7;10(2):384. doi: 10.3390/microorganisms10020384.

Abstract

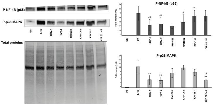
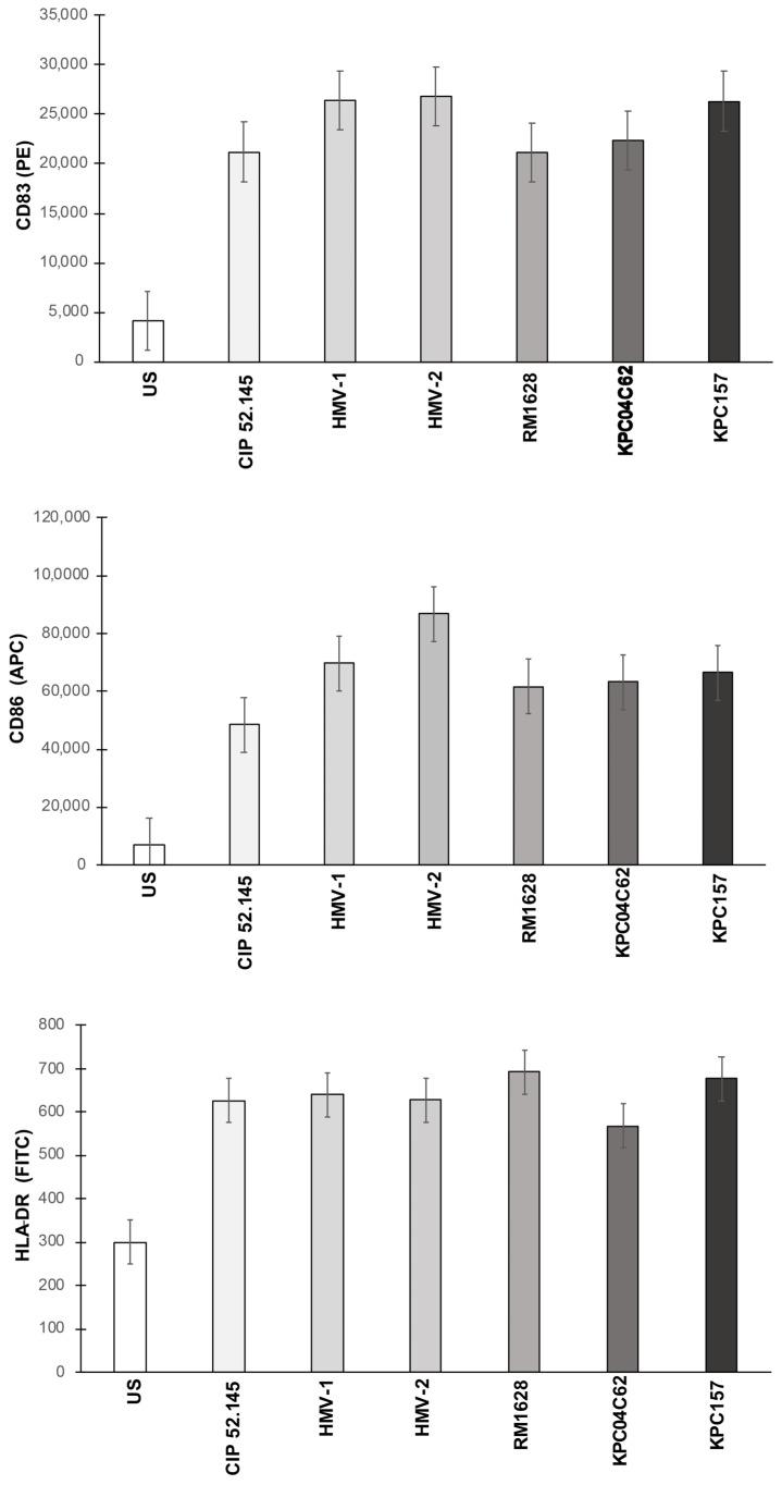
Hypervirulent (Hv-Kp) strains have emerged as pathogens causing life-threatening, invasive disease even in immunocompetent hosts. Systemic dissemination usually occurs following perturbations of the gut microbiota and is facilitated by Hv-Kp resistance to phagocytosis and complement activity. Hv-Kp are usually associated with K1 or K2 capsular types, produce several iron uptake systems (e.g., aerobactin and salmochelin) and are often but not invariably, capsular material hyper-producers (hypermucoviscous phenotype: HMV). Whether Hv-Kp escape the immune response at mucosal site is unknown. In this work, we studied the effects of Hv-Kp on human dendritic cells (DCs), central players of the IL-23/IL-17 and IL-12/IFN-γ axis at mucosal sites, essential for pathogen clearance. Four Hv-Kp and HMV strains were selected and their activity on DC maturation and cytokine production was compared to that of non-virulent Kp strains with classic or HMV phenotypes. While the maturation process was equally induced by all Kp strains, significant differences between virulent and non-virulent strains were found in the expression of genes for cytokines involved in T-cell activation and differentiation. The non-virulent KP04C62 and the classic Kp, KPC157 induced high expression of T1 (IL-12p70 and TNFα) and T17 cytokines (IL-23, IL-1β and IL-6), while Hv-Kp poorly activated these cytokine genes. Moreover, conditioned media from DCs cultured with non-virulent Kp, either classical or hypercapsulated, induced the activation of IL-17 and IFN-γ genes in preactivated CD4-cells suggesting their T17/T1 differentiation. Conditioned media from Hv-Kp poorly activated IL-17 and IFN-γ genes. In summary, our data indicate that Hv-Kp interfere with DC functions and T-cell differentiation and suggest that the escape from the IL-23/IL-17 and IL-12/IFN-γ axes may contribute to pathogen dissemination in immunocompetent hosts.

摘要

高毒力(Hv-Kp)菌株已成为即使在免疫功能正常的宿主中也能引起危及生命的侵袭性疾病的病原体。全身播散通常在肠道微生物群受到干扰后发生,并且Hv-Kp对吞噬作用和补体活性的抗性促进了这种播散。Hv-Kp通常与K1或K2荚膜类型相关,产生多种铁摄取系统(例如气杆菌素和沙门菌素),并且通常但并非总是荚膜物质高产者(高黏液表型:HMV)。Hv-Kp是否在黏膜部位逃避免疫反应尚不清楚。在这项研究中,我们研究了Hv-Kp对人树突状细胞(DC)的影响,DC是黏膜部位IL-23/IL-17和IL-12/IFN-γ轴的核心参与者,对病原体清除至关重要。选择了四株Hv-Kp和HMV菌株,并将它们对DC成熟和细胞因子产生的活性与具有经典或HMV表型的无毒力Kp菌株进行了比较。虽然所有Kp菌株均同等诱导成熟过程,但在参与T细胞活化和分化的细胞因子基因表达方面,发现了有毒力和无毒力菌株之间的显著差异。无毒力的KP04C62和经典的Kp菌株KPC157诱导T1(IL-12p70和TNFα)和T17细胞因子(IL-23、IL-1β和IL-6)的高表达,而Hv-Kp对这些细胞因子基因的激活作用较弱。此外,用无毒力Kp(无论是经典的还是高荚膜化的)培养的DC的条件培养基可诱导预激活的CD4细胞中IL-17和IFN-γ基因的激活,表明它们的T17/T1分化。Hv-Kp的条件培养基对IL-17和IFN-γ基因的激活作用较弱。总之,我们的数据表明Hv-Kp干扰DC功能和T细胞分化,并表明逃避IL-23/IL-17和IL-12/IFN-γ轴可能有助于病原体在免疫功能正常的宿主中播散。

https://cdn.ncbi.nlm.nih.gov/pmc/blobs/0510/8877041/908bb006f9f5/microorganisms-10-00384-g001.jpg

文献AI研究员

20分钟写一篇综述,助力文献阅读效率提升50倍。

立即体验

用中文搜PubMed

大模型驱动的PubMed中文搜索引擎

马上搜索

文档翻译

学术文献翻译模型,支持多种主流文档格式。

立即体验