• 文献检索
  • 文档翻译
  • 深度研究
  • 学术资讯
  • Suppr Zotero 插件Zotero 插件
  • 邀请有礼
  • 套餐&价格
  • 历史记录
应用&插件
Suppr Zotero 插件Zotero 插件浏览器插件Mac 客户端Windows 客户端微信小程序
定价
高级版会员购买积分包购买API积分包
服务
文献检索文档翻译深度研究API 文档MCP 服务
关于我们
关于 Suppr公司介绍联系我们用户协议隐私条款
关注我们

Suppr 超能文献

核心技术专利:CN118964589B侵权必究
粤ICP备2023148730 号-1Suppr @ 2026

文献检索

告别复杂PubMed语法,用中文像聊天一样搜索,搜遍4000万医学文献。AI智能推荐,让科研检索更轻松。

立即免费搜索

文件翻译

保留排版,准确专业,支持PDF/Word/PPT等文件格式,支持 12+语言互译。

免费翻译文档

深度研究

AI帮你快速写综述,25分钟生成高质量综述,智能提取关键信息,辅助科研写作。

立即免费体验

窖蛋白-1 支架结构域的多个亚区抑制纤维化、微血管渗漏和单核细胞迁移。

Multiple subregions within the caveolin-1 scaffolding domain inhibit fibrosis, microvascular leakage, and monocyte migration.

机构信息

Division of Rheumatology, Department of Medicine, Medical University of South Carolina, Charleston, South Carolina, Unites States of America.

Division of Cardiology, Department of Medicine, Medical University of South Carolina, Charleston, South Carolina, Unites States of America.

出版信息

PLoS One. 2022 Feb 25;17(2):e0264413. doi: 10.1371/journal.pone.0264413. eCollection 2022.

DOI:10.1371/journal.pone.0264413
PMID:35213624
原文链接:https://pmc.ncbi.nlm.nih.gov/articles/PMC8880820/
Abstract

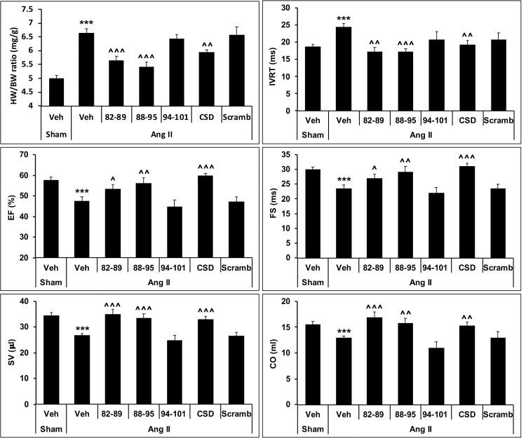
The caveolin-1 scaffolding domain (CSD, amino acids 82-101 of caveolin-1) has been shown to suppress bleomycin-induced lung and skin fibrosis and angiotensin II (AngII)-induced myocardial fibrosis. To identify active subregions within CSD, we split its sequence into three slightly overlapping 8-amino acid subregions (82-89, 88-95, and 94-101). Interestingly, all three peptides showed activity. In bleomycin-treated mice, all three subregions suppressed the pathological effects on lung and skin tissue morphology. In addition, while bone marrow monocytes isolated from bleomycin-treated mice showed greatly enhanced migration in vitro toward CXCL12, treatment in vivo with CSD and its subregions almost completely suppressed this enhanced migration. In AngII-induced heart failure, both 82-89 and 88-95 significantly suppressed fibrosis (both Col I and HSP47 levels), microvascular leakage, and heart weight/ body weight ratio (HW/BW) while improving ventricular function. In contrast, while 94-101 suppressed the increase in Col I, it did not improve the other parameters. The idea that all three subregions can be active depending on the assay was further supported by experiments studying the in vitro migration of human monocytes in which all three subregions were extremely active. These studies are very novel in that it has been suggested that there is only one active region within CSD that is centered on amino acids 90-92. In contrast, we demonstrate here the presence of other active regions within CSD.

摘要

窖蛋白-1 支架结构域(CSD,窖蛋白-1 的 82-101 位氨基酸)已被证明可抑制博来霉素诱导的肺和皮肤纤维化以及血管紧张素 II(AngII)诱导的心肌纤维化。为了鉴定 CSD 内的活性亚区,我们将其序列分成三个略有重叠的 8 个氨基酸亚区(82-89、88-95 和 94-101)。有趣的是,这三个肽段都具有活性。在博来霉素处理的小鼠中,所有三个亚区均抑制了肺和皮肤组织形态的病理效应。此外,虽然骨髓单核细胞在博来霉素处理的小鼠中表现出明显增强的体外向 CXCL12 的迁移,但体内用 CSD 及其亚区治疗几乎完全抑制了这种增强的迁移。在 AngII 诱导的心力衰竭中,82-89 和 88-95 均显著抑制纤维化(Col I 和 HSP47 水平)、微血管渗漏和心脏重量/体重比(HW/BW),同时改善心室功能。相比之下,虽然 94-101 抑制了 Col I 的增加,但它没有改善其他参数。这一观点认为,所有三个亚区都可以根据测定的方法发挥作用,这一观点得到了进一步的支持,因为在研究人类单核细胞体外迁移的实验中,所有三个亚区都具有极强的活性。这些研究非常新颖,因为人们曾认为 CSD 内只有一个活性区域,位于 90-92 位氨基酸之间。相比之下,我们在这里证明了 CSD 内存在其他活性区域。

https://cdn.ncbi.nlm.nih.gov/pmc/blobs/f662/8880820/c7bd2be55029/pone.0264413.g005.jpg
https://cdn.ncbi.nlm.nih.gov/pmc/blobs/f662/8880820/b1370b257a7d/pone.0264413.g001.jpg
https://cdn.ncbi.nlm.nih.gov/pmc/blobs/f662/8880820/bd830771f300/pone.0264413.g002.jpg
https://cdn.ncbi.nlm.nih.gov/pmc/blobs/f662/8880820/3c539812011f/pone.0264413.g003.jpg
https://cdn.ncbi.nlm.nih.gov/pmc/blobs/f662/8880820/dfe5f36eb412/pone.0264413.g004.jpg
https://cdn.ncbi.nlm.nih.gov/pmc/blobs/f662/8880820/c7bd2be55029/pone.0264413.g005.jpg
https://cdn.ncbi.nlm.nih.gov/pmc/blobs/f662/8880820/b1370b257a7d/pone.0264413.g001.jpg
https://cdn.ncbi.nlm.nih.gov/pmc/blobs/f662/8880820/bd830771f300/pone.0264413.g002.jpg
https://cdn.ncbi.nlm.nih.gov/pmc/blobs/f662/8880820/3c539812011f/pone.0264413.g003.jpg
https://cdn.ncbi.nlm.nih.gov/pmc/blobs/f662/8880820/dfe5f36eb412/pone.0264413.g004.jpg
https://cdn.ncbi.nlm.nih.gov/pmc/blobs/f662/8880820/c7bd2be55029/pone.0264413.g005.jpg

相似文献

1
Multiple subregions within the caveolin-1 scaffolding domain inhibit fibrosis, microvascular leakage, and monocyte migration.窖蛋白-1 支架结构域的多个亚区抑制纤维化、微血管渗漏和单核细胞迁移。
PLoS One. 2022 Feb 25;17(2):e0264413. doi: 10.1371/journal.pone.0264413. eCollection 2022.
2
Suppression of angiotensin II-induced pathological changes in heart and kidney by the caveolin-1 scaffolding domain peptide.抑肽素通过小窝蛋白-1 支架结构域肽抑制血管紧张素 II 诱导的心脏和肾脏的病理性改变。
PLoS One. 2018 Dec 21;13(12):e0207844. doi: 10.1371/journal.pone.0207844. eCollection 2018.
3
Caveolin-1 regulates leucocyte behaviour in fibrotic lung disease.窖蛋白-1 调节肺纤维化疾病中的白细胞行为。
Ann Rheum Dis. 2010 Jun;69(6):1220-6. doi: 10.1136/ard.2009.117580. Epub 2010 Apr 21.
4
The Caveolin-1 Scaffolding Domain Peptide Reverses Aging-Associated Deleterious Changes in Multiple Organs.窖蛋白-1 支架结构域肽逆转多种器官衰老相关的有害变化。
J Pharmacol Exp Ther. 2021 Jul;378(1):1-9. doi: 10.1124/jpet.120.000424. Epub 2021 Apr 20.
5
Caveolin-1 regulates chemokine receptor 5-mediated contribution of bone marrow-derived cells to dermal fibrosis.窖蛋白-1 调节趋化因子受体 5 介导的骨髓来源细胞对皮肤纤维化的贡献。
Front Pharmacol. 2014 Jun 11;5:140. doi: 10.3389/fphar.2014.00140. eCollection 2014.
6
Mesenchymal stromal cells prevent bleomycin-induced lung and skin fibrosis in aged mice and restore wound healing.间充质基质细胞可预防老年小鼠博来霉素诱导的肺和皮肤纤维化,并恢复伤口愈合。
J Cell Physiol. 2018 Aug;233(8):5503-5512. doi: 10.1002/jcp.26418. Epub 2018 Feb 28.
7
Antifibrotic properties of caveolin-1 scaffolding domain in vitro and in vivo.小窝蛋白-1支架结构域在体外和体内的抗纤维化特性。
Am J Physiol Lung Cell Mol Physiol. 2008 May;294(5):L843-61. doi: 10.1152/ajplung.00295.2007. Epub 2008 Jan 18.
8
Reversal of maladaptive fibrosis and compromised ventricular function in the pressure overloaded heart by a caveolin-1 surrogate peptide.通过一种小窝蛋白-1替代肽逆转压力超负荷心脏中适应性不良的纤维化和受损的心室功能。
Lab Invest. 2017 Apr;97(4):370-382. doi: 10.1038/labinvest.2016.153. Epub 2017 Jan 23.
9
Altered monocyte and fibrocyte phenotype and function in scleroderma interstitial lung disease: reversal by caveolin-1 scaffolding domain peptide.硬皮病间质性肺病中单核细胞和成纤维细胞表型及功能的改变:小窝蛋白-1支架结构域肽的逆转作用
Fibrogenesis Tissue Repair. 2011 Jul 1;4(1):15. doi: 10.1186/1755-1536-4-15.
10
Enhanced chemokine-receptor expression, function, and signaling in healthy African American and scleroderma-patient monocytes are regulated by caveolin-1.在健康非裔美国人和硬皮病患者单核细胞中,趋化因子受体表达、功能及信号传导的增强受小窝蛋白-1调控。
Fibrogenesis Tissue Repair. 2015 Jun 20;8:11. doi: 10.1186/s13069-015-0028-7. eCollection 2015.

引用本文的文献

1
Revolutionizing Autoimmune Research: The Role of Caveolin-1.革新自身免疫研究:小窝蛋白-1的作用
Immun Inflamm Dis. 2025 Aug;13(8):e70230. doi: 10.1002/iid3.70230.
2
Caveolin Scaffolding Domain (CSD) Peptide LTI-2355 Modulates the Phagocytic and Synthetic Activity of Lung-Derived Myeloid Cells in Idiopathic Pulmonary Fibrosis (IPF) and Post-Acute Sequelae of COVID Fibrosis (PASC-F).小窝蛋白支架结构域(CSD)肽LTI-2355调节特发性肺纤维化(IPF)和新冠纤维化后遗症(PASC-F)中肺源性髓样细胞的吞噬和合成活性。
Biomedicines. 2025 Mar 26;13(4):796. doi: 10.3390/biomedicines13040796.
3
A Brain Endothelial Cell Caveolin-1/CXCL10 Axis Promotes T Cell Transcellular Migration Across the Blood-Brain Barrier.

本文引用的文献

1
The Caveolin-1 Scaffolding Domain Peptide Reverses Aging-Associated Deleterious Changes in Multiple Organs.窖蛋白-1 支架结构域肽逆转多种器官衰老相关的有害变化。
J Pharmacol Exp Ther. 2021 Jul;378(1):1-9. doi: 10.1124/jpet.120.000424. Epub 2021 Apr 20.
2
Vascular Permeability: Regulation Pathways and Role in Kidney Diseases.血管通透性:调节途径及其在肾脏疾病中的作用
Nephron. 2021;145(3):297-310. doi: 10.1159/000514314. Epub 2021 Mar 19.
3
COVID-19: the vasculature unleashed.COVID-19:血管失控。
脑内皮细胞小窝蛋白-1/CXCL10轴促进T细胞跨血脑屏障的穿细胞迁移。
ASN Neuro. 2025;17(1):2472070. doi: 10.1080/17590914.2025.2472070. Epub 2025 Mar 10.
4
The critical roles of caveolin-1 in lung diseases.小窝蛋白-1在肺部疾病中的关键作用。
Front Pharmacol. 2024 Sep 24;15:1417834. doi: 10.3389/fphar.2024.1417834. eCollection 2024.
5
A water-soluble caveolin-1 peptide inhibits psoriasis-like skin inflammation by suppressing cytokine production and angiogenesis.一种水溶性的窖蛋白-1 肽通过抑制细胞因子产生和血管生成来抑制银屑病样皮肤炎症。
Sci Rep. 2024 Sep 4;14(1):20553. doi: 10.1038/s41598-024-71350-1.
6
Are There Lipid Membrane-Domain Subtypes in Neurons with Different Roles in Calcium Signaling?神经元在钙信号转导中具有不同作用,是否存在脂质膜域亚型?
Molecules. 2023 Dec 2;28(23):7909. doi: 10.3390/molecules28237909.
7
Caveolin-1-Related Intervention for Fibrotic Lung Diseases.窖蛋白-1 相关干预治疗肺纤维化疾病。
Cells. 2023 Feb 9;12(4):554. doi: 10.3390/cells12040554.
8
Involvement of caveolin-1 in skin diseases.窖蛋白-1 在皮肤疾病中的作用。
Front Immunol. 2022 Nov 30;13:1035451. doi: 10.3389/fimmu.2022.1035451. eCollection 2022.
9
Role of Caveolin-1 in Sepsis - A Mini-Review.Caveolin-1 在脓毒症中的作用——综述。
Front Immunol. 2022 Jul 15;13:902907. doi: 10.3389/fimmu.2022.902907. eCollection 2022.
Nat Rev Immunol. 2020 Jul;20(7):389-391. doi: 10.1038/s41577-020-0343-0.
4
Pulmonary fibrosis and COVID-19: the potential role for antifibrotic therapy.肺纤维化与 COVID-19:抗纤维化治疗的潜在作用。
Lancet Respir Med. 2020 Aug;8(8):807-815. doi: 10.1016/S2213-2600(20)30225-3. Epub 2020 May 15.
5
Pulmonary fibrosis secondary to COVID-19: a call to arms?新型冠状病毒肺炎继发的肺纤维化:吹响战斗的号角?
Lancet Respir Med. 2020 Aug;8(8):750-752. doi: 10.1016/S2213-2600(20)30222-8. Epub 2020 May 15.
6
Pathological inflammation in patients with COVID-19: a key role for monocytes and macrophages.COVID-19 患者的病理性炎症:单核细胞和巨噬细胞的关键作用。
Nat Rev Immunol. 2020 Jun;20(6):355-362. doi: 10.1038/s41577-020-0331-4. Epub 2020 May 6.
7
Vascular permeability in the fibrotic lung.纤维化肺中的血管通透性。
Eur Respir J. 2020 Jul 16;56(1). doi: 10.1183/13993003.00100-2019. Print 2020 Jul.
8
Modeling pulmonary fibrosis through bleomycin delivered by osmotic minipump: a new histomorphometric method of evaluation.通过渗透微型泵给予博来霉素建立肺纤维化模型:一种新的组织形态计量学评价方法。
Am J Physiol Lung Cell Mol Physiol. 2020 Feb 1;318(2):L376-L385. doi: 10.1152/ajplung.00311.2019. Epub 2019 Dec 18.
9
Caveolin-1-derived peptide limits development of pulmonary fibrosis.窖蛋白-1 衍生肽可抑制肺纤维化的发展。
Sci Transl Med. 2019 Dec 11;11(522). doi: 10.1126/scitranslmed.aat2848.
10
Microvascular Dysfunction in Heart Failure With Preserved Ejection Fraction.射血分数保留的心力衰竭中的微血管功能障碍
Front Physiol. 2019 Nov 5;10:1347. doi: 10.3389/fphys.2019.01347. eCollection 2019.