• 文献检索
  • 文档翻译
  • 深度研究
  • 学术资讯
  • Suppr Zotero 插件Zotero 插件
  • 邀请有礼
  • 套餐&价格
  • 历史记录
应用&插件
Suppr Zotero 插件Zotero 插件浏览器插件Mac 客户端Windows 客户端微信小程序
定价
高级版会员购买积分包购买API积分包
服务
文献检索文档翻译深度研究API 文档MCP 服务
关于我们
关于 Suppr公司介绍联系我们用户协议隐私条款
关注我们

Suppr 超能文献

核心技术专利:CN118964589B侵权必究
粤ICP备2023148730 号-1Suppr @ 2026

文献检索

告别复杂PubMed语法,用中文像聊天一样搜索,搜遍4000万医学文献。AI智能推荐,让科研检索更轻松。

立即免费搜索

文件翻译

保留排版,准确专业,支持PDF/Word/PPT等文件格式,支持 12+语言互译。

免费翻译文档

深度研究

AI帮你快速写综述,25分钟生成高质量综述,智能提取关键信息,辅助科研写作。

立即免费体验

通过脉冲激光沉积阻抗谱研究原始固体氧化物燃料电池阴极表面的氧还原途径。

Investigating oxygen reduction pathways on pristine SOFC cathode surfaces by PLD impedance spectroscopy.

作者信息

Siebenhofer Matthäus, Riedl Christoph, Schmid Alexander, Limbeck Andreas, Opitz Alexander Karl, Fleig Jürgen, Kubicek Markus

机构信息

Institute of Chemical Technologies and Analytics, TU Wien Vienna Austria

CEST Centre of Electrochemistry and Surface Technology Wr. Neustadt Austria.

出版信息

J Mater Chem A Mater. 2021 Nov 5;10(5):2305-2319. doi: 10.1039/d1ta07128a. eCollection 2022 Feb 1.

DOI:10.1039/d1ta07128a
PMID:35223039
原文链接:https://pmc.ncbi.nlm.nih.gov/articles/PMC8805794/
Abstract

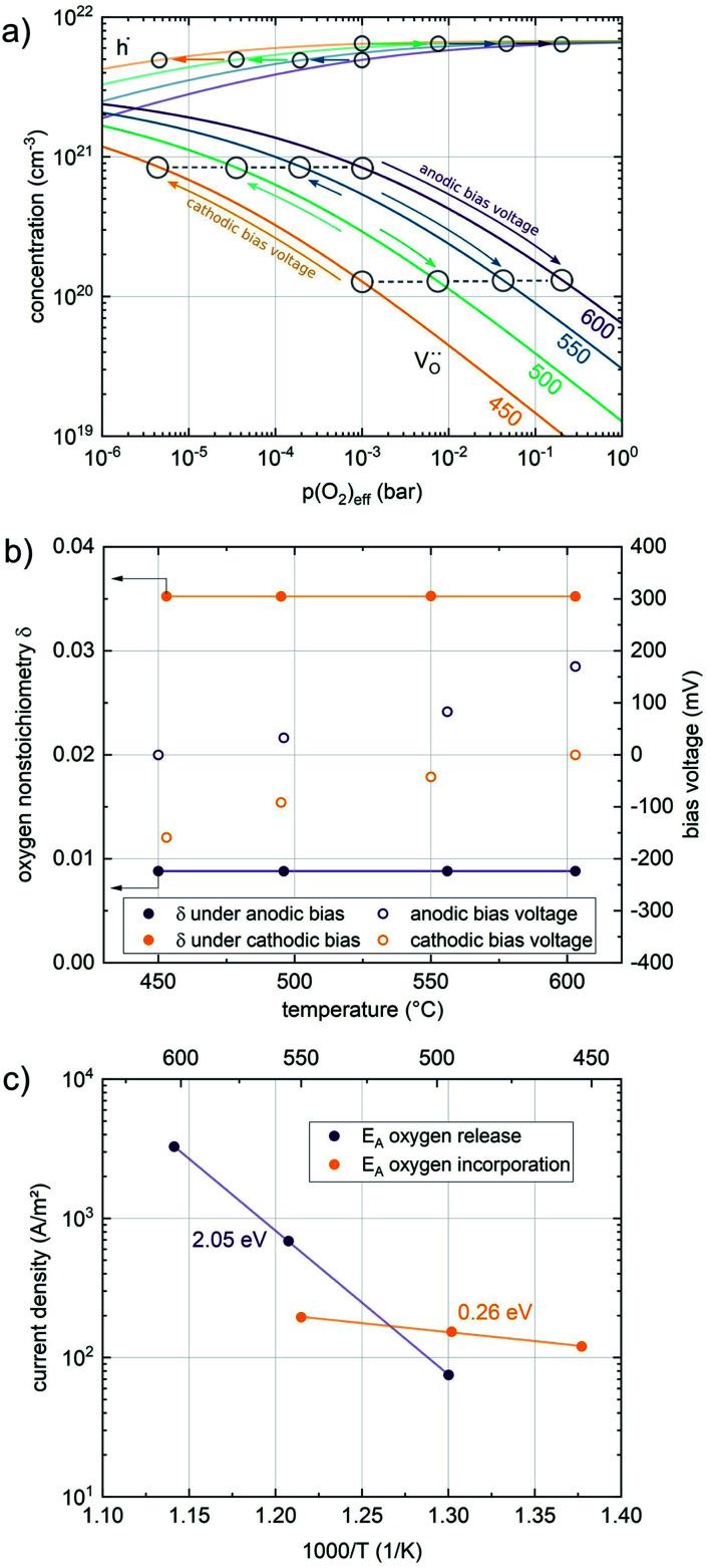
The oxygen exchange reaction mechanism on truly pristine surfaces of SOFC cathode materials (LaSrCoO = LSC, LaSrFeO = LSF, (LaSr)PtFeO = Pt:LSF, SrTiFeO = STF, PrCeO = PCO and LaSrMnO = LSM) was investigated employing impedance spectroscopy during pulsed laser deposition (i-PLD) over a wide temperature and (O) range. Besides demonstrating the often astonishing catalytic capabilities of the materials, it is possible to discuss the oxygen exchange reaction mechanism based on experiments on clean surfaces unaltered by external degradation processes. All investigated materials with at least moderate ionic conductivity ( all except LSM) exhibit polarization resistances with very similar (O)- and -dependences, mostly differing only in absolute value. In combination with non-equilibrium measurements under polarization and defect chemical model calculations, these results elucidate several aspects of the oxygen exchange reaction mechanism and refine the understanding of the role oxygen vacancies and electronic charge carriers play in the oxygen exchange reaction. It was found that a major part of the effective activation energy of the surface exchange reaction, which is observed during equilibrium measurements, originates from thermally activated charge carrier concentrations. Electrode polarization was therefore used to control defect concentrations and to extract concentration amended activation energies, which prove to be drastically different for oxygen incorporation and evolution (0.26 2.05 eV for LSF).

摘要

在脉冲激光沉积(i-PLD)过程中,利用阻抗谱在较宽的温度和(氧)范围下研究了固体氧化物燃料电池(SOFC)阴极材料(LaSrCoO = LSC、LaSrFeO = LSF、(LaSr)PtFeO = Pt:LSF、SrTiFeO = STF、PrCeO = PCO和LaSrMnO = LSM)真正原始表面上的氧交换反应机理。除了展示这些材料通常令人惊讶的催化能力外,还能够基于对未受外部降解过程影响的清洁表面的实验来讨论氧交换反应机理。所有研究的具有至少适度离子电导率的材料(除LSM外的所有材料)都表现出具有非常相似的(氧)和(温度)依赖性的极化电阻,主要仅在绝对值上有所不同。结合极化下的非平衡测量和缺陷化学模型计算,这些结果阐明了氧交换反应机理的几个方面,并完善了对氧空位和电子载流子在氧交换反应中所起作用的理解。研究发现,在平衡测量中观察到的表面交换反应的有效活化能的主要部分源自热激活的载流子浓度。因此,利用电极极化来控制缺陷浓度并提取浓度修正的活化能,结果表明氧掺入和析出的活化能差异很大(LSF为0.26至2.05电子伏特)。

https://cdn.ncbi.nlm.nih.gov/pmc/blobs/703e/8805794/54004395760a/d1ta07128a-f10.jpg
https://cdn.ncbi.nlm.nih.gov/pmc/blobs/703e/8805794/0725d3382d0a/d1ta07128a-f1.jpg
https://cdn.ncbi.nlm.nih.gov/pmc/blobs/703e/8805794/dbbaf651e360/d1ta07128a-f2.jpg
https://cdn.ncbi.nlm.nih.gov/pmc/blobs/703e/8805794/2fbb530f6729/d1ta07128a-f3.jpg
https://cdn.ncbi.nlm.nih.gov/pmc/blobs/703e/8805794/4ddb0aea0772/d1ta07128a-f4.jpg
https://cdn.ncbi.nlm.nih.gov/pmc/blobs/703e/8805794/76d3bb4495e6/d1ta07128a-f5.jpg
https://cdn.ncbi.nlm.nih.gov/pmc/blobs/703e/8805794/f6b3798c7151/d1ta07128a-f6.jpg
https://cdn.ncbi.nlm.nih.gov/pmc/blobs/703e/8805794/9cdb9571ae31/d1ta07128a-f7.jpg
https://cdn.ncbi.nlm.nih.gov/pmc/blobs/703e/8805794/78914d396b98/d1ta07128a-f8.jpg
https://cdn.ncbi.nlm.nih.gov/pmc/blobs/703e/8805794/88020ff883b6/d1ta07128a-f9.jpg
https://cdn.ncbi.nlm.nih.gov/pmc/blobs/703e/8805794/54004395760a/d1ta07128a-f10.jpg
https://cdn.ncbi.nlm.nih.gov/pmc/blobs/703e/8805794/0725d3382d0a/d1ta07128a-f1.jpg
https://cdn.ncbi.nlm.nih.gov/pmc/blobs/703e/8805794/dbbaf651e360/d1ta07128a-f2.jpg
https://cdn.ncbi.nlm.nih.gov/pmc/blobs/703e/8805794/2fbb530f6729/d1ta07128a-f3.jpg
https://cdn.ncbi.nlm.nih.gov/pmc/blobs/703e/8805794/4ddb0aea0772/d1ta07128a-f4.jpg
https://cdn.ncbi.nlm.nih.gov/pmc/blobs/703e/8805794/76d3bb4495e6/d1ta07128a-f5.jpg
https://cdn.ncbi.nlm.nih.gov/pmc/blobs/703e/8805794/f6b3798c7151/d1ta07128a-f6.jpg
https://cdn.ncbi.nlm.nih.gov/pmc/blobs/703e/8805794/9cdb9571ae31/d1ta07128a-f7.jpg
https://cdn.ncbi.nlm.nih.gov/pmc/blobs/703e/8805794/78914d396b98/d1ta07128a-f8.jpg
https://cdn.ncbi.nlm.nih.gov/pmc/blobs/703e/8805794/88020ff883b6/d1ta07128a-f9.jpg
https://cdn.ncbi.nlm.nih.gov/pmc/blobs/703e/8805794/54004395760a/d1ta07128a-f10.jpg

相似文献

1
Investigating oxygen reduction pathways on pristine SOFC cathode surfaces by PLD impedance spectroscopy.通过脉冲激光沉积阻抗谱研究原始固体氧化物燃料电池阴极表面的氧还原途径。
J Mater Chem A Mater. 2021 Nov 5;10(5):2305-2319. doi: 10.1039/d1ta07128a. eCollection 2022 Feb 1.
2
electrochemical observation of anisotropic lattice contraction of LaSrFeO electrodes during pulsed laser deposition.脉冲激光沉积过程中 LaSrFeO 电极各向异性晶格收缩的电化学观测。
Phys Chem Chem Phys. 2022 Dec 21;25(1):142-153. doi: 10.1039/d2cp04977e.
3
In Situ Impedance Analysis of Oxygen Exchange on Growing LaSrCoO Thin Films.生长中的LaSrCoO薄膜上氧交换的原位阻抗分析。
ACS Appl Energy Mater. 2018 Sep 24;1(9):4522-4535. doi: 10.1021/acsaem.8b00586. Epub 2018 Aug 20.
4
Ambient Pressure XPS Study of Mixed Conducting Perovskite-Type SOFC Cathode and Anode Materials under Well-Defined Electrochemical Polarization.在明确的电化学极化条件下对混合导电钙钛矿型固体氧化物燃料电池阴极和阳极材料进行的环境压力X射线光电子能谱研究。
J Phys Chem C Nanomater Interfaces. 2016 Jan 28;120(3):1461-1471. doi: 10.1021/acs.jpcc.5b08596. Epub 2015 Dec 17.
5
The Chemical Evolution of the LaSrCoO Surface Under SOFC Operating Conditions and Its Implications for Electrochemical Oxygen Exchange Activity.固体氧化物燃料电池运行条件下LaSrCoO表面的化学演化及其对电化学氧交换活性的影响
Top Catal. 2018;61(20):2129-2141. doi: 10.1007/s11244-018-1068-1. Epub 2018 Oct 20.
6
techniques reveal the true capabilities of SOFC cathode materials and their sudden degradation due to omnipresent sulfur trace impurities.技术揭示了固体氧化物燃料电池(SOFC)阴极材料的真实性能以及它们因普遍存在的硫痕量杂质而突然降解的情况。
J Mater Chem A Mater. 2022 Jun 23;10(28):14838-14848. doi: 10.1039/d2ta03335f. eCollection 2022 Jul 19.
7
Improving and degrading the oxygen exchange kinetics of LaSrCoO by Sr decoration.通过锶修饰改善和降低LaSrCoO的氧交换动力学。
J Mater Chem A Mater. 2023 Feb 13;11(24):12827-12836. doi: 10.1039/d2ta09362f. eCollection 2023 Jun 20.
8
Crystal-Orientation-Dependent Oxygen Exchange Kinetics on Mixed Conducting Thin-Film Surfaces Investigated by Studies.通过研究对混合导电薄膜表面上与晶体取向相关的氧交换动力学进行研究。
ACS Appl Energy Mater. 2023 Jun 13;6(12):6712-6720. doi: 10.1021/acsaem.3c00870. eCollection 2023 Jun 26.
9
Water-Induced Decoupling of Tracer and Electrochemical Oxygen Exchange Kinetics on Mixed Conducting Electrodes.混合导电电极上示踪剂与电化学氧交换动力学的水致解耦
J Phys Chem Lett. 2016 Jul 21;7(14):2826-31. doi: 10.1021/acs.jpclett.6b00778. Epub 2016 Jul 13.
10
Performance modulation through selective, homogenous surface doping of lanthanum strontium ferrite electrodes revealed by PLD impedance measurements.通过脉冲激光沉积阻抗测量揭示的镧锶铁氧体电极选择性、均匀表面掺杂对性能的调制。
J Mater Chem A Mater. 2021 Dec 3;10(6):2973-2986. doi: 10.1039/d1ta08634k. eCollection 2022 Feb 8.

引用本文的文献

1
Reducibility, adsorption energies, surface acidity - fundamental material properties for fast oxygen exchange.可还原性、吸附能、表面酸度——快速氧交换的基本材料特性。
J Mater Chem A Mater. 2025 Aug 20. doi: 10.1039/d5ta05637c.
2
Engineering surface dipoles on mixed conducting oxides with ultra-thin oxide decoration layers.通过超薄氧化物装饰层在混合导电氧化物上设计表面偶极子。
Nat Commun. 2024 Feb 26;15(1):1730. doi: 10.1038/s41467-024-45824-9.
3
Crystal-Orientation-Dependent Oxygen Exchange Kinetics on Mixed Conducting Thin-Film Surfaces Investigated by Studies.

本文引用的文献

1
Structural investigations of LaSrFeO under reducing conditions: kinetic and thermodynamic limitations for phase transformations and iron exsolution phenomena.还原条件下LaSrFeO的结构研究:相变和铁析出现象的动力学和热力学限制
RSC Adv. 2018 Jan 15;8(6):3120-3131. doi: 10.1039/c7ra12309d. eCollection 2018 Jan 12.
2
Correlating Surface Crystal Orientation and Gas Kinetics in Perovskite Oxide Electrodes.钙钛矿氧化物电极中表面晶体取向与气体动力学的关联
Adv Mater. 2021 May;33(20):e2100977. doi: 10.1002/adma.202100977. Epub 2021 Apr 8.
3
Factors controlling surface oxygen exchange in oxides.
通过研究对混合导电薄膜表面上与晶体取向相关的氧交换动力学进行研究。
ACS Appl Energy Mater. 2023 Jun 13;6(12):6712-6720. doi: 10.1021/acsaem.3c00870. eCollection 2023 Jun 26.
4
Improving and degrading the oxygen exchange kinetics of LaSrCoO by Sr decoration.通过锶修饰改善和降低LaSrCoO的氧交换动力学。
J Mater Chem A Mater. 2023 Feb 13;11(24):12827-12836. doi: 10.1039/d2ta09362f. eCollection 2023 Jun 20.
5
Surface Decorations on Mixed Ionic and Electronic Conductors: Effects on Surface Potential, Defects, and the Oxygen Exchange Kinetics.混合离子和电子导体的表面修饰:对表面电势、缺陷和氧交换动力学的影响。
ACS Appl Mater Interfaces. 2023 Jun 7;15(22):26787-26798. doi: 10.1021/acsami.3c03952. Epub 2023 May 22.
6
Electronic and ionic effects of sulphur and other acidic adsorbates on the surface of an SOFC cathode material.硫及其他酸性吸附质对固体氧化物燃料电池阴极材料表面的电子和离子效应。
J Mater Chem A Mater. 2023 Mar 15;11(13):7213-7226. doi: 10.1039/d3ta00978e. eCollection 2023 Mar 28.
7
Closed-Pore Formation in Oxygen Electrodes for Solid Oxide Electrolysis Cells Investigated by Impedance Spectroscopy.采用阻抗谱研究固体氧化物电解池氧电极中的闭孔形成。
ACS Appl Mater Interfaces. 2023 Feb 15;15(6):8076-8092. doi: 10.1021/acsami.2c20731. Epub 2023 Feb 2.
8
electrochemical observation of anisotropic lattice contraction of LaSrFeO electrodes during pulsed laser deposition.脉冲激光沉积过程中 LaSrFeO 电极各向异性晶格收缩的电化学观测。
Phys Chem Chem Phys. 2022 Dec 21;25(1):142-153. doi: 10.1039/d2cp04977e.
9
techniques reveal the true capabilities of SOFC cathode materials and their sudden degradation due to omnipresent sulfur trace impurities.技术揭示了固体氧化物燃料电池(SOFC)阴极材料的真实性能以及它们因普遍存在的硫痕量杂质而突然降解的情况。
J Mater Chem A Mater. 2022 Jun 23;10(28):14838-14848. doi: 10.1039/d2ta03335f. eCollection 2022 Jul 19.
10
Formation and Detection of High-Pressure Oxygen in Closed Pores of LaSrCoO Solid Oxide Electrolysis Anodes.镧锶钴氧固体氧化物电解阳极封闭孔隙中高压氧的形成与检测
ACS Appl Energy Mater. 2022 Jul 25;5(7):8324-8335. doi: 10.1021/acsaem.2c00888. Epub 2022 Jun 23.
控制氧化物表面氧交换的因素。
Nat Commun. 2019 Mar 22;10(1):1346. doi: 10.1038/s41467-019-08674-4.
4
In Situ Impedance Analysis of Oxygen Exchange on Growing LaSrCoO Thin Films.生长中的LaSrCoO薄膜上氧交换的原位阻抗分析。
ACS Appl Energy Mater. 2018 Sep 24;1(9):4522-4535. doi: 10.1021/acsaem.8b00586. Epub 2018 Aug 20.
5
How To Get Mechanistic Information from Partial Pressure-Dependent Current-Voltage Measurements of Oxygen Exchange on Mixed Conducting Electrodes.如何从混合导电电极上氧交换的分压相关电流-电压测量中获取机理信息。
Chem Mater. 2018 Jul 10;30(13):4242-4252. doi: 10.1021/acs.chemmater.8b00597. Epub 2018 Jun 4.
6
Voltage and partial pressure dependent defect chemistry in (La,Sr)FeO thin films investigated by chemical capacitance measurements.通过化学电容测量研究(La,Sr)FeO 薄膜中的电压和分压相关缺陷化学。
Phys Chem Chem Phys. 2018 May 3;20(17):12016-12026. doi: 10.1039/c7cp07845e.
7
Electronic properties and surface reactivity of SrO-terminated SrTiO and SrO-terminated iron-doped SrTiO.以SrO为端的SrTiO₃以及以SrO为端的铁掺杂SrTiO₃的电子性质和表面反应活性
Sci Technol Adv Mater. 2018 Mar 2;19(1):221-230. doi: 10.1080/14686996.2018.1440136. eCollection 2018.
8
Real-time impedance monitoring of oxygen reduction during surface modification of thin film cathodes.薄膜阴极表面改性过程中氧还原的实时阻抗监测
Nat Mater. 2017 Jun;16(6):640-645. doi: 10.1038/nmat4879. Epub 2017 Mar 27.
9
Oxygen diffusion and surface exchange in the mixed conducting oxides SrTiFeO.混合导电氧化物SrTiFeO中的氧扩散与表面交换
Phys Chem Chem Phys. 2016 Oct 26;18(42):29495-29505. doi: 10.1039/c6cp05756j.
10
Fast oxygen exchange and diffusion kinetics of grain boundaries in Sr-doped LaMnO3 thin films.掺锶的LaMnO₃薄膜中晶界的快速氧交换和扩散动力学
Phys Chem Chem Phys. 2015 Mar 28;17(12):7659-69. doi: 10.1039/c4cp05421k.