Suppr超能文献

基于生物启发式机器学习方法的脑-机接口开发中脑电图信号的分类。

Classification of Electroencephalogram Signal for Developing Brain-Computer Interface Using Bioinspired Machine Learning Approach.

机构信息

Department of Electronics and Instrumentation Engineering, Karpagam College of Engineering, Coimbatore, India.

School of Computing, Kalasalingam Academy of Research and Education, Virudhunagar, India.

出版信息

Comput Intell Neurosci. 2022 Feb 25;2022:4487254. doi: 10.1155/2022/4487254. eCollection 2022.

Abstract

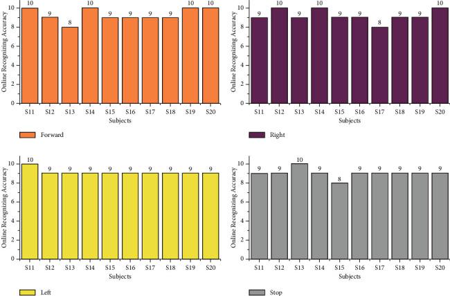
Transforming human intentions into patterns to direct the devices connected externally without any body movements is called Brain-Computer Interface (BCI). It is specially designed for rehabilitation patients to overcome their disabilities. Electroencephalogram (EEG) signal is one of the famous tools to operate such devices. In this study, we planned to conduct our research with twenty subjects from different age groups from 20 to 28 and 29 to 40 using three-electrode systems to analyze the performance for developing a mobile robot for navigation using band power features and neural network architecture trained with a bioinspired algorithm. From the experiment, we recognized that the maximum classification performance was 94.66% for the young group and the minimum classification performance was 94.18% for the adult group. We conducted a recognizing accuracy test for the two contrasting age groups to interpret the individual performances. The study proved that the recognition accuracy was maximum for the young group and minimum for the adult group. Through the graphical user interface, we conducted an online test for the young and adult groups. From the online test, the same young-aged people performed highly and actively with an average accuracy of 94.00% compared with the adult people whose performance was 92.00%. From this experiment, we concluded that, due to the age factor, the signal generated by the subjects decreased slightly.

摘要

将人类的意图转化为模式,无需任何身体运动即可控制外部连接的设备,这种技术被称为脑机接口(BCI)。它是专门为康复患者设计的,旨在帮助他们克服残疾。脑电图(EEG)信号是操作此类设备的一种著名工具。在这项研究中,我们计划使用三电极系统对来自不同年龄组的 20 名受试者进行研究,年龄组分别为 20 至 28 岁和 29 至 40 岁,以分析使用频段功率特征和经过生物启发算法训练的神经网络架构开发用于导航的移动机器人的性能。通过实验,我们发现年轻组的最大分类性能为 94.66%,而成年组的最小分类性能为 94.18%。我们对两个年龄组进行了识别准确率测试,以解释个体表现。研究表明,年轻组的识别准确率最高,成年组的识别准确率最低。通过图形用户界面,我们对年轻组和成年组进行了在线测试。从在线测试中可以看出,与成年组的平均准确率 92.00%相比,年轻组的表现非常出色,平均准确率为 94.00%。通过这项实验,我们得出结论,由于年龄因素,受试者产生的信号略有下降。

https://cdn.ncbi.nlm.nih.gov/pmc/blobs/1786/8896945/d3f6195f4684/CIN2022-4487254.001.jpg

文献AI研究员

20分钟写一篇综述,助力文献阅读效率提升50倍。

立即体验

用中文搜PubMed

大模型驱动的PubMed中文搜索引擎

马上搜索

文档翻译

学术文献翻译模型,支持多种主流文档格式。

立即体验