Jin Zhipeng, Sun Dongxu, Song Mengying, Zhu Wenjing, Liu Huayuan, Wang Jianping, Shi Guangjun
Department of Hepatobiliary Surgery, Qingdao Municipal Hospital, Qingdao, China.
Department of Operation Room, Cancer Hospital of China Medical University, Shenyang, China.
J Oncol. 2022 Feb 23;2022:5758601. doi: 10.1155/2022/5758601. eCollection 2022.
The homeobox (HOX) gene family has been found to be involved in human cancers. However, its involvement in hepatocellular carcinoma (HCC) has not been well documented. Here, we comprehensively evaluated the role of HOXs in HCC.
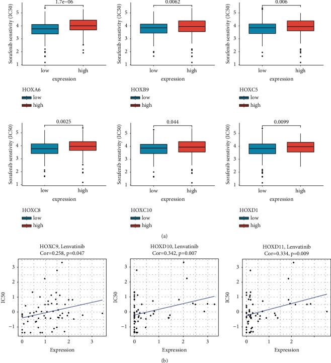
RNA sequencing profile of TCGA-LIHC and LIRI-JP were obtained from the Cancer Genome Atlas (TCGA) and the International Cancer Genome Consortium (ICGC), respectively. Data of TCGA-LIHC methylation were downloaded from UCSC Xena. Genetic alteration data for the TCGA samples was obtained from cBioPortal and GSCA. The diagnostic efficiency was assessed using ROC curves. The prognostic significance was evaluated by the Kaplan-Meier method and Cox regression analysis. Subsequent functional analysis was performed through the clusterProfiler package. ssGSEA, ESTIMATE, and TIDE algorithms were employed to explore the relationship between HOXs and the HCC microenvironment. Finally, pRRophetic package and NCI-60 cancerous cell lines were applied to estimate anticancer drug sensitivity.
The mRNA levels of HOXs in HCC tissues were higher than those of noncancerous tissues and were correlated with poor overall survival (OS). HOXA6, C6, D9, D10, and D13 could serve as independent risk factors for OS. Further functional analysis revealed that these five HOXs regulate the cell proliferation, cell cycle, immune response, and microenvironment composition of HCC. In addition, the aberrant expression and methylation of HOXs is of great value in the diagnosis of HCC.
HOXs play crucial roles in HCC and could serve as potential markers for HCC diagnosis and prognosis.
已发现同源框(HOX)基因家族与人类癌症有关。然而,其在肝细胞癌(HCC)中的作用尚未得到充分记录。在此,我们全面评估了HOXs在HCC中的作用。
分别从癌症基因组图谱(TCGA)和国际癌症基因组联盟(ICGC)获得TCGA-LIHC和LIRI-JP的RNA测序数据。TCGA-LIHC甲基化数据从UCSC Xena下载。TCGA样本的基因改变数据从cBioPortal和GSCA获得。使用ROC曲线评估诊断效率。通过Kaplan-Meier法和Cox回归分析评估预后意义。随后通过clusterProfiler软件包进行功能分析。采用ssGSEA、ESTIMATE和TIDE算法探讨HOXs与HCC微环境之间的关系。最后,应用pRRophetic软件包和NCI-60癌细胞系评估抗癌药物敏感性。
HCC组织中HOXs的mRNA水平高于非癌组织,且与总体生存期(OS)较差相关。HOXA6、C6、D9、D10和D13可作为OS的独立危险因素。进一步的功能分析表明,这五个HOXs调节HCC的细胞增殖、细胞周期、免疫反应和微环境组成。此外,HOXs的异常表达和甲基化在HCC诊断中具有重要价值。
HOXs在HCC中起关键作用,可作为HCC诊断和预后的潜在标志物。