• 文献检索
  • 文档翻译
  • 深度研究
  • 学术资讯
  • Suppr Zotero 插件Zotero 插件
  • 邀请有礼
  • 套餐&价格
  • 历史记录
应用&插件
Suppr Zotero 插件Zotero 插件浏览器插件Mac 客户端Windows 客户端微信小程序
定价
高级版会员购买积分包购买API积分包
服务
文献检索文档翻译深度研究API 文档MCP 服务
关于我们
关于 Suppr公司介绍联系我们用户协议隐私条款
关注我们

Suppr 超能文献

核心技术专利:CN118964589B侵权必究
粤ICP备2023148730 号-1Suppr @ 2026

文献检索

告别复杂PubMed语法,用中文像聊天一样搜索,搜遍4000万医学文献。AI智能推荐,让科研检索更轻松。

立即免费搜索

文件翻译

保留排版,准确专业,支持PDF/Word/PPT等文件格式,支持 12+语言互译。

免费翻译文档

深度研究

AI帮你快速写综述,25分钟生成高质量综述,智能提取关键信息,辅助科研写作。

立即免费体验

循环 SIRT1 和骨硬化蛋白与不同肥胖程度年轻女性的骨状态相关。

Circulating SIRT1 and Sclerostin Correlates with Bone Status in Young Women with Different Degrees of Adiposity.

机构信息

Department of Molecular Medicine, "Sapienza" University of Rome, 00161 Rome, Italy.

Department of Experimental Medicine, Section of Medical Physiopathology, Food Science and Endocrinology, "Sapienza" University of Rome, 00161 Rome, Italy.

出版信息

Nutrients. 2022 Feb 25;14(5):983. doi: 10.3390/nu14050983.

DOI:10.3390/nu14050983
PMID:35267956
原文链接:https://pmc.ncbi.nlm.nih.gov/articles/PMC8912833/
Abstract

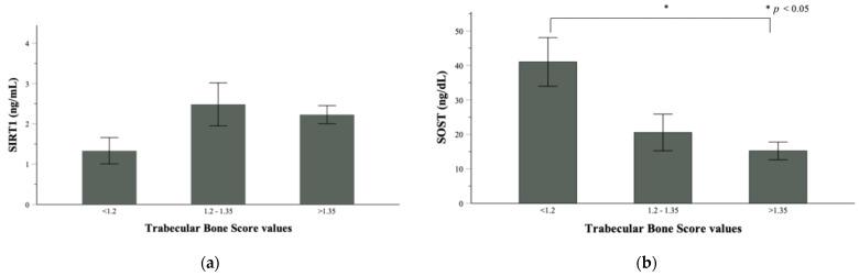
Sirtuin1 (SIRT1) and sclerostin play important roles in adipose tissue and bone metabolism. We evaluated the circulating SIRT1 and sclerostin relationship with mass and quality of bone while considering the degree of adiposity. Sixty-six premenopausal women (16 underweight, 25 normal weight and 25 with obesity), aged <50 years, were enrolled. Plasma SIRT1, sclerostin and DXA body composition (total fat mass (FM), abdominal visceral adipose tissue, lean mass, trabecular bone score (TBS) and lumbar spine and femoral neck (FN) bone mineral density (BMD)) were assessed. The patients with obesity showed the lowest SIRT1 and TBS values and the highest sclerostin concentrations; BMD increased with FM and BMI and had an inverse association with SIRT1. Sclerostin was negatively correlated with SIRT1 (ρ = −0.37, p = 0.002). When spine BMD, FN BMD and TBS were standardized for BMI, a positive correlation with SIRT1 and a negative correlation with sclerostin were seen (p < 0.005). In the regression analysis, sclerostin was the best independent, negative predictor for BMD and TBS, while SIRT1 directly predicted TBS (p < 0.05). In conclusion, blood measurement of SIRT1 and sclerostin could represent a snapshot of the bone status that, taking into account the degree of adiposity, may reduce the interference of confounding factors in the interpretation of bone health parameters.

摘要

Sirtuin1 (SIRT1) 和骨硬化蛋白在脂肪组织和骨骼代谢中发挥重要作用。我们评估了循环 SIRT1 和骨硬化蛋白与骨量和骨质量的关系,同时考虑了肥胖程度。共纳入 66 名绝经前妇女(16 名体重不足、25 名体重正常和 25 名肥胖),年龄<50 岁。评估了血浆 SIRT1、骨硬化蛋白和 DXA 体成分(总脂肪量 (FM)、腹部内脏脂肪组织、瘦体重、骨小梁评分 (TBS) 和腰椎及股骨颈 (FN) 骨密度 (BMD))。肥胖患者的 SIRT1 和 TBS 值最低,骨硬化蛋白浓度最高;BMD 随 FM 和 BMI 增加而增加,与 SIRT1 呈负相关。骨硬化蛋白与 SIRT1 呈负相关 (ρ = −0.37, p = 0.002)。当脊柱 BMD、FN BMD 和 TBS 按 BMI 标准化时,与 SIRT1 呈正相关,与骨硬化蛋白呈负相关(p<0.005)。在回归分析中,骨硬化蛋白是 BMD 和 TBS 的最佳独立负预测因子,而 SIRT1 直接预测 TBS(p<0.05)。总之,SIRT1 和骨硬化蛋白的血液测量可以代表骨骼状况的快照,考虑到肥胖程度,可以减少对骨健康参数解释的混杂因素的干扰。

https://cdn.ncbi.nlm.nih.gov/pmc/blobs/9e32/8912833/8a5b9149d0fd/nutrients-14-00983-g003.jpg
https://cdn.ncbi.nlm.nih.gov/pmc/blobs/9e32/8912833/7795a60ffd3f/nutrients-14-00983-g001.jpg
https://cdn.ncbi.nlm.nih.gov/pmc/blobs/9e32/8912833/be09ff9dbb48/nutrients-14-00983-g002.jpg
https://cdn.ncbi.nlm.nih.gov/pmc/blobs/9e32/8912833/8a5b9149d0fd/nutrients-14-00983-g003.jpg
https://cdn.ncbi.nlm.nih.gov/pmc/blobs/9e32/8912833/7795a60ffd3f/nutrients-14-00983-g001.jpg
https://cdn.ncbi.nlm.nih.gov/pmc/blobs/9e32/8912833/be09ff9dbb48/nutrients-14-00983-g002.jpg
https://cdn.ncbi.nlm.nih.gov/pmc/blobs/9e32/8912833/8a5b9149d0fd/nutrients-14-00983-g003.jpg

相似文献

1
Circulating SIRT1 and Sclerostin Correlates with Bone Status in Young Women with Different Degrees of Adiposity.循环 SIRT1 和骨硬化蛋白与不同肥胖程度年轻女性的骨状态相关。
Nutrients. 2022 Feb 25;14(5):983. doi: 10.3390/nu14050983.
2
Body composition predictors of skeletal integrity in obesity.肥胖症中骨骼完整性的身体成分预测指标
Skeletal Radiol. 2016 Jun;45(6):813-9. doi: 10.1007/s00256-016-2363-1. Epub 2016 Mar 16.
3
Trabecular bone score of postmenopausal women is positively correlated with bone mineral density and negatively correlated with age and body mass index.绝经后妇女的小梁骨评分与骨密度呈正相关,与年龄和体重指数呈负相关。
Menopause. 2019 Oct;26(10):1166-1170. doi: 10.1097/GME.0000000000001375.
4
Association of serum sclerostin levels with marrow adiposity in postmenopausal women with glucocorticoid-induced osteoporosis.绝经后糖皮质激素性骨质疏松症患者血清骨硬化蛋白水平与骨髓脂肪含量的相关性。
BMC Endocr Disord. 2024 Apr 28;24(1):55. doi: 10.1186/s12902-024-01591-8.
5
Reduced Sirtuin1 expression at the femoral neck in women who sustained an osteoporotic hip fracture.骨质疏松性髋部骨折女性患者股骨颈处沉默调节蛋白1表达降低。
Osteoporos Int. 2016 Jul;27(7):2373-2378. doi: 10.1007/s00198-016-3536-4. Epub 2016 Feb 22.
6
Trabecular bone score in healthy ageing.健康老龄化中的小梁骨评分
Br J Radiol. 2015 Aug;88(1052):20140865. doi: 10.1259/bjr.20140865.
7
Relationships between Circulating Sclerostin, Bone Marrow Adiposity, Other Adipose Deposits and Lean Mass in Post-Menopausal Women.绝经后妇女循环骨硬化素与骨髓脂肪、其他脂肪沉积和瘦体重的关系。
Int J Mol Sci. 2023 Mar 21;24(6):5922. doi: 10.3390/ijms24065922.
8
The relationship between adiposity, bone density and microarchitecture is maintained in young women irrespective of diabetes status.肥胖、骨密度和微结构之间的关系在年轻女性中保持不变,无论其糖尿病状况如何。
Clin Endocrinol (Oxf). 2017 Oct;87(4):327-335. doi: 10.1111/cen.13410. Epub 2017 Aug 4.
9
Cross-sectional associations between adipose tissue depots and areal bone mineral density in the UK Biobank imaging study.英国生物库影像学研究中脂肪组织蓄积与面积骨密度的横断面相关性。
Osteoporos Int. 2022 Feb;33(2):391-402. doi: 10.1007/s00198-021-06140-w. Epub 2021 Sep 6.
10
Relationship between visceral adipose tissue and bone mineral density in Australian baby boomers.澳大利亚婴儿潮一代内脏脂肪组织与骨密度的关系。
Osteoporos Int. 2020 Dec;31(12):2439-2448. doi: 10.1007/s00198-020-05556-0. Epub 2020 Jul 27.

引用本文的文献

1
Epicardial fat thickness is increased in menopausal patients in comparison with premenopausal patients with similar excess weight: a cross-sectional study.与体重超重程度相似的绝经前患者相比,绝经患者的心外膜脂肪厚度增加:一项横断面研究。
J Transl Med. 2025 Apr 4;23(1):401. doi: 10.1186/s12967-025-06335-3.
2
Bone Quality Indices Correlate with Growth Hormone Secretory Capacity in Women Affected by Weight Excess: A Cross-Sectional Study.骨质量指标与体重超标女性的生长激素分泌能力相关:一项横断面研究。
J Clin Med. 2024 Aug 27;13(17):5064. doi: 10.3390/jcm13175064.
3
Regulatory Effect of Osteocytes on Extramedullary and Bone Marrow Adipose Tissue Development and Function.

本文引用的文献

1
Theoretical evidence of osteoblast self-inhibition after activation of the genetic regulatory network controlling mineralization.理论证据表明,控制矿化的遗传调控网络激活后,成骨细胞会自我抑制。
J Theor Biol. 2022 Mar 21;537:111005. doi: 10.1016/j.jtbi.2022.111005. Epub 2022 Jan 12.
2
Impact of Dietary Modifications on Plasma Sirtuins 1, 3 and 5 in Older Overweight Individuals Undergoing 12-Weeks of Circuit Training.饮食调整对进行12周循环训练的老年超重个体血浆沉默调节蛋白1、3和5的影响
Nutrients. 2021 Oct 27;13(11):3824. doi: 10.3390/nu13113824.
3
Physiologic Mechanical Stress Directly Induces Bone Formation by Activating Glucose Transporter 1 (Glut 1) in Osteoblasts, Inducing Signaling via NAD+-Dependent Deacetylase (Sirtuin 1) and Runt-Related Transcription Factor 2 (Runx2).
破骨细胞对骨髓外和骨髓脂肪组织发育和功能的调控作用。
Curr Osteoporos Rep. 2024 Jun;22(3):301-307. doi: 10.1007/s11914-024-00871-5. Epub 2024 Apr 16.
4
Urinary Calcium Is Associated with Serum Sclerostin among Stone Formers.在结石形成者中,尿钙与血清硬化蛋白相关。
J Clin Med. 2023 Jul 31;12(15):5027. doi: 10.3390/jcm12155027.
5
Ketogenic Diet Increases Serum and White Adipose Tissue SIRT1 Expression in Mice.生酮饮食可增加小鼠血清和白色脂肪组织中 SIRT1 的表达。
Int J Mol Sci. 2022 Dec 13;23(24):15860. doi: 10.3390/ijms232415860.
6
Ketone Bodies and SIRT1, Synergic Epigenetic Regulators for Metabolic Health: A Narrative Review.酮体和 SIRT1:代谢健康的协同表观遗传调节剂:叙述性综述。
Nutrients. 2022 Jul 30;14(15):3145. doi: 10.3390/nu14153145.
生理机械应力通过激活成骨细胞中的葡萄糖转运蛋白 1(Glut1),诱导 NAD+依赖的去乙酰化酶(Sirtuin 1)和 runt 相关转录因子 2(Runx2)信号转导,直接诱导骨形成。
Int J Mol Sci. 2021 Aug 23;22(16):9070. doi: 10.3390/ijms22169070.
4
Relationships of Bone Mineral Variables with Body Composition, Blood Hormones and Training Volume in Adolescent Female Athletes with Different Loading Patterns.青少年女性运动员不同负荷模式下骨矿物质变量与身体成分、血液激素和训练量的关系。
Int J Environ Res Public Health. 2021 Jun 18;18(12):6571. doi: 10.3390/ijerph18126571.
5
Application of the Trabecular Bone Score in Clinical Practice.小梁骨评分在临床实践中的应用。
J Bone Metab. 2021 May;28(2):101-113. doi: 10.11005/jbm.2021.28.2.101. Epub 2021 May 31.
6
Association between obesity and risk of fracture, bone mineral density and bone quality in adults: A systematic review and meta-analysis.肥胖与成年人骨折风险、骨密度和骨质量的关系:系统评价和荟萃分析。
PLoS One. 2021 Jun 8;16(6):e0252487. doi: 10.1371/journal.pone.0252487. eCollection 2021.
7
Distinct Effects of a High Fat Diet on Bone in Skeletally Mature and Developing Male C57BL/6J Mice.高脂饮食对骨骼成熟和发育中的雄性 C57BL/6J 小鼠的不同影响。
Nutrients. 2021 May 14;13(5):1666. doi: 10.3390/nu13051666.
8
Development of selective bispecific Wnt mimetics for bone loss and repair.开发用于骨丢失和修复的选择性双特异性 Wnt 模拟物。
Nat Commun. 2021 May 31;12(1):3247. doi: 10.1038/s41467-021-23374-8.
9
Modification of bone mineral density, bone geometry and volumetric BMD in young women with obesity.肥胖年轻女性的骨密度、骨几何结构和体积 BMD 的改变。
Bone. 2021 Sep;150:116005. doi: 10.1016/j.bone.2021.116005. Epub 2021 May 14.
10
Bone mineral density at extremely low weight in patients with anorexia nervosa.神经性厌食症患者极低体重时的骨密度。
Clin Endocrinol (Oxf). 2021 Sep;95(3):423-429. doi: 10.1111/cen.14498. Epub 2021 May 30.