Suppr超能文献

一种用于表征高介电常数和高介电损耗液体材料的传感器。

A Sensor for Characterisation of Liquid Materials with High Permittivity and High Dielectric Loss.

作者信息

Wang Chen, Liu Xiaoming, Huang Zhixiang, Yu Shuo, Yang Xiaofan, Shang Xiaobang

机构信息

School of Physics and Electronic Information, Anhui Normal University, Wuhu 241002, China.

School of Electronic and Information, Anhui University, Hefei 230601, China.

出版信息

Sensors (Basel). 2022 Feb 24;22(5):1764. doi: 10.3390/s22051764.

Abstract

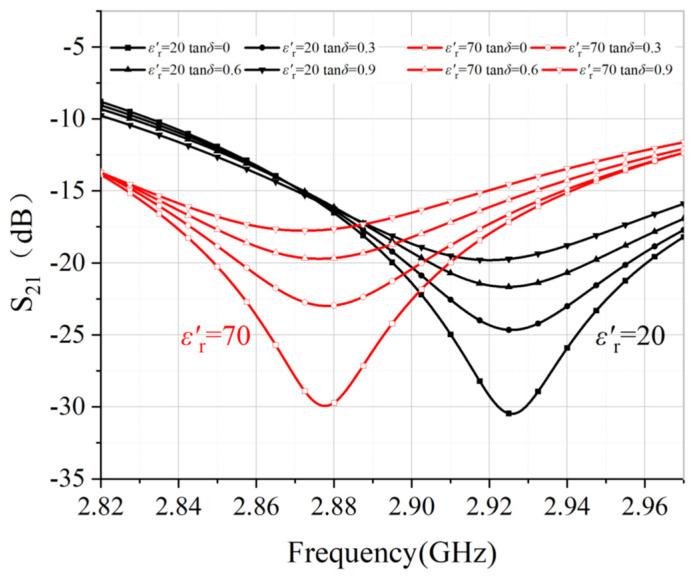
This paper reports on a sensor based on multi-element complementary split-ring resonator for the measurement of liquid materials. The resonator consists of three split rings for improved measurement sensitivity. A hole is fabricated at the centre of the rings to accommodate a hollow glass tube, through which the liquid sample can be injected. Electromagnetic simulations demonstrate that both the resonant frequency and quality factor of the sensor vary considerably with the dielectric constant and loss tangent of the liquid sample. The volume ratio between the liquid sample and glass tube is 0.36, yielding great sensitivity in the measured results for high loss liquids. Compared to the design based on rectangular split rings, the proposed ring structure offers 37% larger frequency shifts and 9.1% greater resonant dips. The relationship between dielectric constant, loss tangent, measured quality factor and resonant frequency is derived. Experimental verification is conducted using ethanol solution with different concentrations. The measurement accuracy is calculated to be within 2.8%, and this validates the proposed approach.

摘要

本文报道了一种基于多单元互补开口环谐振器的用于测量液体材料的传感器。该谐振器由三个开口环组成,以提高测量灵敏度。在环的中心制作一个孔,用于容纳空心玻璃管,液体样品可通过该玻璃管注入。电磁模拟表明,传感器的谐振频率和品质因数均会随液体样品的介电常数和损耗角正切而显著变化。液体样品与玻璃管的体积比为0.36,对于高损耗液体,测量结果具有很高的灵敏度。与基于矩形开口环的设计相比,所提出的环结构的频移大37%,谐振凹陷深9.1%。推导了介电常数、损耗角正切、测量品质因数和谐振频率之间的关系。使用不同浓度的乙醇溶液进行了实验验证。计算得出测量精度在2.8%以内,这验证了所提出的方法。

https://cdn.ncbi.nlm.nih.gov/pmc/blobs/31d0/8914953/a39d8c512612/sensors-22-01764-g001.jpg

文献AI研究员

20分钟写一篇综述,助力文献阅读效率提升50倍。

立即体验

用中文搜PubMed

大模型驱动的PubMed中文搜索引擎

马上搜索

文档翻译

学术文献翻译模型,支持多种主流文档格式。

立即体验