Suppr超能文献

幼龄苹果多酚通过损伤细胞膜抑制与口臭相关的细菌。

Thinned-Young Apple Polyphenols Inhibit Halitosis-Related Bacteria Through Damage to the Cell Membrane.

作者信息

Liu Ting, Shen Hailiang, Wang Furong, Zhou Xueru, Zhao Pengtao, Yang Yali, Guo Yurong

机构信息

College of Food Engineering and Nutritional Science, Shaanxi Normal University, Xi'an, China.

National Research and Development Center of Apple Processing Technology, Xi'an, China.

出版信息

Front Microbiol. 2022 Feb 23;12:745100. doi: 10.3389/fmicb.2021.745100. eCollection 2021.

Abstract

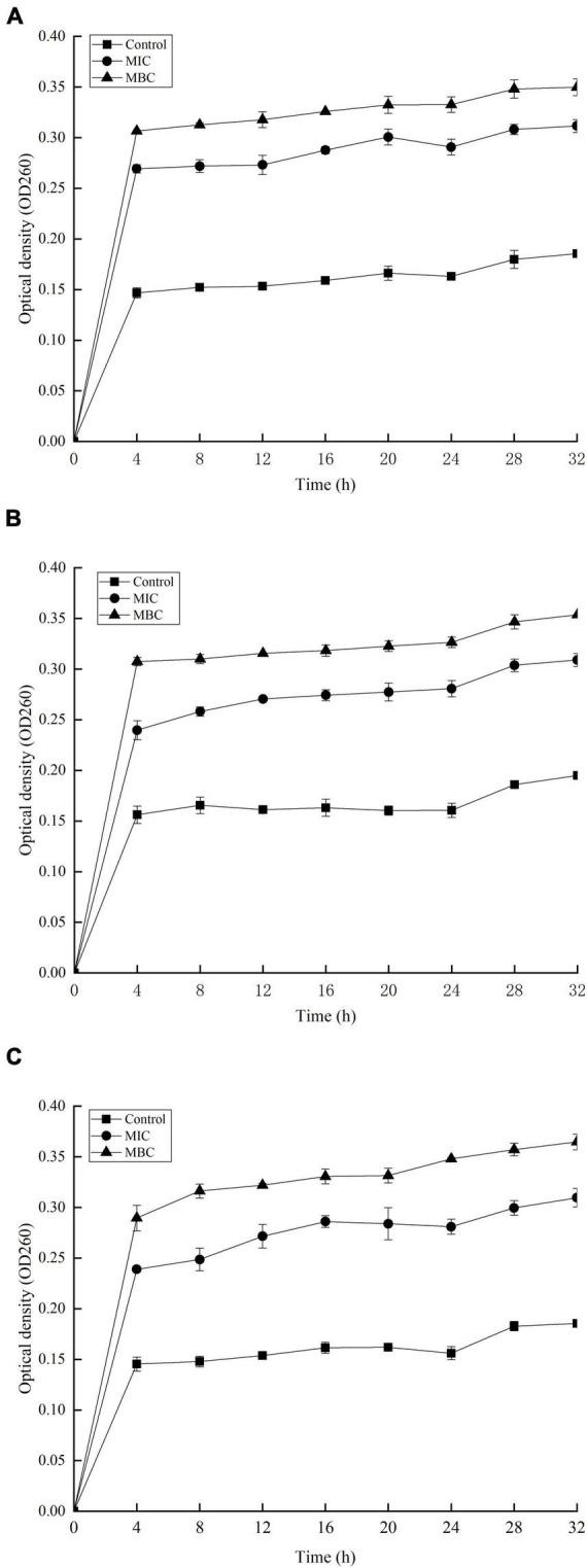
The thinned young apple is a by-product and is generally discarded in the orchard during fruit thinning. The polyphenol content of thinned young apples is about 10 times more than that of ripe apples. In our study, the antibacterial effect of thinned young apple polyphenols (YAP) on the halitosis-related bacteria including , , and was investigated. The minimum inhibitory concentrations of YAP against , , and were 8.0, 8.0, and 12.0 mg/ml, while the minimum bactericidal concentrations were 10.0, 10.0, and 14.0 mg/ml, respectively. The scanning electron microscopy and transmission electron microscopy analyses showed that after YAP treatment, the membrane surface of halitosis-related bacterial cells was coarse and the cell wall and membrane were separated and eventually ruptured. The integrity of the cell membrane was determined by flow cytometry, indicating that the cells with the integrity membrane significantly reduced as the YAP concentration treatment increased. The release of proteins and nucleic acids into the cell suspension significantly increased, and the membrane potential reduced after the YAP treatment. This research illustrated the antibacterial mechanism of YAP against halitosis-related bacteria and provided a scientific basis of utilizing the polyphenols from the discarded thinned young apples.

摘要

疏果后的幼龄苹果是一种副产品,在果园进行蔬果时通常会被丢弃。疏果后的幼龄苹果中多酚含量约为成熟苹果的10倍。在我们的研究中,研究了疏果后的幼龄苹果多酚(YAP)对包括 、 和 在内的与口臭相关细菌的抗菌作用。YAP对 、 和 的最低抑菌浓度分别为8.0、8.0和12.0mg/ml,而最低杀菌浓度分别为10.0、10.0和14.0mg/ml。扫描电子显微镜和透射电子显微镜分析表明,YAP处理后,与口臭相关的细菌细胞膜表面粗糙,细胞壁和细胞膜分离并最终破裂。通过流式细胞术测定细胞膜的完整性,结果表明随着YAP浓度处理的增加,细胞膜完整的细胞显著减少。YAP处理后,蛋白质和核酸向细胞悬液中的释放显著增加,膜电位降低。本研究阐明了YAP对与口臭相关细菌的抗菌机制,并为利用废弃的疏果后的幼龄苹果中的多酚提供了科学依据。

https://cdn.ncbi.nlm.nih.gov/pmc/blobs/3df9/8905352/9b907cd24a5a/fmicb-12-745100-g001.jpg

文献检索

告别复杂PubMed语法,用中文像聊天一样搜索,搜遍4000万医学文献。AI智能推荐,让科研检索更轻松。

立即免费搜索

文件翻译

保留排版,准确专业,支持PDF/Word/PPT等文件格式,支持 12+语言互译。

免费翻译文档

深度研究

AI帮你快速写综述,25分钟生成高质量综述,智能提取关键信息,辅助科研写作。

立即免费体验