• 文献检索
  • 文档翻译
  • 深度研究
  • 学术资讯
  • Suppr Zotero 插件Zotero 插件
  • 邀请有礼
  • 套餐&价格
  • 历史记录
应用&插件
Suppr Zotero 插件Zotero 插件浏览器插件Mac 客户端Windows 客户端微信小程序
定价
高级版会员购买积分包购买API积分包
服务
文献检索文档翻译深度研究API 文档MCP 服务
关于我们
关于 Suppr公司介绍联系我们用户协议隐私条款
关注我们

Suppr 超能文献

核心技术专利:CN118964589B侵权必究
粤ICP备2023148730 号-1Suppr @ 2026

文献检索

告别复杂PubMed语法,用中文像聊天一样搜索,搜遍4000万医学文献。AI智能推荐,让科研检索更轻松。

立即免费搜索

文件翻译

保留排版,准确专业,支持PDF/Word/PPT等文件格式,支持 12+语言互译。

免费翻译文档

深度研究

AI帮你快速写综述,25分钟生成高质量综述,智能提取关键信息,辅助科研写作。

立即免费体验

孕期环境空气污染物的增加与 IL4、IL10 和 IFNγ 的甲基化增加有关。

Increases in ambient air pollutants during pregnancy are linked to increases in methylation of IL4, IL10, and IFNγ.

机构信息

Sean N. Parker Center for Allergy and Asthma Research, Stanford University, 240 Pasteur, Stanford, CA, 94305, USA.

Division of Environmental Health Sciences, School of Public Health, University of California, Berkeley, CA, USA.

出版信息

Clin Epigenetics. 2022 Mar 14;14(1):40. doi: 10.1186/s13148-022-01254-2.

DOI:10.1186/s13148-022-01254-2
PMID:35287715
原文链接:https://pmc.ncbi.nlm.nih.gov/articles/PMC8919561/
Abstract

BACKGROUND

Ambient air pollutant (AAP) exposure is associated with adverse pregnancy outcomes, such as preeclampsia, preterm labor, and low birth weight. Previous studies have shown methylation of immune genes associate with exposure to air pollutants in pregnant women, but the cell-mediated response in the context of typical pregnancy cell alterations has not been investigated. Pregnancy causes attenuation in cell-mediated immunity with alterations in the Th1/Th2/Th17/Treg environment, contributing to maternal susceptibility. We recruited women (n = 186) who were 20 weeks pregnant from Fresno, CA, an area with chronically elevated AAP levels. Associations of average pollution concentration estimates for 1 week, 1 month, 3 months, and 6 months prior to blood draw were associated with Th cell subset (Th1, Th2, Th17, and Treg) percentages and methylation of CpG sites (IL4, IL10, IFNγ, and FoxP3). Linear regression models were adjusted for weight, age, season, race, and asthma, using a Q value as the false-discovery-rate-adjusted p-value across all genes.

RESULTS

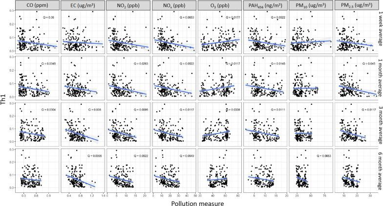
Short-term and mid-term AAP exposures to fine particulate matter (PM), nitrogen dioxide (NO) carbon monoxide (CO), and polycyclic aromatic hydrocarbons (PAH) were associated with percentages of immune cells. A decrease in Th1 cell percentage was negatively associated with PM (1 mo/3 mo: Q < 0.05), NO (1 mo/3 mo/6 mo: Q < 0.05), and PAH (1 week/1 mo/3 mo: Q < 0.05). Th2 cell percentages were negatively associated with PM (1 week/1 mo/3 mo/6 mo: Q < 0.06), and NO (1 week/1 mo/3 mo/6 mo: Q < 0.06). Th17 cell percentage was negatively associated with NO (3 mo/6 mo: Q < 0.01), CO (1 week/1 mo: Q < 0.1), PM (3 mo/6 mo: Q < 0.05), and PAH (1 mo/3 mo/6 mo: Q < 0.08). Methylation of the IL10 gene was positively associated with CO (1 week/1 mo/3 mo: Q < 0.01), NO (1 mo/3 mo/6 mo: Q < 0.08), PAH (1 week/1 mo/3 mo: Q < 0.01), and PM (3 mo: Q = 0.06) while IL4 gene methylation was positively associated with concentrations of CO (1 week/1 mo/3 mo/6 mo: Q < 0.09). Also, IFNγ gene methylation was positively associated with CO (1 week/1 mo/3 mo: Q < 0.05) and PAH (1 week/1 mo/3 mo: Q < 0.06).

CONCLUSION

Exposure to several AAPs was negatively associated with T-helper subsets involved in pro-inflammatory and anti-inflammatory responses during pregnancy. Methylation of IL4, IL10, and IFNγ genes with pollution exposure confirms previous research. These results offer insights into the detrimental effects of air pollution during pregnancy, the demand for more epigenetic studies, and mitigation strategies to decrease pollution exposure during pregnancy.

摘要

背景

环境空气污染物(AAP)暴露与妊娠不良结局相关,如子痫前期、早产和低出生体重。先前的研究表明,孕妇暴露于空气污染物与免疫基因的甲基化有关,但在典型妊娠细胞改变的背景下,细胞介导的反应尚未得到研究。妊娠导致细胞介导免疫的衰减,Th1/Th2/Th17/Treg 环境发生改变,导致母体易感性增加。我们招募了 186 名来自加利福尼亚州弗雷斯诺的 20 周孕妇,该地区长期存在 AAP 水平升高的情况。血液采集前 1 周、1 个月、3 个月和 6 个月的平均污染浓度估计值与 Th 细胞亚群(Th1、Th2、Th17 和 Treg)百分比和 CpG 位点(IL4、IL10、IFNγ 和 FoxP3)的甲基化相关。线性回归模型调整了体重、年龄、季节、种族和哮喘因素,使用 Q 值作为所有基因的错误发现率调整 p 值。

结果

短期和中期细颗粒物(PM)、二氧化氮(NO)、一氧化碳(CO)和多环芳烃(PAH)的 AAP 暴露与免疫细胞百分比有关。Th1 细胞百分比的降低与 PM(1 个月/3 个月:Q<0.05)、NO(1 个月/3 个月/6 个月:Q<0.05)和 PAH(1 周/1 个月/3 个月:Q<0.05)呈负相关。Th2 细胞百分比与 PM(1 周/1 个月/3 个月/6 个月:Q<0.06)和 NO(1 周/1 个月/3 个月/6 个月:Q<0.06)呈负相关。Th17 细胞百分比与 NO(3 个月/6 个月:Q<0.01)、CO(1 周/1 个月:Q<0.1)、PM(3 个月/6 个月:Q<0.05)和 PAH(1 个月/3 个月/6 个月:Q<0.08)呈负相关。IL10 基因的甲基化与 CO(1 周/1 个月/3 个月:Q<0.01)、NO(1 个月/3 个月/6 个月:Q<0.08)、PAH(1 周/1 个月/3 个月:Q<0.01)和 PM(3 个月:Q=0.06)呈正相关,而 IL4 基因甲基化与 CO(1 周/1 个月/3 个月/6 个月:Q<0.09)呈正相关。此外,IFNγ 基因甲基化与 CO(1 周/1 个月/3 个月:Q<0.05)和 PAH(1 周/1 个月/3 个月:Q<0.06)呈正相关。

结论

几种 AAP 的暴露与妊娠期间参与促炎和抗炎反应的 Th 辅助细胞亚群呈负相关。与污染暴露相关的 IL4、IL10 和 IFNγ 基因的甲基化证实了先前的研究。这些结果提供了对妊娠期间空气污染物有害影响的深入了解,对更多表观遗传学研究的需求,以及减少妊娠期间污染暴露的缓解策略。

https://cdn.ncbi.nlm.nih.gov/pmc/blobs/a886/8919561/8e21b05d2651/13148_2022_1254_Fig7_HTML.jpg
https://cdn.ncbi.nlm.nih.gov/pmc/blobs/a886/8919561/d972c99c520f/13148_2022_1254_Fig1_HTML.jpg
https://cdn.ncbi.nlm.nih.gov/pmc/blobs/a886/8919561/f86f9f217b26/13148_2022_1254_Fig2_HTML.jpg
https://cdn.ncbi.nlm.nih.gov/pmc/blobs/a886/8919561/65f10cc5c8da/13148_2022_1254_Fig3_HTML.jpg
https://cdn.ncbi.nlm.nih.gov/pmc/blobs/a886/8919561/7b8a31c3dfb5/13148_2022_1254_Fig4_HTML.jpg
https://cdn.ncbi.nlm.nih.gov/pmc/blobs/a886/8919561/76d3c6bc2747/13148_2022_1254_Fig5_HTML.jpg
https://cdn.ncbi.nlm.nih.gov/pmc/blobs/a886/8919561/6f7fc58eb1c7/13148_2022_1254_Fig6_HTML.jpg
https://cdn.ncbi.nlm.nih.gov/pmc/blobs/a886/8919561/8e21b05d2651/13148_2022_1254_Fig7_HTML.jpg
https://cdn.ncbi.nlm.nih.gov/pmc/blobs/a886/8919561/d972c99c520f/13148_2022_1254_Fig1_HTML.jpg
https://cdn.ncbi.nlm.nih.gov/pmc/blobs/a886/8919561/f86f9f217b26/13148_2022_1254_Fig2_HTML.jpg
https://cdn.ncbi.nlm.nih.gov/pmc/blobs/a886/8919561/65f10cc5c8da/13148_2022_1254_Fig3_HTML.jpg
https://cdn.ncbi.nlm.nih.gov/pmc/blobs/a886/8919561/7b8a31c3dfb5/13148_2022_1254_Fig4_HTML.jpg
https://cdn.ncbi.nlm.nih.gov/pmc/blobs/a886/8919561/76d3c6bc2747/13148_2022_1254_Fig5_HTML.jpg
https://cdn.ncbi.nlm.nih.gov/pmc/blobs/a886/8919561/6f7fc58eb1c7/13148_2022_1254_Fig6_HTML.jpg
https://cdn.ncbi.nlm.nih.gov/pmc/blobs/a886/8919561/8e21b05d2651/13148_2022_1254_Fig7_HTML.jpg

相似文献

1
Increases in ambient air pollutants during pregnancy are linked to increases in methylation of IL4, IL10, and IFNγ.孕期环境空气污染物的增加与 IL4、IL10 和 IFNγ 的甲基化增加有关。
Clin Epigenetics. 2022 Mar 14;14(1):40. doi: 10.1186/s13148-022-01254-2.
2
Exposure to NO, CO, and PM is linked to regional DNA methylation differences in asthma.暴露于 NO、CO 和 PM 与哮喘的区域性 DNA 甲基化差异有关。
Clin Epigenetics. 2018 Jan 5;10:2. doi: 10.1186/s13148-017-0433-4. eCollection 2018.
3
Air pollution exposure is linked with methylation of immunoregulatory genes, altered immune cell profiles, and increased blood pressure in children.空气污染暴露与免疫调节基因的甲基化、免疫细胞谱的改变以及儿童血压升高有关。
Sci Rep. 2021 Feb 18;11(1):4067. doi: 10.1038/s41598-021-83577-3.
4
Mortality and Morbidity Effects of Long-Term Exposure to Low-Level PM, BC, NO, and O: An Analysis of European Cohorts in the ELAPSE Project.长期暴露于低水平 PM、BC、NO 和 O 对死亡率和发病率的影响:ELAPSE 项目中欧洲队列的分析。
Res Rep Health Eff Inst. 2021 Sep;2021(208):1-127.
5
Air pollution and epigenetic aging among Black and White women in the US.美国黑人和白人女性中的空气污染与表观遗传衰老。
Environ Int. 2023 Nov;181:108270. doi: 10.1016/j.envint.2023.108270. Epub 2023 Oct 17.
6
Mortality-Air Pollution Associations in Low Exposure Environments (MAPLE): Phase 2.低暴露环境下死亡率与空气污染关联研究(MAPLE):第二阶段。
Res Rep Health Eff Inst. 2022 Jul;2022(212):1-91.
7
Weekly prenatal PM and NO exposures in preterm, early term, and full term infants: Decrements in birth weight and critical windows of susceptibility.每周产前 PM 和 NO 暴露于早产儿、早期足月和足月婴儿:降低出生体重和易感的关键窗口期。
Environ Res. 2024 Jan 1;240(Pt 1):117509. doi: 10.1016/j.envres.2023.117509. Epub 2023 Oct 26.
8
Social Susceptibility to Multiple Air Pollutants in Cardiovascular Disease.社会对心血管疾病多种空气污染物的易感性。
Res Rep Health Eff Inst. 2021 Jul;2021(206):1-71.
9
Placental promoter methylation of DNA repair genes and prenatal exposure to particulate air pollution: an ENVIRONAGE cohort study.DNA 修复基因的胎盘启动子甲基化与产前颗粒物空气污染暴露:一项 ENVIRONAGE 队列研究。
Lancet Planet Health. 2018 Apr;2(4):e174-e183. doi: 10.1016/S2542-5196(18)30049-4. Epub 2018 Apr 4.
10
Maternal exposure to ambient air pollution and risk of congenital heart defects in Suzhou, China.母亲暴露于环境空气污染与中国苏州先天性心脏病风险的关系。
Front Public Health. 2023 Jan 4;10:1017644. doi: 10.3389/fpubh.2022.1017644. eCollection 2022.

引用本文的文献

1
Maternal Exposure to Diesel Exhaust Particles (DEPs) During Pregnancy and Adverse Pregnancy Outcomes: Focusing on the Effect of Particulate Matter on Trophoblast, Epithelial-Mesenchymal Transition.孕期母亲暴露于柴油尾气颗粒(DEPs)与不良妊娠结局:聚焦颗粒物对滋养层细胞、上皮-间质转化的影响
Cells. 2025 Aug 26;14(17):1317. doi: 10.3390/cells14171317.
2
Exploring the epigenetic mechanisms of recurrent pregnancy loss: from genetic predisposition to environmental influences.探索复发性流产的表观遗传机制:从遗传易感性到环境影响。
J Assist Reprod Genet. 2025 Aug 22. doi: 10.1007/s10815-025-03603-5.
3
How air pollution fuels respiratory infections in children: current insights.

本文引用的文献

1
Exposure to ambient air pollution during pregnancy and inflammatory biomarkers in maternal and umbilical cord blood: The Healthy Start study.孕期暴露于环境空气污染与母血和脐血中炎症生物标志物:健康启动研究。
Environ Res. 2021 Jun;197:111165. doi: 10.1016/j.envres.2021.111165. Epub 2021 Apr 20.
2
Air pollution exposure is linked with methylation of immunoregulatory genes, altered immune cell profiles, and increased blood pressure in children.空气污染暴露与免疫调节基因的甲基化、免疫细胞谱的改变以及儿童血压升高有关。
Sci Rep. 2021 Feb 18;11(1):4067. doi: 10.1038/s41598-021-83577-3.
3
Traffic-related air pollution is associated with glucose dysregulation, blood pressure, and oxidative stress in children.
空气污染如何助长儿童呼吸道感染:当前见解
Front Public Health. 2025 Apr 28;13:1567206. doi: 10.3389/fpubh.2025.1567206. eCollection 2025.
4
Association analysis of maternal exposure to air pollution during pregnancy and offspring asthma incidence.孕期母亲暴露于空气污染与后代哮喘发病率的关联分析。
Reprod Health. 2025 Feb 24;22(1):29. doi: 10.1186/s12978-025-01967-6.
5
Integration of Methylation and Gene Expression Deciphered Candidate Biomarkers DAB2IP and SMYD3 in Delayed Encephalopathy After Carbon Monoxide Poisoning.甲基化与基因表达整合解析一氧化碳中毒后迟发性脑病的候选生物标志物DAB2IP和SMYD3
CNS Neurosci Ther. 2025 Feb;31(2):e70270. doi: 10.1111/cns.70270.
6
Exposomics: a review of methodologies, applications, and future directions in molecular medicine.暴露组学:分子医学中的方法、应用及未来方向综述
EMBO Mol Med. 2025 Apr;17(4):599-608. doi: 10.1038/s44321-025-00191-w. Epub 2025 Jan 27.
7
Impact of air pollution exposure on cytokines and histone modification profiles at single-cell levels during pregnancy.孕期内空气污染暴露对细胞因子和组蛋白修饰谱的单细胞水平影响。
Sci Adv. 2024 Nov 29;10(48):eadp5227. doi: 10.1126/sciadv.adp5227.
8
Particulate matter-induced epigenetic modifications and lung complications.颗粒物引起的表观遗传修饰与肺部并发症。
Eur Respir Rev. 2024 Nov 13;33(174). doi: 10.1183/16000617.0129-2024. Print 2024 Oct.
9
Impact of Climate Change, Environmental Toxins and Pollution on the AOFOG region: What can OBGYNs do?气候变化、环境毒素及污染对AOFOG地区的影响:妇产科医生能做些什么?
J Obstet Gynaecol India. 2024 Feb;74(1):22-26. doi: 10.1007/s13224-024-01958-w. Epub 2024 Feb 15.
10
Air pollution and pregnancy.空气污染与妊娠。
Semin Perinatol. 2023 Dec;47(8):151838. doi: 10.1016/j.semperi.2023.151838. Epub 2023 Oct 10.
与交通相关的空气污染与儿童的血糖调节异常、血压及氧化应激有关。
Environ Res. 2021 Apr;195:110870. doi: 10.1016/j.envres.2021.110870. Epub 2021 Feb 12.
4
Decrease in Ambient Polycyclic Aromatic Hydrocarbon Concentrations in California's San Joaquin Valley 2000-2019.2000 - 2019年加利福尼亚州圣华金谷大气中多环芳烃浓度的下降
Atmos Environ (1994). 2020 Dec 1;242. doi: 10.1016/j.atmosenv.2020.117818. Epub 2020 Aug 11.
5
Coronavirus disease 2019 (COVID-19) pandemic and pregnancy.2019 冠状病毒病(COVID-19)大流行与妊娠。
Am J Obstet Gynecol. 2020 Jun;222(6):521-531. doi: 10.1016/j.ajog.2020.03.021. Epub 2020 Mar 23.
6
Air pollution and its effects on the immune system.空气污染及其对免疫系统的影响。
Free Radic Biol Med. 2020 May 1;151:56-68. doi: 10.1016/j.freeradbiomed.2020.01.179. Epub 2020 Jan 30.
7
A systematic review of smoking-related epigenetic alterations.吸烟相关的表观遗传改变的系统评价。
Arch Toxicol. 2019 Oct;93(10):2715-2740. doi: 10.1007/s00204-019-02562-y. Epub 2019 Sep 25.
8
Identifying windows of susceptibility for maternal exposure to ambient air pollution and preterm birth.识别母体暴露于环境空气污染与早产的易感窗口。
Environ Int. 2018 Dec;121(Pt 1):317-324. doi: 10.1016/j.envint.2018.09.021. Epub 2018 Sep 18.
9
Ambient air pollution and pregnancy outcomes: A comprehensive review and identification of environmental public health challenges.大气污染与妊娠结局:环境公共健康挑战的综合综述与识别。
Environ Res. 2018 Nov;167:144-159. doi: 10.1016/j.envres.2018.07.008. Epub 2018 Jul 5.
10
Effects of prenatal exposure to air pollution on preeclampsia in Shenzhen, China.中国深圳的产前空气污染暴露对先兆子痫的影响。
Environ Pollut. 2018 Jun;237:18-27. doi: 10.1016/j.envpol.2018.02.010. Epub 2018 Feb 20.