Institute for Health Services Research in Dermatology and Nursing (IVDP), University Medical Center Hamburg-Eppendorf (UKE), Hamburg, Germany.
PLoS One. 2022 Mar 22;17(3):e0265741. doi: 10.1371/journal.pone.0265741. eCollection 2022.
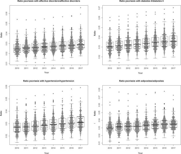
Psoriasis is a chronic disease with high impact on patients' health and their quality of life. Psoriasis often occurs along with other comorbidities, but it is not yet clear what role the comorbidities play in regional psoriasis prevalence. This study investigates the temporal and regional variation of the psoriasis comorbidities diabetes mellitus type II, obesity, hypertension, affective disorders in Germany and their association with psoriasis prevalence. This analysis based on the population set of ambulatory claims data (2010-2017) of the statutory health insurance (SHI) in Germany (approx. 70.3 million people in 2017). Psoriasis comorbidities rates were determined on county level. We performed descriptive spatiotemporal analyses of psoriasis comorbidity prevalence rates. In addition, we identified and compared spatial clusters and examined regional variations using spatial statistical methods. The results show strong regional variations (northeast to south gradient) and an increasing psoriasis prevalence (max. 28.8%) within the observation period. Considering the comorbidities, results indicate comparable spatial prevalence patterns for diabetes mellitus type II, obesity and hypertension. This means that the highest prevalence of comorbidities tends to be found where the psoriasis prevalence is highest. The spatiotemporal cluster analyses could once again confirm the results. An exception to this is to be found in the case of affective disorders with different spatial patterns. The results of the studies show the first spatiotemporal association between psoriasis prevalence and comorbidities in Germany. The causalities must be investigated in more detail in order to be able to derive measures for improved care.
银屑病是一种慢性疾病,对患者的健康和生活质量有很大影响。银屑病常伴有其他合并症,但目前尚不清楚合并症在区域性银屑病患病率中起什么作用。本研究调查了德国银屑病合并症 II 型糖尿病、肥胖症、高血压、情感障碍的时间和地域变化及其与银屑病患病率的关系。该分析基于德国法定健康保险(SHI)的门诊索赔数据(2010-2017 年)人群集(2017 年约 7030 万人)。在县级确定银屑病合并症的发病率。我们对银屑病合并症患病率进行了描述性时空分析。此外,我们使用空间统计方法确定和比较了空间聚类,并检查了区域变化。结果表明存在强烈的地域差异(从东北到南部的梯度)和观察期内银屑病患病率的增加(最高 28.8%)。考虑到合并症,结果表明 II 型糖尿病、肥胖症和高血压的空间流行模式相似。这意味着合并症患病率最高的地区往往是银屑病患病率最高的地区。时空聚类分析再次证实了这一结果。情感障碍是一个例外,其空间模式不同。这些研究的结果显示了德国银屑病患病率与合并症之间的首次时空关联。为了能够制定改善护理的措施,必须更详细地调查因果关系。