• 文献检索
  • 文档翻译
  • 深度研究
  • 学术资讯
  • Suppr Zotero 插件Zotero 插件
  • 邀请有礼
  • 套餐&价格
  • 历史记录
应用&插件
Suppr Zotero 插件Zotero 插件浏览器插件Mac 客户端Windows 客户端微信小程序
定价
高级版会员购买积分包购买API积分包
服务
文献检索文档翻译深度研究API 文档MCP 服务
关于我们
关于 Suppr公司介绍联系我们用户协议隐私条款
关注我们

Suppr 超能文献

核心技术专利:CN118964589B侵权必究
粤ICP备2023148730 号-1Suppr @ 2026

文献检索

告别复杂PubMed语法,用中文像聊天一样搜索,搜遍4000万医学文献。AI智能推荐,让科研检索更轻松。

立即免费搜索

文件翻译

保留排版,准确专业,支持PDF/Word/PPT等文件格式,支持 12+语言互译。

免费翻译文档

深度研究

AI帮你快速写综述,25分钟生成高质量综述,智能提取关键信息,辅助科研写作。

立即免费体验

动态活动记录仪衍生的静息活动模式和昼夜节律相位与慢性失眠障碍的临床症状和多导睡眠图参数的关联。

Associations of actigraphy derived rest activity patterns and circadian phase with clinical symptoms and polysomnographic parameters in chronic insomnia disorders.

机构信息

Department of Psychiatry, Ajou University School of Medicine, Suwon, Republic of Korea.

Department of Brain Science, Ajou University School of Medicine, Suwon, Republic of Korea.

出版信息

Sci Rep. 2022 Mar 22;12(1):4895. doi: 10.1038/s41598-022-08899-2.

DOI:10.1038/s41598-022-08899-2
PMID:35318367
原文链接:https://pmc.ncbi.nlm.nih.gov/articles/PMC8941088/
Abstract

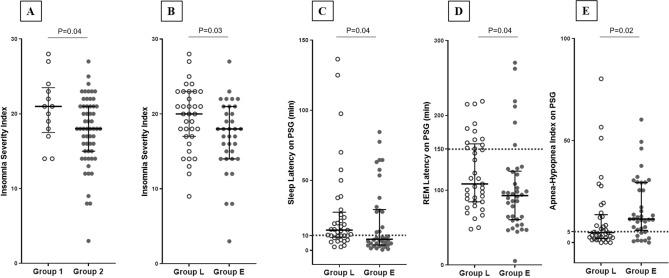
We explored the associations of actigraphy-derived rest-activity patterns and circadian phase parameters with clinical symptoms and level 1 polysomnography (PSG) results in patients with chronic insomnia to evaluate the clinical implications of actigraphy-derived parameters for PSG interpretation. Seventy-five participants underwent actigraphy assessments and level 1 PSG. Exploratory correlation analyses between parameters derived from actigraphy, PSG, and clinical assessments were performed. First, participants were classified into two groups based on rest-activity pattern variables; group differences were investigated following covariate adjustment. Participants with poorer rest-activity patterns on actigraphy (low inter-day stability and high intra-daily variability) exhibited higher insomnia severity index scores than participants with better rest-activity patterns. No between-group differences in PSG parameters were observed. Second, participants were classified into two groups based on circadian phase variables. Late-phase participants (least active 5-h and most active 10-h onset times) exhibited higher insomnia severity scores, longer sleep and rapid eye movement latency, and lower apnea-hypopnea index than early-phase participants. These associations remained significant even after adjusting for potential covariates. Some actigraphy-derived rest-activity patterns and circadian phase parameters were significantly associated with clinical symptoms and PSG results, suggesting their possible adjunctive role in deriving plans for PSG lights-off time and assessing the possible insomnia pathophysiology.

摘要

我们探讨了活动记录仪衍生的静息-活动模式和昼夜节律相位参数与慢性失眠患者的临床症状和 1 级多导睡眠图 (PSG) 结果之间的关联,以评估活动记录仪衍生参数对 PSG 解读的临床意义。75 名参与者接受了活动记录仪评估和 1 级 PSG。对来自活动记录仪、PSG 和临床评估的参数之间的探索性相关分析进行了分析。首先,根据静息-活动模式变量将参与者分为两组;在进行协变量调整后,对组间差异进行了研究。与具有更好静息-活动模式的参与者相比,在活动记录仪上表现出较差静息-活动模式(日间稳定性差和日内变异性高)的参与者的失眠严重程度指数评分更高。未观察到 PSG 参数存在组间差异。其次,根据昼夜节律相位变量将参与者分为两组。晚相组(最不活跃的 5 小时和最活跃的 10 小时起始时间)的失眠严重程度评分、睡眠和快速眼动潜伏期较长,以及呼吸暂停-低通气指数较低,而早相组则相反。即使在调整了潜在的协变量后,这些关联仍然显著。一些活动记录仪衍生的静息-活动模式和昼夜节律相位参数与临床症状和 PSG 结果显著相关,这表明它们可能在确定 PSG 熄灯时间计划和评估可能的失眠病理生理学方面具有辅助作用。

https://cdn.ncbi.nlm.nih.gov/pmc/blobs/a604/8941088/342befad9780/41598_2022_8899_Fig3_HTML.jpg
https://cdn.ncbi.nlm.nih.gov/pmc/blobs/a604/8941088/485a98bf3620/41598_2022_8899_Fig1_HTML.jpg
https://cdn.ncbi.nlm.nih.gov/pmc/blobs/a604/8941088/c3b018a7372b/41598_2022_8899_Fig2_HTML.jpg
https://cdn.ncbi.nlm.nih.gov/pmc/blobs/a604/8941088/342befad9780/41598_2022_8899_Fig3_HTML.jpg
https://cdn.ncbi.nlm.nih.gov/pmc/blobs/a604/8941088/485a98bf3620/41598_2022_8899_Fig1_HTML.jpg
https://cdn.ncbi.nlm.nih.gov/pmc/blobs/a604/8941088/c3b018a7372b/41598_2022_8899_Fig2_HTML.jpg
https://cdn.ncbi.nlm.nih.gov/pmc/blobs/a604/8941088/342befad9780/41598_2022_8899_Fig3_HTML.jpg

相似文献

1
Associations of actigraphy derived rest activity patterns and circadian phase with clinical symptoms and polysomnographic parameters in chronic insomnia disorders.动态活动记录仪衍生的静息活动模式和昼夜节律相位与慢性失眠障碍的临床症状和多导睡眠图参数的关联。
Sci Rep. 2022 Mar 22;12(1):4895. doi: 10.1038/s41598-022-08899-2.
2
Relation between ambulatory actigraphy and laboratory polysomnography in insomnia practice and research.在失眠实践和研究中,动态活动记录仪与实验室多导睡眠图的关系。
J Sleep Res. 2019 Aug;28(4):e12854. doi: 10.1111/jsr.12854. Epub 2019 Apr 2.
3
The role of actigraphy in the study of sleep and circadian rhythms.活动记录仪在睡眠和昼夜节律研究中的作用。
Sleep. 2003 May 1;26(3):342-92. doi: 10.1093/sleep/26.3.342.
4
Discordant sleep parameters among actigraphy, polysomnography, and perceived sleep in patients with sleep-disordered breathing in comparison with patients with chronic insomnia disorder.与慢性失眠症患者相比,睡眠呼吸障碍患者在体动记录仪、多导睡眠图和主观睡眠方面睡眠参数不一致。
Sleep Breath. 2017 Dec;21(4):837-843. doi: 10.1007/s11325-017-1514-5. Epub 2017 Jun 14.
5
Validation of Fitbit Charge 4 for assessing sleep in Chinese patients with chronic insomnia: A comparison against polysomnography and actigraphy.验证 Fitbit Charge 4 在中国慢性失眠患者睡眠评估中的适用性:与多导睡眠图和活动记录仪的对比。
PLoS One. 2022 Oct 18;17(10):e0275287. doi: 10.1371/journal.pone.0275287. eCollection 2022.
6
Using actigraphy versus polysomnography in the clinical assessment of chronic insomnia (retrospective analysis of 27 patients).在慢性失眠症临床评估中使用活动记录仪与多导睡眠图(对27例患者的回顾性分析)
Presse Med. 2012 Mar;41(3 Pt 1):e95-e100. doi: 10.1016/j.lpm.2011.07.019. Epub 2011 Nov 21.
7
Actigraphy scoring for sleep outcome measures in chronic obstructive pulmonary disease.慢性阻塞性肺疾病睡眠结局测量的活动记录仪评分
Sleep Med. 2017 Sep;37:124-129. doi: 10.1016/j.sleep.2017.06.012. Epub 2017 Jun 30.
8
Comparison of actigraphy with polysomnography and sleep logs in depressed insomniacs.抑郁性失眠患者的活动记录仪与多导睡眠图和睡眠日志的比较。
J Sleep Res. 2012 Feb;21(1):122-7. doi: 10.1111/j.1365-2869.2011.00917.x. Epub 2011 Mar 29.
9
Actigraphy in studies on insomnia: Worth the effort?在失眠研究中应用活动记录仪:值得努力吗?
J Sleep Res. 2023 Feb;32(1):e13750. doi: 10.1111/jsr.13750. Epub 2022 Oct 11.
10
Validity of a commercial wearable sleep tracker in adult insomnia disorder patients and good sleepers.一款商用可穿戴睡眠追踪器在成人失眠症患者和睡眠良好者中的有效性。
J Psychosom Res. 2017 Jun;97:38-44. doi: 10.1016/j.jpsychores.2017.03.009. Epub 2017 Mar 23.

引用本文的文献

1
Rest-Activity Rhythms Are Associated With Prevalent Cardiovascular Disease, Hypertension, Obesity, and Central Adiposity in a Nationally Representative Sample of US Adults.在一项具有全国代表性的美国成年人样本中,休息-活动节律与心血管疾病、高血压、肥胖和中心性肥胖的流行有关。
J Am Heart Assoc. 2024 Jan 2;13(1):e032073. doi: 10.1161/JAHA.122.032073. Epub 2023 Dec 29.
2
Wearable-based accelerometer activity profile as digital biomarker of inflammation, biological age, and mortality using hierarchical clustering analysis in NHANES 2011-2014.基于可穿戴设备的加速度计活动特征作为炎症、生物年龄和死亡率的数字生物标志物,使用 NHANES 2011-2014 中的层次聚类分析。
Sci Rep. 2023 Jun 8;13(1):9326. doi: 10.1038/s41598-023-36062-y.
3

本文引用的文献

1
Diurnal Rhythm Robustness in Individuals With PTSD and Insomnia and The Association With Sleep.创伤后应激障碍和失眠患者的昼夜节律稳定性及其与睡眠的关系。
J Biol Rhythms. 2021 Apr;36(2):185-195. doi: 10.1177/0748730420984563. Epub 2021 Jan 20.
2
Insomnia, sleep loss, and circadian sleep disturbances in mood disorders: a pathway toward neurodegeneration and neuroprogression? A theoretical review.心境障碍中的失眠、睡眠缺失和昼夜睡眠紊乱:向神经退行性变和神经进展发展的途径?理论综述。
CNS Spectr. 2022 Jun;27(3):298-308. doi: 10.1017/S1092852921000018. Epub 2021 Jan 11.
3
Associations of rest-activity patterns with amyloid burden, medial temporal lobe atrophy, and cognitive impairment.
CovidRhythm: A Deep Learning Model for Passive Prediction of Covid-19 Using Biobehavioral Rhythms Derived From Wearable Physiological Data.
CovidRhythm:一种利用可穿戴生理数据衍生的生物行为节律对新冠肺炎进行被动预测的深度学习模型。
IEEE Open J Eng Med Biol. 2023 Mar 23;4:21-30. doi: 10.1109/OJEMB.2023.3261223. eCollection 2023.
4
Association Between Diabetic Retinopathy and Insomnia Risk: A Nationwide Population-Based Study.糖尿病视网膜病变与失眠风险之间的关联:一项基于全国人口的研究。
Front Endocrinol (Lausanne). 2022 Jul 14;13:939251. doi: 10.3389/fendo.2022.939251. eCollection 2022.
静息-活动模式与淀粉样蛋白负荷、内侧颞叶萎缩和认知障碍的关联。
EBioMedicine. 2020 Aug;58:102881. doi: 10.1016/j.ebiom.2020.102881. Epub 2020 Jul 28.
4
On the rise and fall of the apnea-hypopnea index: A historical review and critical appraisal.呼吸暂停低通气指数的兴衰:历史回顾与批判性评价。
J Sleep Res. 2020 Aug;29(4):e13066. doi: 10.1111/jsr.13066. Epub 2020 May 14.
5
An exploratory analysis of the association of circadian rhythm dysregulation and insomnia with suicidal ideation over the course of treatment in individuals with depression, insomnia, and suicidal ideation.对患有抑郁症、失眠症和自杀意念的个体在治疗过程中昼夜节律失调和失眠与自杀意念之间关联的探索性分析。
J Clin Sleep Med. 2020 Aug 15;16(8):1311-1319. doi: 10.5664/jcsm.8508.
6
A Systematic Review of Evidence for a Role of Rest-Activity Rhythms in Dementia.静息-活动节律在痴呆症中作用的证据的系统评价
Front Psychiatry. 2019 Oct 30;10:778. doi: 10.3389/fpsyt.2019.00778. eCollection 2019.
7
Circadian rest-activity patterns in bipolar disorder and borderline personality disorder.双相情感障碍和边缘型人格障碍的昼夜节律-活动模式。
Transl Psychiatry. 2019 Aug 20;9(1):195. doi: 10.1038/s41398-019-0526-2.
8
Effects of BMAL1 Manipulation on the Brain's Master Circadian Clock and Behavior.BMAL1 操作对大脑主生物钟和行为的影响。
Yale J Biol Med. 2019 Jun 27;92(2):251-258. eCollection 2019 Jun.
9
Association between circadian rhythms and neurodegenerative diseases.昼夜节律与神经退行性疾病的关系。
Lancet Neurol. 2019 Mar;18(3):307-318. doi: 10.1016/S1474-4422(18)30461-7. Epub 2019 Feb 12.
10
Validity of Actigraphy in Young Adults With Insomnia.年轻人失眠时的活动记录仪的有效性。
Behav Sleep Med. 2020 Jan-Feb;18(1):91-106. doi: 10.1080/15402002.2018.1545653. Epub 2018 Nov 25.