• 文献检索
  • 文档翻译
  • 深度研究
  • 学术资讯
  • Suppr Zotero 插件Zotero 插件
  • 邀请有礼
  • 套餐&价格
  • 历史记录
应用&插件
Suppr Zotero 插件Zotero 插件浏览器插件Mac 客户端Windows 客户端微信小程序
定价
高级版会员购买积分包购买API积分包
服务
文献检索文档翻译深度研究API 文档MCP 服务
关于我们
关于 Suppr公司介绍联系我们用户协议隐私条款
关注我们

Suppr 超能文献

核心技术专利:CN118964589B侵权必究
粤ICP备2023148730 号-1Suppr @ 2026

文献检索

告别复杂PubMed语法,用中文像聊天一样搜索,搜遍4000万医学文献。AI智能推荐,让科研检索更轻松。

立即免费搜索

文件翻译

保留排版,准确专业,支持PDF/Word/PPT等文件格式,支持 12+语言互译。

免费翻译文档

深度研究

AI帮你快速写综述,25分钟生成高质量综述,智能提取关键信息,辅助科研写作。

立即免费体验

心血管病和心源性猝死遗传学教育的从业者信心和需求。

Practitioners' Confidence and Desires for Education in Cardiovascular and Sudden Cardiac Death Genetics.

机构信息

Center for Genetic Medicine Feinberg School of Medicine Northwestern University Chicago IL.

Department of Communication Studies Northwestern University Chicago IL.

出版信息

J Am Heart Assoc. 2022 Apr 5;11(7):e023763. doi: 10.1161/JAHA.121.023763. Epub 2022 Mar 24.

DOI:10.1161/JAHA.121.023763
PMID:35322684
原文链接:https://pmc.ncbi.nlm.nih.gov/articles/PMC9075463/
Abstract

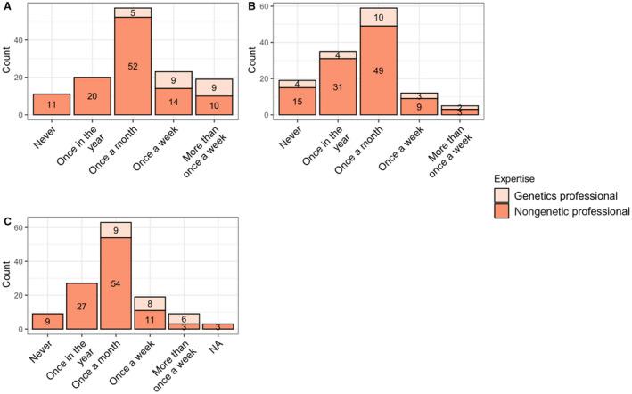
Background Educating cardiologists and health care professionals about cardiovascular genetics and genetic testing is essential to improving diagnosis and management of patients with inherited cardiomyopathies and arrhythmias and those at higher risk for sudden cardiac death. The aim of this study was to understand cardiology and electrophysiology practitioners' current practices, confidence, and knowledge surrounding genetic testing in cardiology and desired topics for an educational program. Methods and Results A one-time survey was administered through purposive email solicitation to 131 cardiology practitioners in the United States. Of these, 107 self-identified as nongenetic practitioners. Over three quarters of nongenetic practitioners reported that they refer patients to genetic providers to discuss cardiovascular genetic tests (n=82; 76.6%). More than half of nongenetic practitioners reported that they were not confident about the types of cardiovascular genetic testing available (n=60; 56%) and/or in ordering appropriate cardiovascular genetic tests (n=66; 62%). In addition, 45% (n=22) of nongenetic practitioners did not feel confident making cardiology treatment recommendations based on genetic test results. Among all providers, the most desired topics for an educational program were risk assessment (94%) and management of inherited cardiac conditions based on guidelines (91%). Conclusions This study emphasizes the importance of access to genetics services in the cardiology field and the need for addressing the identified deficit in confidence and knowledge about cardiogenetics and genetic testing among nongenetic providers. Additional research is needed, including more practitioners from underserved areas.

摘要

背景

对心脏病学家和医疗保健专业人员进行心血管遗传学和基因检测方面的教育对于改善遗传性心肌病和心律失常患者以及发生心源性猝死风险较高的患者的诊断和管理至关重要。本研究旨在了解心脏病学和电生理学从业者在心脏病学基因检测方面的当前实践、信心和知识水平,以及他们对教育计划的期望主题。

方法和结果

通过有针对性的电子邮件邀请,向美国的 131 名心脏病学从业者一次性进行了调查。其中 107 名自认为是非遗传从业者。超过四分之三的非遗传从业者报告说他们会将患者转介给遗传提供者以讨论心血管基因检测(n=82;76.6%)。超过一半的非遗传从业者报告说他们对可用的心血管基因检测类型(n=60;56%)和/或适当的心血管基因检测的订单(n=66;62%)缺乏信心。此外,45%(n=22)的非遗传从业者表示,他们在根据基因检测结果做出心脏病治疗建议时没有信心。在所有提供者中,教育计划最受欢迎的主题是风险评估(94%)和根据指南管理遗传性心脏疾病(91%)。

结论

本研究强调了在心脏病学领域获得遗传服务的重要性,以及解决非遗传提供者在心脏病学和基因检测方面信心和知识不足的必要性。需要进行更多的研究,包括来自服务不足地区的更多从业者。

https://cdn.ncbi.nlm.nih.gov/pmc/blobs/200c/9075463/c559b67cd7c8/JAH3-11-e023763-g004.jpg
https://cdn.ncbi.nlm.nih.gov/pmc/blobs/200c/9075463/837e230c72be/JAH3-11-e023763-g001.jpg
https://cdn.ncbi.nlm.nih.gov/pmc/blobs/200c/9075463/cc18121d1a02/JAH3-11-e023763-g002.jpg
https://cdn.ncbi.nlm.nih.gov/pmc/blobs/200c/9075463/7ceebb784d89/JAH3-11-e023763-g003.jpg
https://cdn.ncbi.nlm.nih.gov/pmc/blobs/200c/9075463/c559b67cd7c8/JAH3-11-e023763-g004.jpg
https://cdn.ncbi.nlm.nih.gov/pmc/blobs/200c/9075463/837e230c72be/JAH3-11-e023763-g001.jpg
https://cdn.ncbi.nlm.nih.gov/pmc/blobs/200c/9075463/cc18121d1a02/JAH3-11-e023763-g002.jpg
https://cdn.ncbi.nlm.nih.gov/pmc/blobs/200c/9075463/7ceebb784d89/JAH3-11-e023763-g003.jpg
https://cdn.ncbi.nlm.nih.gov/pmc/blobs/200c/9075463/c559b67cd7c8/JAH3-11-e023763-g004.jpg

相似文献

1
Practitioners' Confidence and Desires for Education in Cardiovascular and Sudden Cardiac Death Genetics.心血管病和心源性猝死遗传学教育的从业者信心和需求。
J Am Heart Assoc. 2022 Apr 5;11(7):e023763. doi: 10.1161/JAHA.121.023763. Epub 2022 Mar 24.
2
Evaluation of Clinical Practices Related to Variants of Uncertain Significance Results in Inherited Cardiac Arrhythmia and Inherited Cardiomyopathy Genes.评估与遗传性心律失常和遗传性心肌病基因中不确定意义变异结果相关的临床实践。
Circ Genom Precis Med. 2020 Aug;13(4):e002789. doi: 10.1161/CIRCGEN.119.002789. Epub 2020 Jun 10.
3
Integrating clinical genetics in cardiology: Current practices and recommendations for education.将临床遗传学融入心脏病学:当前的实践和教育建议。
Genet Med. 2022 May;24(5):1054-1061. doi: 10.1016/j.gim.2022.02.003. Epub 2022 Mar 24.
4
Opinion seeking behaviour of healthcare providers in ambulatory cardiovascular care in Germany: a cross-sectional study.德国门诊心血管护理中医疗保健提供者的意见寻求行为:一项横断面研究。
BMC Health Serv Res. 2022 Nov 23;22(1):1404. doi: 10.1186/s12913-022-08667-y.
5
Enhanced congenital cardiac surgery knowledge with multidisciplinary collaborative education series for paediatric cardiology fellows and nurse practitioners.多学科协作教育系列提高儿科心脏病学研究员和护士从业者的先天性心脏病外科学知识。
Cardiol Young. 2024 Mar;34(3):519-523. doi: 10.1017/S1047951123002603. Epub 2023 Jul 26.
6
Current approach to genetic testing and genetic evaluation referrals for adults with congenital heart disease.成人先天性心脏病患者基因检测及基因评估转诊的当前方法。
Front Genet. 2024 May 13;15:1398887. doi: 10.3389/fgene.2024.1398887. eCollection 2024.
7
Improving usual care after sudden death in the young with focus on inherited cardiac diseases (the CAREFUL study): a community-based intervention study.改善年轻人群心源性猝死常规照护(CAREFUL 研究):一项基于社区的干预研究。
Europace. 2016 Apr;18(4):592-601. doi: 10.1093/europace/euv059. Epub 2015 Apr 1.
8
Molecular genetic testing in athletes: Why and when a position statement from the Italian Society of Sports Cardiology.运动员的分子遗传学检测:为何以及何时出台意大利运动心脏病学会立场声明。
Int J Cardiol. 2022 Oct 1;364:169-177. doi: 10.1016/j.ijcard.2022.05.071. Epub 2022 Jun 1.
9
Inter-Rater Reliability and Downstream Financial Implications of Electrocardiography Screening in Young Athletes.年轻运动员心电图筛查的评分者间信度及下游财务影响
Circ Cardiovasc Qual Outcomes. 2017 Aug;10(8):e003306. doi: 10.1161/CIRCOUTCOMES.116.003306.
10
Recommendations for genetic testing and counselling after sudden cardiac death: practical aspects for Swiss practice.心脏性猝死后基因检测与咨询的建议:瑞士实践的实际要点
Swiss Med Wkly. 2018 Jul 12;148:w14638. doi: 10.57187/smw.2018.14638. eCollection 2018.

引用本文的文献

1
Implementation of genetic testing for heritable cardiac conditions: A scoping review.遗传性心脏疾病基因检测的实施:一项范围综述。
Genet Med Open. 2025 Jun 30;3:103441. doi: 10.1016/j.gimo.2025.103441. eCollection 2025.
2
Self-assessed knowledge of genomic medicine among non-genetics physicians - results from a nationwide Swedish survey.非遗传学医生对基因组医学的自我评估知识——瑞典全国性调查结果
J Community Genet. 2025 Jul 18. doi: 10.1007/s12687-025-00818-y.
3
Cardiologists' Perceptions of Cardiogenetic Testing and Management.

本文引用的文献

1
Integrating clinical genetics in cardiology: Current practices and recommendations for education.将临床遗传学融入心脏病学:当前的实践和教育建议。
Genet Med. 2022 May;24(5):1054-1061. doi: 10.1016/j.gim.2022.02.003. Epub 2022 Mar 24.
2
Current Knowledge of Hypertrophic Cardiomyopathy Among Health Care Providers in Sweden.瑞典医疗保健人员对肥厚型心肌病的当前认知
Cureus. 2020 Dec 22;12(12):e12220. doi: 10.7759/cureus.12220.
3
Epidemiology of the inherited cardiomyopathies.遗传性心肌病的流行病学。
心脏病专家对心脏遗传学检测与管理的认知
JACC Adv. 2025 Jul 3;4(8):101910. doi: 10.1016/j.jacadv.2025.101910.
4
Implementing Precision Medicine for Dilated Cardiomyopathy: Insights From the DCM Consortium.实施扩张型心肌病的精准医学:来自扩张型心肌病联盟的见解
Circ Genom Precis Med. 2025 Aug;18(4):e005078. doi: 10.1161/CIRCGEN.125.005078. Epub 2025 Jun 18.
5
Mapping the use of cardiovascular genetic services in pediatric clinical care: challenges and opportunities for improvement.绘制儿科临床护理中心血管遗传服务的使用情况:改进面临的挑战与机遇
Front Genet. 2025 Jan 7;15:1476466. doi: 10.3389/fgene.2024.1476466. eCollection 2024.
6
Implementing Precision Medicine for Dilated Cardiomyopathy: Insights from The DCM Consortium.实施扩张型心肌病的精准医学:来自扩张型心肌病联盟的见解
medRxiv. 2024 Nov 26:2024.11.22.24317816. doi: 10.1101/2024.11.22.24317816.
7
Development and Assessment of a Point-of-Care Application (Genomic Medicine Guidance) for Heritable Thoracic Aortic Disease.遗传性胸主动脉疾病即时护理应用程序(基因组医学指南)的开发与评估
JMIRx Med. 2024 Oct 8;5:e55903. doi: 10.2196/55903.
8
The UTHealth Houston Adult Cardiovascular Genomics Certificate Program: Efficacy and Impact on Healthcare Professionals.休斯顿德克萨斯大学健康科学中心成人心血管基因组学证书项目:对医疗保健专业人员的功效与影响。
Res Sq. 2024 Jun 13:rs.3.rs-4469272. doi: 10.21203/rs.3.rs-4469272/v1.
9
The Expansion of Genetic Testing in Cardiovascular Medicine: Preparing the Cardiology Community for the Changing Landscape.遗传检测在心血管医学中的扩展:为心血管医学领域的变化做好准备。
Curr Cardiol Rep. 2024 Mar;26(3):135-146. doi: 10.1007/s11886-023-02003-4. Epub 2024 Jan 26.
10
Genomic Medicine Guidance: A Point-of-Care App for Heritable Thoracic Aortic Diseases.基因组医学指南:一种用于遗传性胸主动脉疾病的床边应用程序。
medRxiv. 2023 Dec 26:2023.12.22.23299696. doi: 10.1101/2023.12.22.23299696.
Nat Rev Cardiol. 2021 Jan;18(1):22-36. doi: 10.1038/s41569-020-0428-2. Epub 2020 Sep 7.
4
Genetic Testing for Inherited Cardiovascular Diseases: A Scientific Statement From the American Heart Association.遗传性心血管疾病的基因检测:美国心脏协会的科学声明。
Circ Genom Precis Med. 2020 Aug;13(4):e000067. doi: 10.1161/HCG.0000000000000067. Epub 2020 Jul 23.
5
Epidemiology of inherited arrhythmias.遗传性心律失常的流行病学。
Nat Rev Cardiol. 2020 Apr;17(4):205-215. doi: 10.1038/s41569-019-0266-2. Epub 2019 Oct 3.
6
The REDCap consortium: Building an international community of software platform partners.REDCap 联盟:构建软件平台合作伙伴的国际社区。
J Biomed Inform. 2019 Jul;95:103208. doi: 10.1016/j.jbi.2019.103208. Epub 2019 May 9.
7
Genotype and Lifetime Burden of Disease in Hypertrophic Cardiomyopathy: Insights from the Sarcomeric Human Cardiomyopathy Registry (SHaRe).肥厚型心肌病的基因型与疾病终生负担:来自肌节性人类心肌病注册研究(SHaRe)的见解。
Circulation. 2018 Oct 2;138(14):1387-1398. doi: 10.1161/CIRCULATIONAHA.117.033200. Epub 2018 Aug 23.
8
Genetic Evaluation of Cardiomyopathy-A Heart Failure Society of America Practice Guideline.心肌病的遗传学评估——美国心力衰竭学会实践指南。
J Card Fail. 2018 May;24(5):281-302. doi: 10.1016/j.cardfail.2018.03.004. Epub 2018 Mar 19.
9
2017 AHA/ACC/HRS Guideline for Management of Patients With Ventricular Arrhythmias and the Prevention of Sudden Cardiac Death: A Report of the American College of Cardiology/American Heart Association Task Force on Clinical Practice Guidelines and the Heart Rhythm Society.2017年美国心脏协会/美国心脏病学会/心律学会室性心律失常患者管理和心脏性猝死预防指南:美国心脏病学会/美国心脏协会临床实践指南工作组和心律学会的报告
Circulation. 2018 Sep 25;138(13):e272-e391. doi: 10.1161/CIR.0000000000000549.
10
Increasing confidence and changing behaviors in primary care providers engaged in genetic counselling.提高初级保健提供者在遗传咨询方面的信心和改变行为。
BMC Med Educ. 2017 Sep 13;17(1):163. doi: 10.1186/s12909-017-0982-4.