Lim Hyeon-Ji, Kim Ha-Rim, Jeong Su-Ji, Yang Hee-Jong, Ryu Myeong Seon, Jeong Do-Youn, Kim Seon-Young, Jung Chan-Hun
Jeonju AgroBio-Materials Institute, Wonjangdong-gil 111-27, Jeonju 54810, Korea.
Microbial Institute for Fermentation Industry, Sunchang 56048, Korea.
Foods. 2022 Mar 8;11(6):776. doi: 10.3390/foods11060776.
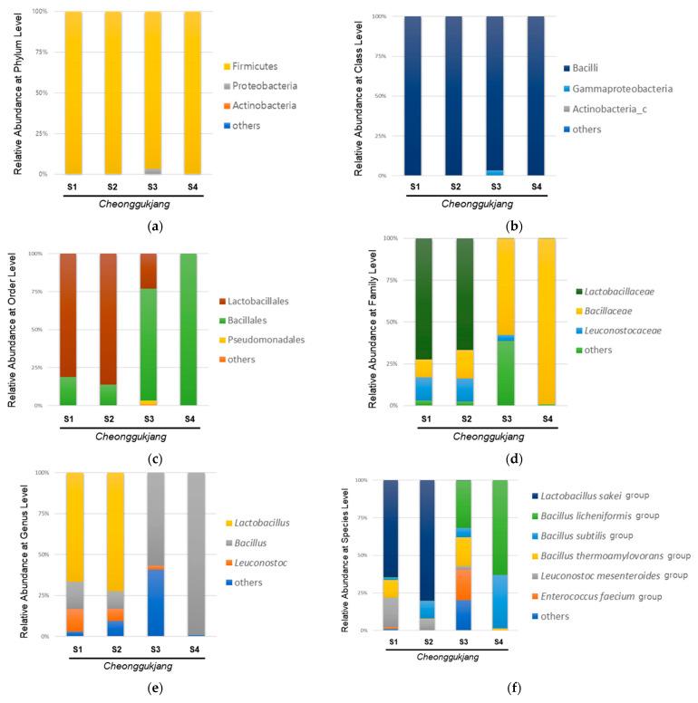
Inflammatory bowel disease (IBD) is a chronic inflammatory disease, and the incidence of IBD is increasing every year owing to changes in dietary structure. Although the exact pathogenesis of IBD is still unclear, recent evidence suggests that gut dysbiosis is closely associated with IBD pathogenesis. is a traditional Korean fermented soybean paste produced using traditional and industrial methods, and contains probiotics, which affect the gut microbiota composition. However, the protective effect of against IBD is unknown. In this study, we investigated the bacterial community structure of traditional and commercial samples, as well as the protective effect of on a dextran sulfate sodium (DSS)-induced colitis mouse model. Traditional and commercial were found to contain various type of useful probiotics in their bacterial community structure. reduced the progression of DSS-induced symptoms, such as body weight loss, colonic shortening, disease activity index, and histological changes. Further, improved the intestinal epithelial barrier integrity on DSS-induced colitis mice. In addition, suppressed the expression of proinflammatory cytokines and inflammatory mediators through the inactivation of NF-κB and MAPK signaling pathways. These results indicate that exerts protective effects against DSS-induced colitis, suggesting its possible application as a functional food for improving inflammatory diseases.
炎症性肠病(IBD)是一种慢性炎症性疾病,由于饮食结构的变化,IBD的发病率逐年上升。尽管IBD的确切发病机制仍不清楚,但最近的证据表明肠道微生物群失调与IBD发病机制密切相关。 是一种采用传统和工业方法生产的韩国传统发酵大豆酱,含有益生菌,可影响肠道微生物群组成。然而, 对IBD的保护作用尚不清楚。在本研究中,我们调查了传统和市售 样品的细菌群落结构,以及 对葡聚糖硫酸钠(DSS)诱导的结肠炎小鼠模型的保护作用。发现传统和市售 的细菌群落结构中含有各种有用的益生菌。 减轻了DSS诱导的症状进展,如体重减轻、结肠缩短、疾病活动指数和组织学变化。此外, 改善了DSS诱导的结肠炎小鼠的肠道上皮屏障完整性。此外, 通过使NF-κB和MAPK信号通路失活,抑制了促炎细胞因子和炎症介质的表达。这些结果表明, 对DSS诱导的结肠炎具有保护作用,表明其可能作为改善炎症性疾病的功能性食品应用。