• 文献检索
  • 文档翻译
  • 深度研究
  • 学术资讯
  • Suppr Zotero 插件Zotero 插件
  • 邀请有礼
  • 套餐&价格
  • 历史记录
应用&插件
Suppr Zotero 插件Zotero 插件浏览器插件Mac 客户端Windows 客户端微信小程序
定价
高级版会员购买积分包购买API积分包
服务
文献检索文档翻译深度研究API 文档MCP 服务
关于我们
关于 Suppr公司介绍联系我们用户协议隐私条款
关注我们

Suppr 超能文献

核心技术专利:CN118964589B侵权必究
粤ICP备2023148730 号-1Suppr @ 2026

文献检索

告别复杂PubMed语法,用中文像聊天一样搜索,搜遍4000万医学文献。AI智能推荐,让科研检索更轻松。

立即免费搜索

文件翻译

保留排版,准确专业,支持PDF/Word/PPT等文件格式,支持 12+语言互译。

免费翻译文档

深度研究

AI帮你快速写综述,25分钟生成高质量综述,智能提取关键信息,辅助科研写作。

立即免费体验

F-FDG PET/CT代谢参数在预测接受恶性黑色素瘤再分期患者总生存期方面的应用

The Use of F-FDG PET/CT Metabolic Parameters in Predicting Overall Survival in Patients Undergoing Restaging for Malignant Melanoma.

作者信息

Hlongwa Khanyisile N, Mokoala Kgomotso M G, Matsena-Zingoni Zvifadzo, Vorster Mariza, Sathekge Mike M

机构信息

Department of Nuclear Medicine, University of Pretoria and Steve Biko Academic Hospital, Pretoria 0001, South Africa.

Division of Epidemiology and Biostatistics, School of Public Health, University of Witwatersrand, Johannesburg 2193, South Africa.

出版信息

Diagnostics (Basel). 2022 Feb 25;12(3):595. doi: 10.3390/diagnostics12030595.

DOI:10.3390/diagnostics12030595
PMID:35328148
原文链接:https://pmc.ncbi.nlm.nih.gov/articles/PMC8947629/
Abstract

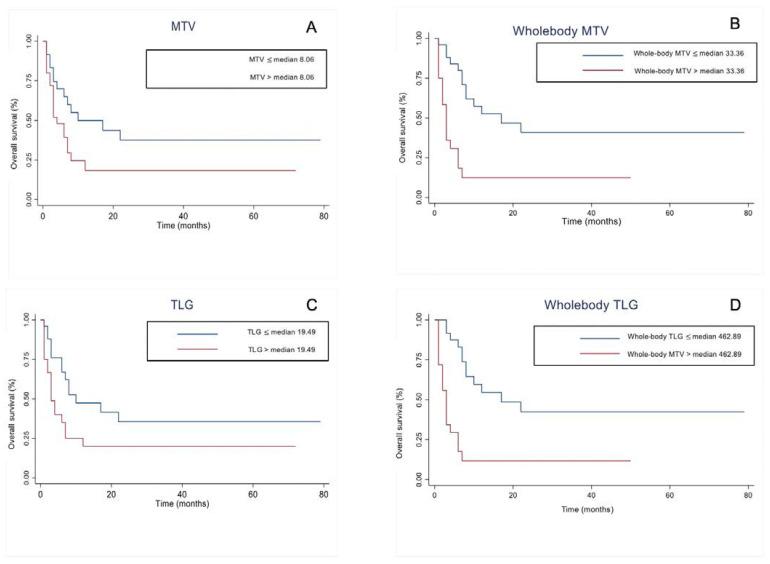
Malignant melanoma is one of the more aggressive cancers in the skin, with an increasing incidence every year. Melanoma has a better prognosis if diagnosed early and survival tends to decrease once the disease has metastasized. Positron emission tomography (PET) with 2-[F]fluoro-2-deoxy-D-glucose (F-FDG) has been used extensively over the past two decades in staging and assessing responses to therapy in patients with melanoma. Metabolic PET parameters have been demonstrated to be independent prognostic factors for progression-free survival (PFS) and overall survival (OS) in different malignancies, melanoma included. In our study, we evaluated the metabolic parameters of F-FDG PET/CT (flourodeoxyglucose positron emission tomography/computed tomography) in predicting the overall survival in patients with malignant melanoma who presented for restaging. Metabolic PET parameters (maximum standardized uptake value (SUVmax), metabolic tumor volume (MTV) and total lesion glycolysis (TLG)) of the primary tumor, as well as whole-body MTV and TLG of the metastatic disease, were measured. Survival curves for OS were constructed and mortality rates were determined using the different PET variables. Forty-nine patients who presented for a PET/CT restaging in melanoma were included in this study. We found that non-survivors had significantly higher median MTV (11.86 cm vs. 5.68 cm; -value = 0.022), TLG (3125 vs. 14; -value = 0.0357), whole-body MTV (53.9 cm vs. 14.4 cm; -value = 0.0076) and whole-body TLG (963.4 vs. 114.6; -value = 0.0056). This demonstrated that high MTV and TLG values of the primary tumor and whole-body TLG as quantified by F-FDG PET/CT were prognostic factors for overall survival. The findings may potentially guide clinicians in decision making and identifying patients with a poorer prognosis.

摘要

恶性黑色素瘤是皮肤中侵袭性较强的癌症之一,其发病率逐年上升。如果早期诊断,黑色素瘤的预后较好,一旦疾病发生转移,生存率往往会下降。在过去二十年中,2-[F]氟-2-脱氧-D-葡萄糖(F-FDG)正电子发射断层扫描(PET)已广泛用于黑色素瘤患者的分期和评估治疗反应。代谢PET参数已被证明是不同恶性肿瘤(包括黑色素瘤)无进展生存期(PFS)和总生存期(OS)的独立预后因素。在我们的研究中,我们评估了F-FDG PET/CT(氟脱氧葡萄糖正电子发射断层扫描/计算机断层扫描)的代谢参数,以预测进行再分期的恶性黑色素瘤患者的总生存期。测量了原发性肿瘤的代谢PET参数(最大标准化摄取值(SUVmax)、代谢肿瘤体积(MTV)和总病灶糖酵解(TLG)),以及转移性疾病的全身MTV和TLG。构建了OS的生存曲线,并使用不同的PET变量确定死亡率。本研究纳入了49例进行黑色素瘤PET/CT再分期的患者。我们发现,非幸存者的中位MTV(11.86 cm对5.68 cm;P值 = 0.022)、TLG(3125对14;P值 = 0.0357)、全身MTV(53.9 cm对14.4 cm;P值 = 0.0076)和全身TLG(963.4对114.6;P值 = 0.0056)显著更高。这表明,F-FDG PET/CT定量的原发性肿瘤的高MTV和TLG值以及全身TLG是总生存期的预后因素。这些发现可能会潜在地指导临床医生进行决策并识别预后较差的患者。

https://cdn.ncbi.nlm.nih.gov/pmc/blobs/21aa/8947629/29df603d94c6/diagnostics-12-00595-g004.jpg
https://cdn.ncbi.nlm.nih.gov/pmc/blobs/21aa/8947629/acc676752a9c/diagnostics-12-00595-g001.jpg
https://cdn.ncbi.nlm.nih.gov/pmc/blobs/21aa/8947629/3131a7e3b0e6/diagnostics-12-00595-g002.jpg
https://cdn.ncbi.nlm.nih.gov/pmc/blobs/21aa/8947629/2aae86cbbb6d/diagnostics-12-00595-g003.jpg
https://cdn.ncbi.nlm.nih.gov/pmc/blobs/21aa/8947629/29df603d94c6/diagnostics-12-00595-g004.jpg
https://cdn.ncbi.nlm.nih.gov/pmc/blobs/21aa/8947629/acc676752a9c/diagnostics-12-00595-g001.jpg
https://cdn.ncbi.nlm.nih.gov/pmc/blobs/21aa/8947629/3131a7e3b0e6/diagnostics-12-00595-g002.jpg
https://cdn.ncbi.nlm.nih.gov/pmc/blobs/21aa/8947629/2aae86cbbb6d/diagnostics-12-00595-g003.jpg
https://cdn.ncbi.nlm.nih.gov/pmc/blobs/21aa/8947629/29df603d94c6/diagnostics-12-00595-g004.jpg

相似文献

1
The Use of F-FDG PET/CT Metabolic Parameters in Predicting Overall Survival in Patients Undergoing Restaging for Malignant Melanoma.F-FDG PET/CT代谢参数在预测接受恶性黑色素瘤再分期患者总生存期方面的应用
Diagnostics (Basel). 2022 Feb 25;12(3):595. doi: 10.3390/diagnostics12030595.
2
Prognostic Value of Volumetric Parameters Measured by Pretreatment 18F FDG PET/CT in Patients With Cutaneous Malignant Melanoma.预处理 18F-FDG PET/CT 测量的容积参数对皮肤恶性黑色素瘤患者的预后价值。
Clin Nucl Med. 2016 Jun;41(6):e266-73. doi: 10.1097/RLU.0000000000001205.
3
Prognostic value of metabolic tumor burden from (18)F-FDG PET in surgical patients with non-small-cell lung cancer.(18)F-FDG PET 代谢肿瘤负荷对非小细胞肺癌手术患者的预后价值。
Acad Radiol. 2013 Jan;20(1):32-40. doi: 10.1016/j.acra.2012.07.002. Epub 2012 Sep 19.
4
Prognostic Value of Pretreatment Metabolic Tumor Volume and Total Lesion Glycolysis Using 18F-FDG PET/CT in Patients With Metastatic Renal Cell Carcinoma Treated With Anti-Vascular Endothelial Growth Factor-Targeted Agents.预处理代谢肿瘤体积和 18F-FDG PET/CT 总病变糖酵解对接受抗血管内皮生长因子靶向药物治疗的转移性肾细胞癌患者的预后价值。
Clin Nucl Med. 2017 May;42(5):e235-e241. doi: 10.1097/RLU.0000000000001612.
5
Prognostic value of metabolic tumor burden on 18F-FDG PET in nonsurgical patients with non-small cell lung cancer.代谢肿瘤负荷 18F-FDG PET 在非手术治疗的非小细胞肺癌患者中的预后价值。
Eur J Nucl Med Mol Imaging. 2012 Jan;39(1):27-38. doi: 10.1007/s00259-011-1934-6. Epub 2011 Sep 23.
6
Artificial intelligence-based, volumetric assessment of the bone marrow metabolic activity in [F]FDG PET/CT predicts survival in multiple myeloma.基于人工智能的 [F]FDG PET/CT 骨髓代谢活性容积评估可预测多发性骨髓瘤的生存情况。
Eur J Nucl Med Mol Imaging. 2024 Jul;51(8):2293-2307. doi: 10.1007/s00259-024-06668-z. Epub 2024 Mar 8.
7
Prognostic significance of metabolic tumor volume and total lesion glycolysis in patients with advanced cervical carcinoma.代谢肿瘤体积和总病变糖酵解在晚期宫颈癌患者中的预后意义
Rev Esp Med Nucl Imagen Mol (Engl Ed). 2019 Jan-Feb;38(1):17-21. doi: 10.1016/j.remn.2018.08.001. Epub 2018 Oct 23.
8
Prognostic Value of Metabolic Tumor Volume and Total Lesion Glycolysis on Preoperative ¹⁸F-FDG PET/CT in Patients with Pancreatic Cancer.术前 ¹⁸F-FDG PET/CT 代谢肿瘤体积和总病变糖酵解对胰腺癌患者的预后价值。
J Nucl Med. 2014 Jun;55(6):898-904. doi: 10.2967/jnumed.113.131847. Epub 2014 Apr 7.
9
Prognostic value of preoperative metabolic tumor volume and total lesion glycolysis measured by 18F-FDG PET/CT in salivary gland carcinomas.18F-FDG PET/CT 测量术前代谢肿瘤体积和总病变糖酵解对唾液腺癌的预后价值。
J Nucl Med. 2013 Jul;54(7):1032-8. doi: 10.2967/jnumed.112.116053. Epub 2013 May 13.
10
[Prognostic value of pretreatment (18)F-FDG PET-CT for patients with advanced diffuse large B-cell lymphoma].[预处理(18)F-FDG PET-CT对晚期弥漫性大B细胞淋巴瘤患者的预后价值]
Zhonghua Zhong Liu Za Zhi. 2018 Jul 23;40(7):528-533. doi: 10.3760/cma.j.issn.0253-3766.2018.07.009.

引用本文的文献

1
Accuracy of PET-CT to Assess the Extent of Nodal Disease in Patients with Clinical Stage III Melanoma Following Neoadjuvant Treatment.PET-CT评估新辅助治疗后临床III期黑色素瘤患者淋巴结病变范围的准确性。
Ann Surg Oncol. 2025 Aug 26. doi: 10.1245/s10434-025-18191-y.
2
F-FDG PET/CT assessment of metabolic tumor burden predicts survival in patients with metastatic posterior uveal melanoma.F-FDG PET/CT对代谢肿瘤负荷的评估可预测转移性后葡萄膜黑色素瘤患者的生存情况。
Sci Rep. 2025 Feb 3;15(1):4110. doi: 10.1038/s41598-025-88625-w.
3
Prognostic Value of Baseline F-FDG PET/CT to Predict Brain Metastasis Development in Melanoma Patients.

本文引用的文献

1
Prognostic value of 2-[F]FDG PET-CT in metastatic melanoma patients receiving immunotherapy.2-[F]FDG PET-CT 在接受免疫治疗的转移性黑色素瘤患者中的预后价值。
Eur J Radiol. 2022 Jan;146:110107. doi: 10.1016/j.ejrad.2021.110107. Epub 2021 Dec 13.
2
The role of patient records in research: A bibliometric analysis of publications from an academic medical center in Taiwan.患者记录在研究中的作用:对台湾一家学术医学中心出版物的文献计量分析。
J Chin Med Assoc. 2021 Jul 1;84(7):718-721. doi: 10.1097/JCMA.0000000000000554.
3
The Association of Tumor Burden by 18F-FDG PET/CT and Survival in Vulvar Carcinoma.
基线F-FDG PET/CT对预测黑色素瘤患者脑转移发生的预后价值
Cancers (Basel). 2023 Dec 26;16(1):127. doi: 10.3390/cancers16010127.
4
Skin Cancer Pathobiology at a Glance: A Focus on Imaging Techniques and Their Potential for Improved Diagnosis and Surveillance in Clinical Cohorts.皮肤癌病理生物学速览:聚焦影像学技术及其在临床队列中改善诊断和监测的潜力。
Int J Mol Sci. 2023 Jan 5;24(2):1079. doi: 10.3390/ijms24021079.
5
Development of a Hybrid-Imaging-Based Prognostic Index for Metastasized-Melanoma Patients in Whole-Body 18F-FDG PET/CT and PET/MRI Data.基于全身18F-FDG PET/CT和PET/MRI数据为转移性黑色素瘤患者开发基于混合成像的预后指数。
Diagnostics (Basel). 2022 Aug 30;12(9):2102. doi: 10.3390/diagnostics12092102.
6
Editorial on Special Issue "Quantitative PET and SPECT".关于“定量正电子发射断层扫描(PET)和单光子发射计算机断层扫描(SPECT)”特刊的社论
Diagnostics (Basel). 2022 Aug 16;12(8):1989. doi: 10.3390/diagnostics12081989.
18F-FDG PET/CT 检测肿瘤负荷与外阴癌生存的相关性。
Clin Nucl Med. 2021 May 1;46(5):375-381. doi: 10.1097/RLU.0000000000003549.
4
Clinical and prognostic value of tumor volumetric parameters in melanoma patients undergoing F-FDG-PET/CT: a comparison with serologic markers of tumor burden and inflammation.黑色素瘤患者行 F-FDG-PET/CT 检查时肿瘤体积参数的临床及预后价值:与肿瘤负荷和炎症的血清学标志物的比较。
Cancer Imaging. 2020 Jul 6;20(1):44. doi: 10.1186/s40644-020-00322-1.
5
Clinical and Prognostic Value of F-FDG-PET/CT in the Restaging Process of Recurrent Cutaneous Melanoma.F-FDG-PET/CT在复发性皮肤黑色素瘤再分期过程中的临床及预后价值
Curr Radiopharm. 2020;13(1):42-47. doi: 10.2174/1874471012666191009161826.
6
The utility of PET-CT in the staging and management of advanced and recurrent malignant melanoma.PET-CT在晚期和复发性恶性黑色素瘤分期及管理中的应用
S Afr J Surg. 2019 Sep;57(3):44-49.
7
The incidence of melanoma in South Africa: An exploratory analysis of National Cancer Registry data from 2005 to 2013 with a specific focus on melanoma in black Africans.南非黑色素瘤发病率:2005 年至 2013 年国家癌症登记处数据的探索性分析,特别关注黑非洲人中的黑色素瘤。
S Afr Med J. 2019 Mar 29;109(4):246-253. doi: 10.7196/SAMJ.2019.v109i4.13565.
8
Prognostic value of 18F-FDG PET/CT functional parameters in patients with head and neck cancer: a meta-analysis.18F-FDG PET/CT功能参数对头颈部癌患者的预后价值:一项荟萃分析。
Nucl Med Commun. 2019 Apr;40(4):361-369. doi: 10.1097/MNM.0000000000000974.
9
Prognostic value of baseline metabolic tumor volume measured on F-fluorodeoxyglucose positron emission tomography/computed tomography in melanoma patients treated with ipilimumab therapy.氟代脱氧葡萄糖正电子发射断层扫描/计算机断层扫描基线代谢肿瘤体积对接受伊匹单抗治疗的黑色素瘤患者的预后价值。
Eur J Nucl Med Mol Imaging. 2019 Apr;46(4):930-939. doi: 10.1007/s00259-018-4211-0. Epub 2018 Nov 28.
10
Prognostic Value of Volumetric Parameters of Pretreatment 18F-FDG PET/CT in Esophageal Cancer: A Systematic Review and Meta-analysis.预处理 18F-FDG PET/CT 容积参数对食管癌的预后价值:系统评价和荟萃分析。
Clin Nucl Med. 2018 Dec;43(12):887-894. doi: 10.1097/RLU.0000000000002291.