Suppr超能文献

薄荷醇漱口液在热环境中进行 3 分钟最大循环性能测试时,与冷水和安慰剂漱口液相比,能维持相对的功率输出。

Menthol Mouth Rinsing Maintains Relative Power Production during Three-Minute Maximal Cycling Performance in the Heat Compared to Cold Water and Placebo Rinsing.

机构信息

Centre for Sport Science & Human Performance, Waikato Institute of Technology, Hamilton 3200, New Zealand.

School of Health and Life Sciences, Teesside University, Middlesbrough TS1 3BX, UK.

出版信息

Int J Environ Res Public Health. 2022 Mar 16;19(6):3527. doi: 10.3390/ijerph19063527.

Abstract

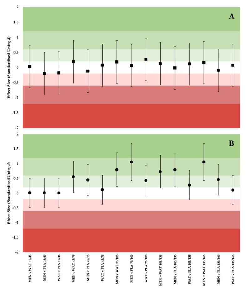
Previous menthol studies have demonstrated ergogenic effects in endurance-based activity. However, there is a need for research in sports whose physiological requirements exceed maximal aerobic capacity. This study assessed the effects of 0.1% menthol mouth-rinsing upon a modified three-minute maximal test in the heat (33.0 ± 3.0 °C; RH 46.0 ± 5.0%). In a randomised crossover single blind placebo-controlled study, 11 participants completed three modified maximal tests, where each trial included a different mouth rinse: either menthol (MEN), cold water (WAT) or placebo (PLA). Participants were asked to rate their thermal comfort (TC), thermal sensation (TS) and rating of perceived exertion (RPE) throughout the test. Heart rate, core temperature, oxygen uptake (VO), ventilation (VE) and respiratory exchange ratio (RER) were monitored continuously throughout the test, alongside cycling power variables (W; W/kg). A blood lactate (BLa) level was taken pre- and post- test. Small to moderate effects (Cohen's and accompanying 90% confidence intervals) between solutions MEN, WAT and PLA were observed towards the end of the test in relation to relative power. Specifically, from 75-105 s between solutions MEN and WAT (ES: 0.795; 90% CI: 0.204 to 1.352) and MEN and PLA (ES: 1.059; 90% CI: 0.412 to 1.666), this continued between MEN and WAT (ES: 0.729; 90% CI: 0.152 to 1.276) and MEN and PLA (ES: 0.791; 90% CI: 0.202 to 1.348) from 105-135 s. Between 135-165 s there was a moderate difference between solutions MEN and WAT (ES: 1.058; 90% CI: 0.411 to 1.665). This indicates participants produced higher relative power for longer durations with the addition of the menthol mouth rinse, compared to cold water or placebo. The use of menthol (0.1%) as a mouth rinse showed small performance benefits for short duration high intensity exercise in the heat.

摘要

先前的薄荷醇研究表明,其在耐力型运动中有增强运动表现的作用。然而,对于那些生理需求超过最大有氧能力的运动,还需要进行相关研究。本研究评估了 0.1%薄荷醇漱口对在热环境(33.0 ± 3.0°C;相对湿度 46.0 ± 5.0%)下改良三分钟最大测试的影响。在一项随机交叉单盲安慰剂对照研究中,11 名参与者完成了三项改良的最大测试,每次测试使用不同的漱口液:薄荷醇(MEN)、冷水(WAT)或安慰剂(PLA)。在整个测试过程中,参与者被要求对热舒适度(TC)、热感觉(TS)和感知用力程度(RPE)进行评分。在整个测试过程中,连续监测心率、核心体温、摄氧量(VO)、通气量(VE)和呼吸交换率(RER),并监测自行车功率变量(W;W/kg)。在测试前后采集血乳酸(BLa)水平。在测试结束时,观察到 MEN、WAT 和 PLA 三种溶液之间在相对功率方面存在较小至中等的效果(Cohen's 和伴随的 90%置信区间)。具体来说,在 75-105 秒之间,MEN 和 WAT 之间(ES:0.795;90%CI:0.204 至 1.352)和 MEN 和 PLA 之间(ES:1.059;90%CI:0.412 至 1.666),MEN 和 WAT 之间(ES:0.729;90%CI:0.152 至 1.276)和 MEN 和 PLA 之间(ES:0.791;90%CI:0.202 至 1.348)持续存在这种效果。在 105-135 秒之间,MEN 和 WAT 之间存在中等差异(ES:1.058;90%CI:0.411 至 1.665)。这表明,与冷水或安慰剂相比,参与者在使用薄荷醇漱口时,能够更长时间地产生更高的相对功率。在热环境中,使用 0.1%的薄荷醇作为漱口液可在短时间内提高高强度运动的表现。

https://cdn.ncbi.nlm.nih.gov/pmc/blobs/dd56/8949398/5525e69edcfd/ijerph-19-03527-g001.jpg

文献检索

告别复杂PubMed语法,用中文像聊天一样搜索,搜遍4000万医学文献。AI智能推荐,让科研检索更轻松。

立即免费搜索

文件翻译

保留排版,准确专业,支持PDF/Word/PPT等文件格式,支持 12+语言互译。

免费翻译文档

深度研究

AI帮你快速写综述,25分钟生成高质量综述,智能提取关键信息,辅助科研写作。

立即免费体验