Suppr超能文献

女性手指长度比例、男性化程度与性取向的关系:一项相关性研究。

The relationship between finger length ratio, masculinity, and sexual orientation in women: A correlational study.

机构信息

Department of Psychology, University of Essex, Colchester, United Kingdom.

School of Psychology, University of East London, Stratford, United Kingdom.

出版信息

PLoS One. 2022 Mar 28;17(3):e0259637. doi: 10.1371/journal.pone.0259637. eCollection 2022.

Abstract

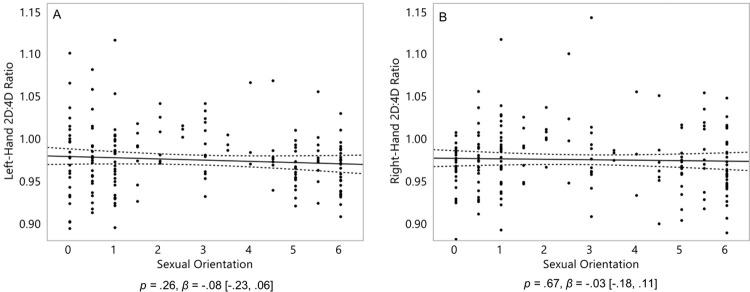
Homosexual women are, on average, more masculine in their appearance and behavior than heterosexual women. We hypothesized that their masculinity was influenced by exposure to elevated levels of prenatal androgen during early development. We recruited 199 women (including 67 homosexual women) and measured their masculinity via self-report and observer ratings. Our measure of prenatal androgen exposure was the ratio of the index to ring finger (2D:4D), which is hypothesized to be lower in women exposed to elevated levels of androgens during prenatal development. Homosexual women were substantially more masculine than heterosexual women in both self-report and observer ratings. However, homosexual women neither had more male-typical finger length ratios, nor did their finger length ratios relate to their masculinity in any predicted direction. Thus, we found no evidence that increased prenatal androgen exposure influenced masculinity in homosexual women.

摘要

同性恋女性在外表和行为上平均比异性恋女性更具有男性特征。我们假设,她们的男性特征是受早期发育过程中暴露于高水平的产前雄激素的影响。我们招募了 199 名女性(包括 67 名同性恋女性),通过自我报告和观察者评分来衡量她们的男性特征。我们衡量产前雄激素暴露的指标是食指与无名指的比率(2D:4D),据推测,在产前发育过程中暴露于高水平雄激素的女性的该比率会降低。同性恋女性在自我报告和观察者评分中都明显比异性恋女性更具男性特征。然而,同性恋女性的手指长度比例既没有更男性化,也没有表现出与男性特征的任何预期方向的关系。因此,我们没有发现证据表明,产前雄激素暴露增加会影响同性恋女性的男性特征。

https://cdn.ncbi.nlm.nih.gov/pmc/blobs/0a35/8959164/a48a84e54230/pone.0259637.g001.jpg

文献检索

告别复杂PubMed语法,用中文像聊天一样搜索,搜遍4000万医学文献。AI智能推荐,让科研检索更轻松。

立即免费搜索

文件翻译

保留排版,准确专业,支持PDF/Word/PPT等文件格式,支持 12+语言互译。

免费翻译文档

深度研究

AI帮你快速写综述,25分钟生成高质量综述,智能提取关键信息,辅助科研写作。

立即免费体验