• 文献检索
  • 文档翻译
  • 深度研究
  • 学术资讯
  • Suppr Zotero 插件Zotero 插件
  • 邀请有礼
  • 套餐&价格
  • 历史记录
应用&插件
Suppr Zotero 插件Zotero 插件浏览器插件Mac 客户端Windows 客户端微信小程序
定价
高级版会员购买积分包购买API积分包
服务
文献检索文档翻译深度研究API 文档MCP 服务
关于我们
关于 Suppr公司介绍联系我们用户协议隐私条款
关注我们

Suppr 超能文献

核心技术专利:CN118964589B侵权必究
粤ICP备2023148730 号-1Suppr @ 2026

文献检索

告别复杂PubMed语法,用中文像聊天一样搜索,搜遍4000万医学文献。AI智能推荐,让科研检索更轻松。

立即免费搜索

文件翻译

保留排版,准确专业,支持PDF/Word/PPT等文件格式,支持 12+语言互译。

免费翻译文档

深度研究

AI帮你快速写综述,25分钟生成高质量综述,智能提取关键信息,辅助科研写作。

立即免费体验

肿瘤坏死因子-α刺激基因-6:反映类风湿关节炎疾病活动的生物标志物。

Tumor necrosis factor-alpha stimulated gene-6: A biomarker reflecting disease activity in rheumatoid arthritis.

机构信息

Department of Clinical Laboratory, The Second Affiliated Hospital of Nanchang University, Nanchang, China.

Jiangxi Province Key Laboratory of Laboratory Medicine, Nanchang, China.

出版信息

J Clin Lab Anal. 2022 May;36(5):e24395. doi: 10.1002/jcla.24395. Epub 2022 Mar 30.

DOI:10.1002/jcla.24395
PMID:35353944
原文链接:https://pmc.ncbi.nlm.nih.gov/articles/PMC9102767/
Abstract

BACKGROUND

To explore the serum tumor necrosis factor-alpha stimulated gene-6 (TSG-6) level and its association with disease activity in rheumatoid arthritis (RA) patients.

METHODS

We recruited 176 RA patients, 178 non-RA patients (lupus erythematosus, osteoarthritis, ulcerative colitis, ankylosing spondylitis and psoriasis) and 71 healthy subjects. Serum TSG-6 levels were detected by enzyme-linked immunosorbent assay (ELISA). RA patients were divided into inactive RA and active RA groups by disease activity score of 28 joints based on C-reactive protein (DAS28-CRP). The receiver operating characteristic (ROC) curve and Spearman's rank correlation test analyzed the correlation between TSG-6 concentration and RA disease activity.

RESULTS

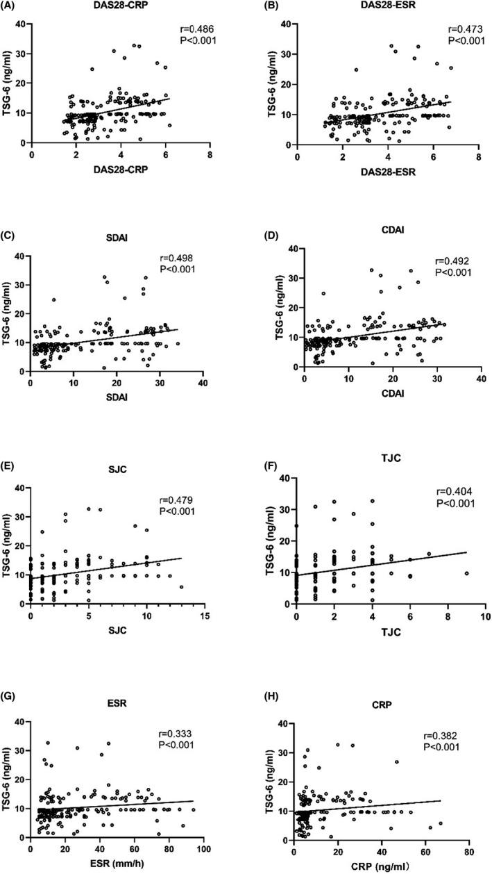
Tumor necrosis factor-alpha stimulated gene-6 levels in the RA group were increased (p < 0.01). TSG-6 concentrations indicated an upward tendency with increased disease activity; The area under the curve (AUC) of TSG-6 for diagnosing RA and assessing the severity of RA were 0.78 and 0.80, respectively; The combination of TSG-6 and anti-mutated citrullinated vimentin antibodies (anti-MCV) (sensitivity:98.4%)improved the diagnostic accuracy of RA. Binary logistic regression analysis showed that TSG-6 was an independent risk factor related to the severity of RA, and OR (95% CI) was 1.2 (1.003-1.453).

CONCLUSION

The TSG-6 levels in RA patients were elevated and related to disease activity. Therefore, TSG-6 may serve as a new potential biomarker for evaluating RA disease activity.

摘要

背景

探讨类风湿关节炎(RA)患者血清肿瘤坏死因子-α刺激基因-6(TSG-6)水平及其与疾病活动度的关系。

方法

招募了 176 例 RA 患者、178 例非 RA 患者(狼疮、骨关节炎、溃疡性结肠炎、强直性脊柱炎和银屑病)和 71 例健康对照者。采用酶联免疫吸附试验(ELISA)检测血清 TSG-6 水平。根据 C 反应蛋白(DAS28-CRP)计算的 28 关节疾病活动评分(DAS28)将 RA 患者分为活动期 RA 组和缓解期 RA 组。通过受试者工作特征(ROC)曲线和斯皮尔曼等级相关检验分析 TSG-6 浓度与 RA 疾病活动度的相关性。

结果

RA 组 TNF-α刺激基因-6(TSG-6)水平升高(p<0.01)。TSG-6 浓度随着疾病活动度的增加呈上升趋势;TSG-6 诊断 RA 和评估 RA 严重程度的曲线下面积(AUC)分别为 0.78 和 0.80;TSG-6 与抗突变型瓜氨酸波形蛋白抗体(anti-MCV)联合(敏感度:98.4%)提高了 RA 的诊断准确性。二元逻辑回归分析显示,TSG-6 是与 RA 严重程度相关的独立危险因素,OR(95%CI)为 1.2(1.003-1.453)。

结论

RA 患者 TSG-6 水平升高,与疾病活动度相关。因此,TSG-6 可能成为评估 RA 疾病活动度的新的潜在生物标志物。

https://cdn.ncbi.nlm.nih.gov/pmc/blobs/ae69/9102767/590a40807313/JCLA-36-e24395-g001.jpg
https://cdn.ncbi.nlm.nih.gov/pmc/blobs/ae69/9102767/fec60c26a25e/JCLA-36-e24395-g004.jpg
https://cdn.ncbi.nlm.nih.gov/pmc/blobs/ae69/9102767/8395991fe8c3/JCLA-36-e24395-g003.jpg
https://cdn.ncbi.nlm.nih.gov/pmc/blobs/ae69/9102767/590a40807313/JCLA-36-e24395-g001.jpg
https://cdn.ncbi.nlm.nih.gov/pmc/blobs/ae69/9102767/fec60c26a25e/JCLA-36-e24395-g004.jpg
https://cdn.ncbi.nlm.nih.gov/pmc/blobs/ae69/9102767/8395991fe8c3/JCLA-36-e24395-g003.jpg
https://cdn.ncbi.nlm.nih.gov/pmc/blobs/ae69/9102767/590a40807313/JCLA-36-e24395-g001.jpg

相似文献

1
Tumor necrosis factor-alpha stimulated gene-6: A biomarker reflecting disease activity in rheumatoid arthritis.肿瘤坏死因子-α刺激基因-6:反映类风湿关节炎疾病活动的生物标志物。
J Clin Lab Anal. 2022 May;36(5):e24395. doi: 10.1002/jcla.24395. Epub 2022 Mar 30.
2
[Significance of v-raf murine sarcoma viral oncogene homologue B1 in rheumatoid arthritis].v-raf鼠肉瘤病毒癌基因同源物B1在类风湿关节炎中的意义
Beijing Da Xue Xue Bao Yi Xue Ban. 2016 Dec 18;48(6):947-950.
3
Clinical diagnostic significance of 14-3-3η protein, high-mobility group box-1, anti-cyclic citrullinated peptide antibodies, anti-mutated citrullinated vimentin antibodies and rheumatoid factor in rheumatoid arthritis.14-3-3η蛋白、高迁移率族蛋白B1、抗环瓜氨酸肽抗体、抗突变瓜氨酸波形蛋白抗体及类风湿因子在类风湿关节炎中的临床诊断意义
Br J Biomed Sci. 2020 Jan;77(1):19-23. doi: 10.1080/09674845.2019.1658425. Epub 2019 Sep 16.
4
Clinical evaluation of anti-mutated citrullinated vimentin by ELISA in rheumatoid arthritis.酶联免疫吸附测定法检测抗突变型瓜氨酸波形蛋白在类风湿关节炎中的临床评估
J Rheumatol. 2007 Aug;34(8):1658-63. Epub 2007 Jul 1.
5
Comparative analysis of autoantibodies targeting peptidylarginine deiminase type 4, mutated citrullinated vimentin and cyclic citrullinated peptides in rheumatoid arthritis: associations with cytokine profiles, clinical and genetic features.类风湿关节炎中靶向肽基精氨酸脱亚氨酶4、突变型瓜氨酸波形蛋白和环瓜氨酸肽的自身抗体的比较分析:与细胞因子谱、临床和遗传特征的关联
Clin Exp Immunol. 2015 Nov;182(2):119-31. doi: 10.1111/cei.12677. Epub 2015 Sep 16.
6
Value of serum collagen triple helix repeat containing-1(CTHRC1) and 14-3-3η protein compared to anti-CCP antibodies and anti-MCV antibodies in the diagnosis of rheumatoid arthritis.与抗环瓜氨酸肽(CCP)抗体和抗微小病毒B19衣壳蛋白(MCV)抗体相比,血清含胶原三螺旋重复序列-1(CTHRC1)和14-3-3η蛋白在类风湿关节炎诊断中的价值。
Br J Biomed Sci. 2021 Apr;78(2):67-71. doi: 10.1080/09674845.2020.1810400. Epub 2020 Sep 7.
7
Evaluation of autoantibodies against vimentin and α-enolase in rheumatoid arthritis patients.类风湿关节炎患者中抗波形蛋白和α-烯醇化酶自身抗体的评估。
Reumatologia. 2020;58(6):350-356. doi: 10.5114/reum.2020.101276. Epub 2020 Dec 23.
8
Combining Calcitonin and Procalcitonin and Rheumatoid Arthritis-Related Biomarkers Improve Diagnostic Outcomes in Early Rheumatoid Arthritis.降钙素和降钙素原与类风湿关节炎相关生物标志物联合应用可改善早期类风湿关节炎的诊断结果。
Dis Markers. 2021 May 26;2021:6331994. doi: 10.1155/2021/6331994. eCollection 2021.
9
The role of anti-mutated citrullinated vimentin antibodies in the diagnosis of early rheumatoid arthritis.抗突变型瓜氨酸波形蛋白抗体在早期类风湿关节炎诊断中的作用。
J Rheumatol. 2009 Jun;36(6):1136-42. doi: 10.3899/jrheum.080796. Epub 2009 May 15.
10
Diagnostic utility of anti-cyclic citrullinated peptide and anti-modified citrullinated vimentin antibodies in rheumatoid arthritis.抗环瓜氨酸肽抗体和抗瓜氨酸化波形蛋白抗体在类风湿关节炎中的诊断效用
Protein Pept Lett. 2008;15(3):314-7. doi: 10.2174/092986608783744153.

引用本文的文献

1
Serum lncRNA ITGB2-AS1 and ICAM-1 as novel biomarkers for rheumatoid arthritis and osteoarthritis diagnosis.血清 lncRNA ITGB2-AS1 和 ICAM-1 作为类风湿关节炎和骨关节炎诊断的新型生物标志物。
BMC Med Genomics. 2024 Oct 8;17(1):247. doi: 10.1186/s12920-024-01993-6.
2
Expression quantitative trait loci analysis in rheumatoid arthritis identifies tissue specific variants associated with severity and outcome.类风湿关节炎表达数量性状基因座分析确定与严重程度和结局相关的组织特异性变异。
Ann Rheum Dis. 2024 Feb 15;83(3):288-299. doi: 10.1136/ard-2023-224540.
3
Influence of Umbilical Cord Blood Biochemical Parameters and Disease Condition on the Expression of the TSG-6 Gene in Umbilical Mesenchymal Stem Cells.

本文引用的文献

1
Rheumatoid Arthritis: Early Diagnosis and Treatment.类风湿性关节炎:早期诊断与治疗。
Med Clin North Am. 2021 Mar;105(2):355-365. doi: 10.1016/j.mcna.2020.10.006.
2
Subconjunctival injection of tumor necrosis factor-α pre-stimulated bone marrow-derived mesenchymal stem cells enhances anti-inflammation and anti-fibrosis in ocular alkali burns.经肿瘤坏死因子-α预处理的骨髓间充质干细胞经结膜下注射增强眼碱性烧伤的抗炎和抗纤维化作用。
Graefes Arch Clin Exp Ophthalmol. 2021 Apr;259(4):929-940. doi: 10.1007/s00417-020-05017-8. Epub 2020 Nov 25.
3
Anti-inflammatory protein TSG-6 secreted by bone marrow mesenchymal stem cells attenuates neuropathic pain by inhibiting the TLR2/MyD88/NF-κB signaling pathway in spinal microglia.
脐带血生化参数和疾病状况对脐带间充质干细胞 TSG-6 基因表达的影响。
Med Sci Monit. 2023 Jun 14;29:e939716. doi: 10.12659/MSM.939716.
4
Tumor Necrosis Factor (TNF)-α-Stimulated Gene 6 (TSG-6): A Promising Immunomodulatory Target in Acute Neurodegenerative Diseases.肿瘤坏死因子-α刺激基因 6(TSG-6):急性神经退行性疾病中有前景的免疫调节靶点。
Int J Mol Sci. 2023 Jan 6;24(2):1162. doi: 10.3390/ijms24021162.
5
Unravelling the Matrix in Crohn's Disease.解析克罗恩病中的基质
Cell Mol Gastroenterol Hepatol. 2023;15(3):801-802. doi: 10.1016/j.jcmgh.2022.12.007. Epub 2022 Dec 28.
6
TSG-6 (Tumor Necrosis Factor-α-Stimulated Gene/Protein-6): An Emerging Remedy for Renal Inflammation.TSG-6(肿瘤坏死因子-α刺激基因/蛋白-6):肾脏炎症的新兴疗法。
Hypertension. 2023 Jan;80(1):35-42. doi: 10.1161/HYPERTENSIONAHA.122.19431. Epub 2022 Nov 11.
7
Non-genetic biomarkers for ankylosing spondylitis: An umbrella review.非遗传生物标志物在强直性脊柱炎中的应用:伞式综述。
J Clin Lab Anal. 2022 Dec;36(12):e24759. doi: 10.1002/jcla.24759. Epub 2022 Nov 8.
骨髓间充质干细胞分泌的抗炎蛋白 TSG-6 通过抑制脊髓小胶质细胞中的 TLR2/MyD88/NF-κB 信号通路来减轻神经病理性疼痛。
J Neuroinflammation. 2020 May 11;17(1):154. doi: 10.1186/s12974-020-1731-x.
4
The intestinal injury caused by ischemia-reperfusion is attenuated by amniotic fluid stem cells via the release of tumor necrosis factor-stimulated gene 6 protein.羊膜干细胞通过释放肿瘤坏死因子刺激基因 6 蛋白减轻缺血再灌注引起的肠道损伤。
FASEB J. 2020 May;34(5):6824-6836. doi: 10.1096/fj.201902892RR. Epub 2020 Mar 29.
5
Liver-targeted delivery of TSG-6 by calcium phosphate nanoparticles for the management of liver fibrosis.通过磷酸钙纳米粒实现 TSG-6 的肝脏靶向递送,用于肝纤维化的治疗。
Theranostics. 2020 Jan 1;10(1):36-49. doi: 10.7150/thno.37301. eCollection 2020.
6
Clinical diagnostic significance of 14-3-3η protein, high-mobility group box-1, anti-cyclic citrullinated peptide antibodies, anti-mutated citrullinated vimentin antibodies and rheumatoid factor in rheumatoid arthritis.14-3-3η蛋白、高迁移率族蛋白B1、抗环瓜氨酸肽抗体、抗突变瓜氨酸波形蛋白抗体及类风湿因子在类风湿关节炎中的临床诊断意义
Br J Biomed Sci. 2020 Jan;77(1):19-23. doi: 10.1080/09674845.2019.1658425. Epub 2019 Sep 16.
7
TSG-6 secreted by human adipose tissue-derived mesenchymal stem cells ameliorates severe acute pancreatitis via ER stress downregulation in mice.人脂肪组织来源的间充质干细胞分泌的 TSG-6 通过下调内质网应激改善小鼠重症急性胰腺炎。
Stem Cell Res Ther. 2018 Sep 26;9(1):255. doi: 10.1186/s13287-018-1009-8.
8
TSG-6: A multifunctional protein with anti-inflammatory and tissue-protective properties.TSG-6:一种具有抗炎和组织保护特性的多功能蛋白。
Matrix Biol. 2019 May;78-79:60-83. doi: 10.1016/j.matbio.2018.01.011. Epub 2018 Jan 31.
9
Intravenous hMSCs Ameliorate Acute Pancreatitis in Mice via Secretion of Tumor Necrosis Factor-α Stimulated Gene/Protein 6.静脉注射间充质干细胞通过分泌肿瘤坏死因子-α刺激基因/蛋白 6 改善小鼠急性胰腺炎。
Sci Rep. 2016 Dec 5;6:38438. doi: 10.1038/srep38438.
10
Vagus nerve stimulation inhibits cytokine production and attenuates disease severity in rheumatoid arthritis.迷走神经刺激可抑制细胞因子生成,并减轻类风湿关节炎的疾病严重程度。
Proc Natl Acad Sci U S A. 2016 Jul 19;113(29):8284-9. doi: 10.1073/pnas.1605635113. Epub 2016 Jul 5.