Suppr超能文献

用于啮齿动物神经活动多模态细胞特异性记录与操纵的混合光纤功能磁共振成像

Hybrid fiber optic-fMRI for multimodal cell-specific recording and manipulation of neural activity in rodents.

作者信息

Ioanas Horea-Ioan, Schlegel Felix, Skachokova Zhiva, Schroeter Aileen, Husak Tetiana, Rudin Markus

机构信息

University of Zurich Institute for Biomedical Engineering, ETH, Zürich, Switzerland.

Massachusetts Institute of Technology, Department of Biological Engineering, Cambridge, Massachusetts, United States.

出版信息

Neurophotonics. 2022 Jul;9(3):032206. doi: 10.1117/1.NPh.9.3.032206. Epub 2022 Mar 21.

Abstract

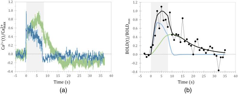
: Multiscale imaging holds particular relevance to neuroscience, where it helps integrate the cellular and molecular biological scale, which is most accessible to interventions, with holistic organ-level evaluations, most relevant with respect to function. Being inextricably interdisciplinary, multiscale imaging benefits substantially from incremental technology adoption, and a detailed overview of the state-of-the-art is vital to an informed application of imaging methods. : In this article, we lay out the background and methodological aspects of multimodal approaches combining functional magnetic resonance imaging (fMRI) with simultaneous optical measurement or stimulation. : We focus on optical techniques as these allow, in conjunction with genetically encoded proteins (e.g. calcium indicators or optical signal transducers), unprecedented read-out and control specificity for individual cell-types during fMRI experiments, while leveraging non-interfering modalities. : A variety of different solutions for optical/fMRI methods has been reported ranging from bulk fluorescence recordings via fiber photometry to high resolution microscopy. In particular, the plethora of optogenetic tools has enabled the transformation of stimulus-evoked fMRI into a cell biological interrogation method. We discuss the capabilities and limitations of these genetically encoded molecular tools in the study of brain phenomena of great methodological and neuropsychiatric interest-such as neurovascular coupling (NVC) and neuronal network mapping. We provide a methodological description of this interdisciplinary field of study, and focus in particular on the limitations of the widely used blood oxygen level dependent (BOLD) signal and how multimodal readouts can shed light on the contributions arising from neurons, astrocytes, or the vasculature. : We conclude that information from multiple signaling pathways must be incorporated in future forward models of the BOLD response to prevent erroneous conclusions when using fMRI as a surrogate measure for neural activity. Further, we highlight the potential of direct neuronal stimulation via genetically defined brain networks towards advancing neurophysiological understanding and better estimating effective connectivity.

摘要

多尺度成像与神经科学密切相关,它有助于将最易于干预的细胞和分子生物学尺度与功能上最相关的整体器官水平评估相结合。作为一个不可分割的跨学科领域,多尺度成像从技术的逐步采用中受益匪浅,对最新技术的详细概述对于明智地应用成像方法至关重要。

在本文中,我们阐述了将功能磁共振成像(fMRI)与同步光学测量或刺激相结合的多模态方法的背景和方法学方面。

我们专注于光学技术,因为这些技术与基因编码蛋白(如钙指示剂或光信号转导器)相结合,在fMRI实验期间能够对单个细胞类型实现前所未有的读出和控制特异性,同时利用非干扰性模式。

从通过光纤光度法进行的体荧光记录到高分辨率显微镜,已经报道了多种不同的光学/fMRI方法解决方案。特别是,大量的光遗传学工具已使刺激诱发的fMRI转变为一种细胞生物学研究方法。我们讨论了这些基因编码分子工具在研究具有重大方法学和神经精神学意义的脑现象(如神经血管耦合(NVC)和神经网络映射)中的能力和局限性。我们提供了这个跨学科研究领域的方法学描述,并特别关注广泛使用的血氧水平依赖(BOLD)信号的局限性,以及多模态读出如何揭示神经元、星形胶质细胞或脉管系统产生的贡献。

我们得出结论,在未来的BOLD反应正向模型中必须纳入来自多个信号通路的信息,以防止在将fMRI用作神经活动的替代测量时得出错误结论。此外,我们强调通过基因定义的脑网络进行直接神经元刺激在推进神经生理学理解和更好地估计有效连接性方面的潜力。

https://cdn.ncbi.nlm.nih.gov/pmc/blobs/11e0/8936941/11b55f342b2a/NPh-009-032206-g001.jpg

文献检索

告别复杂PubMed语法,用中文像聊天一样搜索,搜遍4000万医学文献。AI智能推荐,让科研检索更轻松。

立即免费搜索

文件翻译

保留排版,准确专业,支持PDF/Word/PPT等文件格式,支持 12+语言互译。

免费翻译文档

深度研究

AI帮你快速写综述,25分钟生成高质量综述,智能提取关键信息,辅助科研写作。

立即免费体验