Suppr超能文献

围孕期维生素 A 使用与非综合征型口面裂儿出生风险的关系:一项荟萃分析。

Periconceptional use of vitamin A and the risk of giving birth to a child with nonsyndromic orofacial clefts-A meta-analysis.

机构信息

Department of Epidemiology, College of Public Health, University of Iowa, Iowa City, Iowa, USA.

Iowa Institute of Oral Health Research, University of Iowa, Iowa City, Iowa, USA.

出版信息

Birth Defects Res. 2022 Jun;114(10):467-477. doi: 10.1002/bdr2.2005. Epub 2022 Mar 31.

Abstract

BACKGROUND

We conducted a meta-analysis of observational epidemiological studies to evaluate the association between periconceptional use of vitamin A and the risk of giving birth to a child with nonsyndromic orofacial clefts (NSOFCs).

METHODS

We carried out a systematic literature search of Embase, PubMed, Web of Science, Google Scholar, and OpenGrey from inception to June 30, 2021. Two reviewers independently evaluated the studies that met the inclusion criteria and filled out an abstraction form for each study. Study quality was assessed using the Newcastle-Ottawa Assessment Scale (NOS). Adjusted estimates were pooled with an inverse variance weighting using a random-effects model. Heterogeneity and publication bias were assessed using the Cochran's Q test and funnel plot, respectively.

RESULTS

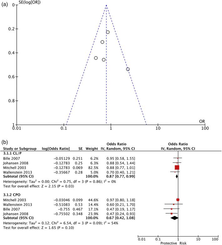
A total of six case-control studies with moderate risk of bias were included. The pooled OR showed a 20% reduction in the risk of NSOFCs for periconceptional use of vitamin A which was not statistically significant (OR = .80; 95% CI .54-1.17, p = .25). For nonsyndromic cleft lip with or without cleft palate (NSCL/P), the studies were homogenous, and the pooled estimate showed a 13% risk reduction, which was significant (OR = .87; 95% CI .77-.99, p = .03). For nonsyndromic cleft palate only (NSCPO), the pooled estimate showed a 33% lower likelihood, which was not statistically significant (OR = .67; 95% CI .42-1.08, p = .10).

CONCLUSION

Our results suggest a possible protective effect for the periconceptional use of vitamin A on the risk of NSCL/P. This finding should be investigated further in prospective studies across multiple populations.

摘要

背景

我们对观察性流行病学研究进行了荟萃分析,以评估围孕期使用维生素 A 与非综合征性口面裂(NSOFC)患儿出生风险之间的关系。

方法

我们对 Embase、PubMed、Web of Science、Google Scholar 和 OpenGrey 进行了系统的文献检索,检索时间从建库至 2021 年 6 月 30 日。两名评审员独立评估符合纳入标准的研究,并为每项研究填写一份摘要表。使用纽卡斯尔-渥太华量表(NOS)评估研究质量。使用随机效应模型,采用倒数方差加权法对调整后的估计值进行合并。使用 Cochran's Q 检验和漏斗图分别评估异质性和发表偏倚。

结果

共纳入 6 项偏倚风险中等的病例对照研究。汇总的 OR 显示,围孕期使用维生素 A 可使 NSOFC 的风险降低 20%,但无统计学意义(OR =.80;95%CI.54-1.17,p =.25)。对于非综合征性唇裂伴或不伴腭裂(NSCL/P),研究具有同质性,汇总估计值显示风险降低 13%,具有统计学意义(OR =.87;95%CI.77-.99,p =.03)。对于单纯非综合征性腭裂(NSCPO),汇总估计值显示发生的可能性降低 33%,但无统计学意义(OR =.67;95%CI.42-1.08,p =.10)。

结论

我们的结果表明,围孕期使用维生素 A 可能对 NSCL/P 的风险具有保护作用。这一发现应在多个人群的前瞻性研究中进一步探讨。

https://cdn.ncbi.nlm.nih.gov/pmc/blobs/9e62/9321711/521e9b17908e/BDR2-114-467-g002.jpg

文献检索

告别复杂PubMed语法,用中文像聊天一样搜索,搜遍4000万医学文献。AI智能推荐,让科研检索更轻松。

立即免费搜索

文件翻译

保留排版,准确专业,支持PDF/Word/PPT等文件格式,支持 12+语言互译。

免费翻译文档

深度研究

AI帮你快速写综述,25分钟生成高质量综述,智能提取关键信息,辅助科研写作。

立即免费体验