Suppr超能文献

识别和验证一种新型列线图预测脑出血患者 7 天内死亡的风险。

Identification and Validation of a Novel Nomogram Predicting 7-day Death in Patients with Intracerebral Hemorrhage.

机构信息

North China University of Science and Technology Affiliated Hospital North China University of Science and Technology Affiliated Hospital, Hebei, China

出版信息

Balkan Med J. 2022 May 24;39(3):187-192. doi: 10.4274/balkanmedj.galenos.2022.2021-10-113. Epub 2022 Apr 1.

Abstract

BACKGROUND

Intracerebral hemorrhage (ICH) is a serious brain condition with high mortality and disability rates. In recent decades, several risk factors related to death risk have been identified, with several models predicting mortality, but rarely used and accepted in daily clinical practice.

AIMS

To establish and validate a predictive nomogram of spontaneous ICH death that can be used to predict patient death within 7 days.

STUDY DESIGN

Cohort study.

METHODS

A cohort of 449 patients with ICH, diagnosed clinically from January 2015 to December 2017, were identified as the model training cohort. Univariate analysis and least absolute contraction and selection operator (Lasso) regression were used to determine the most powerful predictors of patients with ICH. Discrimination, calibration, and clinical applicability were used to assess the function of the new nomogram. In external validation, we also evaluated the nomogram in another 148 subjects (validation cohort) examined between January and December 2018.

RESULTS

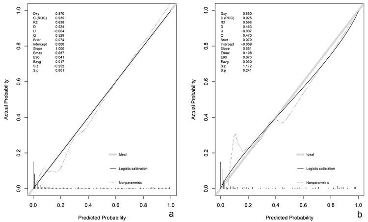
We observed no significant differences in patient baseline characteristics in the training and validation cohorts, including sex, age, Glasgow coma scale (GCS) score, and one-week mortality rates. The model included three predictive variables from univariate and multivariate analysis, including GCS scores, hematoma volume, and brainstem hemorrhage (BSH). Internal validation revealed that the nomogram had a good discrimination, the area under the receiver operating characteristic curve (AUC) was 0.935, and calibration was good (U = -0.004, = 0.801). Similarly, this nomogram also showed good differentiation ability (AUC = 0.925) and good accuracy (U = -0.007, = 0.241) in the validation cohort data. Decision curve analysis indicated that the new prediction model was helpful.

CONCLUSION

At the early stages of the condition, our prediction model accurately predicts the death of patients with ICH.

摘要

背景

脑出血(ICH)是一种死亡率和致残率都很高的严重脑部疾病。近几十年来,已经确定了与死亡风险相关的几个危险因素,并且有几个模型可以预测死亡率,但在日常临床实践中很少使用和接受。

目的

建立并验证一个能预测自发性脑出血死亡的预测列线图,用于预测患者在 7 天内的死亡。

研究设计

队列研究。

方法

纳入了 2015 年 1 月至 2017 年 12 月期间临床诊断为 ICH 的 449 例患者作为模型训练队列。采用单因素分析和最小绝对收缩和选择算子(Lasso)回归来确定预测 ICH 患者的最强有力的预测因子。采用判别、校准和临床适用性来评估新列线图的功能。在外部验证中,我们还评估了 2018 年 1 月至 12 月间纳入的 148 例患者(验证队列)的列线图。

结果

在训练和验证队列中,患者的基线特征没有明显差异,包括性别、年龄、格拉斯哥昏迷量表(GCS)评分和一周死亡率。模型包括来自单因素和多因素分析的三个预测变量,包括 GCS 评分、血肿体积和脑干出血(BSH)。内部验证显示该列线图具有良好的判别能力,受试者工作特征曲线下面积(AUC)为 0.935,校准良好(U = -0.004, = 0.801)。同样,该列线图在验证队列数据中也表现出良好的区分能力(AUC = 0.925)和良好的准确性(U = -0.007, = 0.241)。决策曲线分析表明新的预测模型是有帮助的。

结论

在疾病的早期阶段,我们的预测模型能够准确预测 ICH 患者的死亡。

https://cdn.ncbi.nlm.nih.gov/pmc/blobs/167b/9136539/2405ea02e9c3/BMJ-39-187-g1.jpg

文献检索

告别复杂PubMed语法,用中文像聊天一样搜索,搜遍4000万医学文献。AI智能推荐,让科研检索更轻松。

立即免费搜索

文件翻译

保留排版,准确专业,支持PDF/Word/PPT等文件格式,支持 12+语言互译。

免费翻译文档

深度研究

AI帮你快速写综述,25分钟生成高质量综述,智能提取关键信息,辅助科研写作。

立即免费体验