Khare Rachit, Weindl Roland, Jentys Andreas, Reuter Karsten, Shi Hui, Lercher Johannes A
Department of Chemistry and Catalysis Research Center, Technical University of Munich, 85747 Garching, Germany.
Fritz Haber Institute of the Max Planck Society, 14195 Berlin, Germany.
JACS Au. 2022 Feb 9;2(3):613-622. doi: 10.1021/jacsau.1c00507. eCollection 2022 Mar 28.
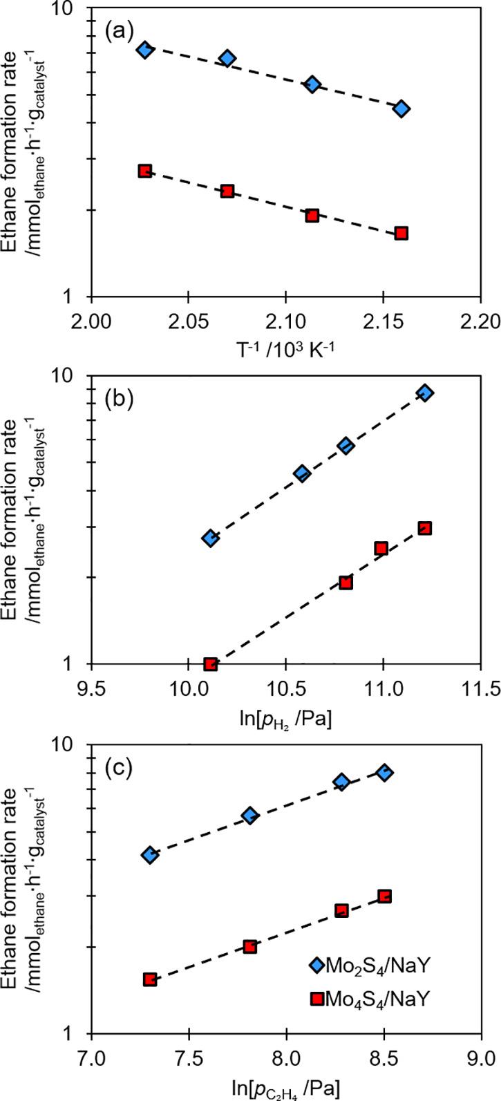
NaY zeolite-encapsulated dimeric (MoS) and tetrameric (MoS) molybdenum sulfide clusters stabilize hydrogen as hydride binding to Mo atoms. Density functional theory (DFT) calculations and adsorption measurements suggest that stabilization of hydrogen as sulfhydryl (SH) groups, as typical for layered MoS, is thermodynamically disfavored. Competitive adsorption of H and ethene on Mo was probed by quantifying adsorbed CO on partly hydrogen and/or ethene covered samples with IR spectroscopy. During hydrogenation, experiment and theory suggest that Mo is covered predominately with ethene and sparsely with hydride. DFT calculations further predict that, under reaction conditions, each Mo S cluster can activate only one H, suggesting that the entire cluster (irrespective of its nuclearity) acts as one active site for hydrogenation. The nearly identical turnover frequencies (24.7 ± 3.3 mol·h·mol ), apparent activation energies (31-32 kJ·mol), and reaction orders (∼0.5 in ethene and ∼1.0 in H) show that the active sites in both clusters are catalytically indistinguishable.
NaY 沸石封装的二聚体(MoS)和四聚体(MoS)硫化钼簇将氢稳定为与钼原子结合的氢化物。密度泛函理论(DFT)计算和吸附测量表明,作为典型层状 MoS 中硫氢基(SH)基团形式的氢稳定化在热力学上是不利的。通过用红外光谱对部分被氢和/或乙烯覆盖的样品上吸附的 CO 进行定量,研究了 H 和乙烯在 Mo 上的竞争吸附。在氢化过程中,实验和理论表明 Mo 主要被乙烯覆盖,氢化物覆盖较少。DFT 计算进一步预测,在反应条件下,每个 Mo S 簇仅能活化一个 H,这表明整个簇(无论其核数)作为氢化的一个活性位点起作用。几乎相同的周转频率(24.7±3.3 mol·h·mol )、表观活化能(31 - 32 kJ·mol)和反应级数(乙烯中约为 0.5,H 中约为 1.0)表明两个簇中的活性位点在催化上难以区分。