Suppr超能文献

启动子甲基化与乳腺癌基因表达降低相关:作为液体活检生物标志物的应用

Promoter Methylation Correlates with Decreased Gene Expression in Breast Cancer: Implementation as a Liquid Biopsy Biomarker.

作者信息

Panagopoulou Maria, Drosouni Andrianna, Fanidis Dionysiοs, Karaglani Makrina, Balgkouranidou Ioanna, Xenidis Nikolaos, Aidinis Vassilis, Chatzaki Ekaterini

机构信息

Laboratory of Pharmacology, Medical School, Democritus University of Thrace, 68100 Alexandroupolis, Greece.

Institute of Agri-Food and Life Sciences, Hellenic Mediterranean University Research Center, 71410 Heraklion, Greece.

出版信息

Int J Mol Sci. 2022 Mar 28;23(7):3717. doi: 10.3390/ijms23073717.

Abstract

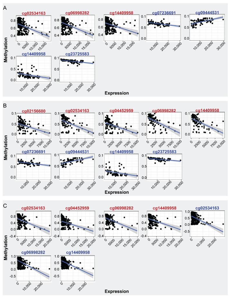
Autotaxin (ATX), encoded by the ctonucleotide pyrophosphatase/phosphodiesterase 2 () gene, is a key enzyme in lysophosphatidic acid (LPA) synthesis. We have recently described methylation profiles in health and multiple malignancies and demonstrated correlation to its aberrant expression. Here we focus on breast cancer (BrCa), analyzing in silico publicly available BrCa methylome datasets, to identify differentially methylated CpGs (DMCs) and correlate them with expression. Numerous DMCs were identified between BrCa and healthy breast tissues in the gene body and promoter-associated regions (PA). PA DMCs were upregulated in BrCa tissues in relation to normal, in metastatic BrCa in relation to primary, and in stage I BrCa in relation to normal, and this was correlated to decreased mRNA expression. The first exon DMC was also investigated in circulating cell free DNA (ccfDNA) isolated by BrCa patients; methylation was increased in BrCa in relation to ccfDNA from healthy individuals, confirming in silico results. It also differed between patient groups and was correlated to the presence of multiple metastatic sites. Our data indicate that promoter methylation of arrests its transcription in BrCa and introduce first exon methylation as a putative biomarker for diagnosis and monitoring which can be assessed in liquid biopsy.

摘要

自分泌运动因子(ATX)由胞苷酸焦磷酸酶/磷酸二酯酶2(CTNNA2)基因编码,是溶血磷脂酸(LPA)合成中的关键酶。我们最近描述了健康和多种恶性肿瘤中的甲基化谱,并证明了其与异常表达的相关性。在这里,我们聚焦于乳腺癌(BrCa),通过对公开可用的BrCa甲基化组数据集进行计算机分析,以鉴定差异甲基化的CpG(DMC)并将它们与表达相关联。在基因体和启动子相关区域(PA)中,在BrCa与健康乳腺组织之间鉴定出大量DMC。与正常组织相比,PA DMC在BrCa组织中上调,与原发性BrCa相比,在转移性BrCa中上调,与正常组织相比,在I期BrCa中上调,并且这与mRNA表达降低相关。还对BrCa患者分离的循环游离DNA(ccfDNA)中的第一个外显子DMC进行了研究;与健康个体的ccfDNA相比,BrCa中的甲基化增加,证实了计算机分析结果。它在患者组之间也有所不同,并且与多个转移部位的存在相关。我们的数据表明,CTNNA2的启动子甲基化在BrCa中阻止其转录,并引入第一个外显子甲基化作为诊断和监测的推定生物标志物,其可在液体活检中进行评估。

https://cdn.ncbi.nlm.nih.gov/pmc/blobs/06a1/8998992/c57fd3fb4294/ijms-23-03717-g001.jpg

文献检索

告别复杂PubMed语法,用中文像聊天一样搜索,搜遍4000万医学文献。AI智能推荐,让科研检索更轻松。

立即免费搜索

文件翻译

保留排版,准确专业,支持PDF/Word/PPT等文件格式,支持 12+语言互译。

免费翻译文档

深度研究

AI帮你快速写综述,25分钟生成高质量综述,智能提取关键信息,辅助科研写作。

立即免费体验