Johnson Brianna M, Stroud-Settles Janice, Roug Annette, Manlove Kezia
Department of Wildland Resources and Ecology Center, Utah State University, Logan, UT 84321, USA.
Zion National Park, SR 9, 1 Zion Park Blvd, Springdale, UT 84767, USA.
Animals (Basel). 2022 Apr 14;12(8):1029. doi: 10.3390/ani12081029.
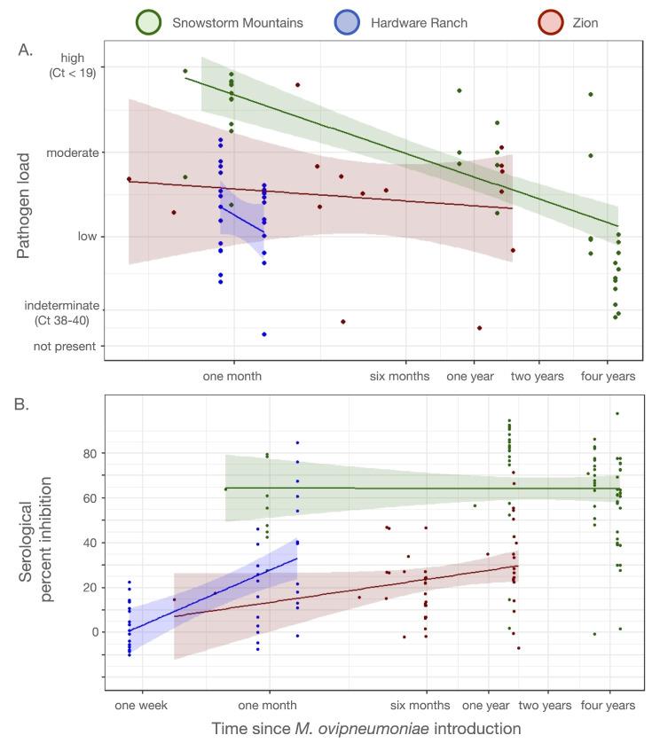
Infectious pneumonia associated with the bacterial pathogen is an impediment to bighorn sheep () population recovery throughout western North America, yet the full range of virulence in bighorn sheep is not well-understood. Here, we present data from an introduction event in the Zion desert bighorn sheep () population in southern Utah. The ensuing disease event exhibited epidemiology distinct from what has been reported elsewhere, with virtually no mortality (0 adult mortalities among 70 animals tracked over 118 animal-years; 1 lamb mortality among 40 lambs tracked through weaning in the two summers following introduction; and lamb:ewe ratios of 34.9:100 in the year immediately after introduction and 49.4:100 in the second year after introduction). Individual-level immune responses were lower than expected, and appeared to fade out approximately 1.5 to 2 years after introduction. Several mechanisms could explain the limited burden of this event. First, most work on has centered on Rocky Mountain bighorn sheep (), but the Zion bighorns are members of the desert subspecies (). Second, the particular strain involved comes from a clade of strains associated with weaker demographic responses in other settings. Third, the substructuring of the Zion population may have made this population more resilient to disease invasion and persistence. The limited burden of the disease event on the Zion bighorn population underscores a broader point in wildlife disease ecology: that one size may not fit all events.
与这种细菌病原体相关的传染性肺炎阻碍了北美西部大角羊(Ovis canadensis)种群的恢复,然而大角羊的全部毒力范围尚未得到充分了解。在这里,我们展示了犹他州南部锡安沙漠大角羊(Ovis canadensis)种群引入事件的数据。随后发生的疾病事件呈现出与其他地方报道不同的流行病学特征,几乎没有死亡情况(在118个动物年中追踪的70只动物中没有成年动物死亡;在引入后的两个夏天追踪到断奶的40只羔羊中有1只死亡;引入后第一年羔羊与母羊的比例为34.9:100,引入后第二年为49.4:100)。个体水平的免疫反应低于预期,并且在引入后约1.5至2年似乎逐渐消失。有几种机制可以解释这次疾病事件的有限影响。首先,关于肺炎支原体的大多数研究都集中在落基山大角羊(Ovis canadensis)上,但锡安大角羊是沙漠亚种(Ovis canadensis nelsoni)的成员。其次,所涉及的特定肺炎支原体菌株来自与其他环境中较弱的种群统计学反应相关的菌株分支。第三,锡安种群的亚结构可能使该种群对疾病入侵和持续存在更具恢复力。疾病事件对锡安大角羊种群的有限影响凸显了野生动物疾病生态学中一个更广泛的观点:即一种情况可能并不适用于所有事件。