• 文献检索
  • 文档翻译
  • 深度研究
  • 学术资讯
  • Suppr Zotero 插件Zotero 插件
  • 邀请有礼
  • 套餐&价格
  • 历史记录
应用&插件
Suppr Zotero 插件Zotero 插件浏览器插件Mac 客户端Windows 客户端微信小程序
定价
高级版会员购买积分包购买API积分包
服务
文献检索文档翻译深度研究API 文档MCP 服务
关于我们
关于 Suppr公司介绍联系我们用户协议隐私条款
关注我们

Suppr 超能文献

核心技术专利:CN118964589B侵权必究
粤ICP备2023148730 号-1Suppr @ 2026

文献检索

告别复杂PubMed语法,用中文像聊天一样搜索,搜遍4000万医学文献。AI智能推荐,让科研检索更轻松。

立即免费搜索

文件翻译

保留排版,准确专业,支持PDF/Word/PPT等文件格式,支持 12+语言互译。

免费翻译文档

深度研究

AI帮你快速写综述,25分钟生成高质量综述,智能提取关键信息,辅助科研写作。

立即免费体验

电子输血同意书和供血模式改善了中国的血库管理。

Electronic transfusion consent and blood delivering pattern improve the management of blood bank in China.

机构信息

Laboratory Medicine Center, Department of Transfusion Medicine, Zhejiang Provincial People's Hospital (Affiliated People's Hospital, Hangzhou Medical College), No.158 Shangtang Road, Hangzhou, Zhejiang, China.

XianJu People's Hospital, Zhejiang Southeast Campus of Zhejiang Provincial People's Hospital, No.53 Chengbei East Road, Xianju, Zhejiang, China.

出版信息

BMC Health Serv Res. 2022 Apr 26;22(1):561. doi: 10.1186/s12913-022-07825-6.

DOI:10.1186/s12913-022-07825-6
PMID:35473708
原文链接:https://pmc.ncbi.nlm.nih.gov/articles/PMC9044836/
Abstract

BACKGROUND

The aim of this study was to improve the blood transfusion treatment consent accuracy, simplify the verification process, prolong the temperature control time before the blood transfusion, and save the blood transportation labor cost.

METHODS

We designed the blood transfusion consent electronic signing process, which can generate personalized the text content and can automatically check the filling accuracy. The signal can be transmitted to the blood transfusion management system (TMS) to relieving the blood distribution. For blood delivering pattern, we established the blood transport center, recruited full-time nurses and used temperature-controlled blood transfer boxes to deliver blood in batches on a regular basis.

RESULTS

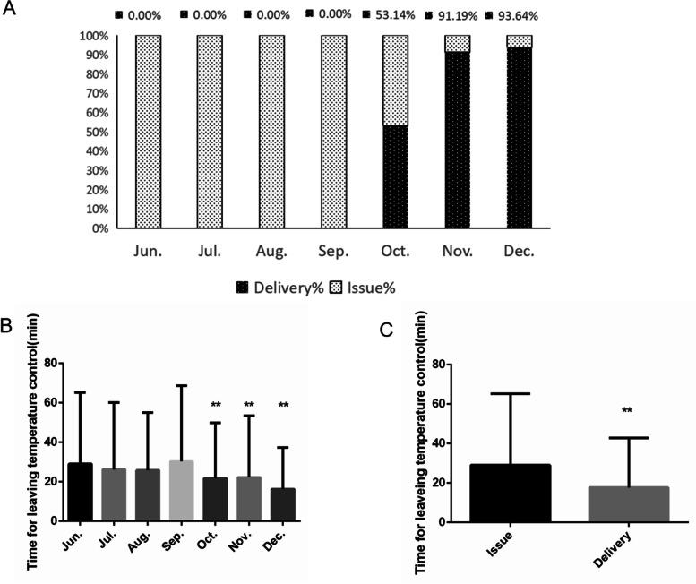
A quarterly data analysis of blood transfusion quality showed a 100% blood transfusion consent accuracy after an electronic signing process was implemented. The average confirmation time savings between the electronic content and paper content was 26 min for the Department of Emergency (estimated difference 95% CI = 26 (20 to 36), p < 0.05). The blood delivering pattern reduced the time for each unit by leaving the average temperature control by 7.24 min (estimated difference 95% CI = 7.24 (6.92 to 7.56), p < 0.05). Furthermore, $3.67 was saved for the blood transportation labor cost for each unit as well.

CONCLUSION

Blood transfusion consent electronic signing process not only ensures the accuracy, but also saves the verification time. Moreover, the blood delivering pattern prolongs the blood temperature control time and saves blood transportation labor costs. Thus, these two improvements could enhance transfusion management.

摘要

背景

本研究旨在提高输血治疗同意书的准确性,简化核对流程,延长输血前的控温时间,并节省血液运输的人工成本。

方法

我们设计了输血同意书电子签名流程,可生成个性化的文本内容,并能自动检查填写的准确性。信号可传输至输血管理系统(TMS),以缓解血液配送工作。对于血液配送模式,我们建立了血液转运中心,招募全职护士并使用控温血液转运箱定期批量配送血液。

结果

输血质量的季度数据分析显示,实施电子签名流程后,输血同意书的准确性达到了 100%。电子内容与纸质内容之间的平均确认时间节省了 26 分钟(电子内容与纸质内容之间的平均确认时间差异 95%CI=26(20 到 36),p<0.05)。血液配送模式将每个单位的控温时间缩短了 7.24 分钟(每个单位的控温时间差异 95%CI=7.24(6.92 到 7.56),p<0.05),从而节省了血液运输的人工成本。

结论

输血同意书电子签名流程不仅保证了准确性,还节省了核对时间。此外,血液配送模式延长了血液的控温时间,节省了血液运输的人工成本。因此,这两项改进措施可以提高输血管理水平。

https://cdn.ncbi.nlm.nih.gov/pmc/blobs/28b1/9044836/793f3e1e527c/12913_2022_7825_Fig5_HTML.jpg
https://cdn.ncbi.nlm.nih.gov/pmc/blobs/28b1/9044836/cca7f075b969/12913_2022_7825_Fig1_HTML.jpg
https://cdn.ncbi.nlm.nih.gov/pmc/blobs/28b1/9044836/5264d7b47dbc/12913_2022_7825_Fig2_HTML.jpg
https://cdn.ncbi.nlm.nih.gov/pmc/blobs/28b1/9044836/a4d40550df6f/12913_2022_7825_Fig3_HTML.jpg
https://cdn.ncbi.nlm.nih.gov/pmc/blobs/28b1/9044836/0155b664da8b/12913_2022_7825_Fig4_HTML.jpg
https://cdn.ncbi.nlm.nih.gov/pmc/blobs/28b1/9044836/793f3e1e527c/12913_2022_7825_Fig5_HTML.jpg
https://cdn.ncbi.nlm.nih.gov/pmc/blobs/28b1/9044836/cca7f075b969/12913_2022_7825_Fig1_HTML.jpg
https://cdn.ncbi.nlm.nih.gov/pmc/blobs/28b1/9044836/5264d7b47dbc/12913_2022_7825_Fig2_HTML.jpg
https://cdn.ncbi.nlm.nih.gov/pmc/blobs/28b1/9044836/a4d40550df6f/12913_2022_7825_Fig3_HTML.jpg
https://cdn.ncbi.nlm.nih.gov/pmc/blobs/28b1/9044836/0155b664da8b/12913_2022_7825_Fig4_HTML.jpg
https://cdn.ncbi.nlm.nih.gov/pmc/blobs/28b1/9044836/793f3e1e527c/12913_2022_7825_Fig5_HTML.jpg

相似文献

1
Electronic transfusion consent and blood delivering pattern improve the management of blood bank in China.电子输血同意书和供血模式改善了中国的血库管理。
BMC Health Serv Res. 2022 Apr 26;22(1):561. doi: 10.1186/s12913-022-07825-6.
2
The duty to warn about transfusion risks.关于输血风险的告知义务。
Arch Pathol Lab Med. 1989 Mar;113(3):307-10.
3
Risks, options, and informed consent for blood transfusion in elective surgery.择期手术中输血的风险、选择及知情同意
Am J Surg. 1990 Jun;159(6):602-9. doi: 10.1016/s0002-9610(06)80079-6.
4
Informed consent for blood transfusion: a regional hospital survey.输血知情同意书:一项地区医院调查
Transfusion. 1993 Jul;33(7):558-61. doi: 10.1046/j.1537-2995.1993.33793325050.x.
5
Electronic remote blood issue: a combination of remote blood issue with a system for end-to-end electronic control of transfusion to provide a "total solution" for a safe and timely hospital blood transfusion service.电子远程血液发放:将远程血液发放与输血全程电子控制系统相结合,为安全、及时的医院输血服务提供“整体解决方案”。
Transfusion. 2008 Mar;48(3):415-24. doi: 10.1111/j.1537-2995.2007.01545.x. Epub 2007 Dec 7.
6
Transfusion practice in the private hospital.私立医院的输血实践。
Arch Pathol Lab Med. 1989 Mar;113(3):296-9.
7
[What are the rules and regulations for blood product transfusion in France?].[法国血液制品输血的规章制度有哪些?]
Rev Prat. 2009 Jan 20;59(1):90-2.
8
Information technology improves the quality of transfusion practice in China.信息技术提高了中国的输血实践质量。
Vox Sang. 2023 Feb;118(2):138-146. doi: 10.1111/vox.13393. Epub 2022 Dec 19.
9
How do I…Incorporate a two-sample blood type verification in a pediatric hospital?我该如何……在儿童医院实施两样本血型验证?
Transfusion. 2020 Dec;60(12):2787-2792. doi: 10.1111/trf.15997. Epub 2020 Aug 28.
10
Legal issues for blood banks.血库的法律问题。
Arch Pathol Lab Med. 1994 Apr;118(4):442-53.

引用本文的文献

1
Digital consent in gynecology: an evaluation of patient experience.妇科数字知情同意:患者体验评估。
Arch Gynecol Obstet. 2024 Feb;309(2):611-619. doi: 10.1007/s00404-023-07304-1. Epub 2023 Dec 8.

本文引用的文献

1
Consent for blood transfusion: summary of recommendations from the Advisory Committee for the Safety of Blood, Tissues and Organs (SaBTO).输血同意书:血液、组织和器官安全咨询委员会(SaBTO)建议摘要。
Clin Med (Lond). 2021 May;21(3):201-203. doi: 10.7861/clinmed.2020-1035.
2
"Without the need for a second visit" initiative improves patient satisfaction with updated services of outpatient clinics in China.“无需二次就诊”举措提升了中国门诊更新服务的患者满意度。
BMC Health Serv Res. 2021 Mar 23;21(1):267. doi: 10.1186/s12913-021-06260-3.
3
Safe Blood Transfusion Practices among Nurses in a Major Referral Center in Ghana.
加纳一家主要转诊中心护士的安全输血操作规范
Adv Hematol. 2021 Mar 2;2021:6739329. doi: 10.1155/2021/6739329. eCollection 2021.
4
Improving Transfusion Safety in the Operating Room With a Barcode Scanning System Designed Specifically for the Surgical Environment and Existing Electronic Medical Record Systems: An Interrupted Time Series Analysis.利用专为手术环境和现有电子病历系统设计的条码扫描系统提高手术室输血安全性:一项中断时间序列分析。
Anesth Analg. 2020 Oct;131(4):1217-1227. doi: 10.1213/ANE.0000000000005084.
5
Analysis of Patterns of Adverse Transfusion Reactions and Management: A Novel Initiative toward Hemovigilance in a Teaching Hospital of South India.不良输血反应模式分析与管理:印度南部一家教学医院血液警戒的新举措。
J Lab Physicians. 2020 Aug;12(2):133-140. doi: 10.1055/s-0040-1716592. Epub 2020 Sep 2.
6
How to verify patient identity and blood product compatibility using an electronic bedside transfusion system.如何使用床边电子输血系统核实患者身份及血液制品相容性。
Transfusion. 2020 Sep;60(9):2153-2155. doi: 10.1111/trf.16028. Epub 2020 Aug 23.
7
Is the Italian consent to transfusion really informed? A medico-legal analysis between old ghosts and new evidence.意大利的输血同意书真的是知情同意吗?基于旧观念和新证据的医学-法律分析。
Transfus Apher Sci. 2020 Oct;59(5):102823. doi: 10.1016/j.transci.2020.102823. Epub 2020 May 23.
8
Establishing a Satellite Transfusion Service Within an Academic Medical Center.在学术医疗中心内建立卫星输血服务。
Am J Clin Pathol. 2020 May 5;153(6):842-849. doi: 10.1093/ajcp/aqaa018.
9
The cost of blood: a study of the total cost of red blood cell transfusion in patients with β-thalassemia using time-driven activity-based costing.血液成本:应用时间驱动作业成本法研究β-地中海贫血患者红细胞输注的总成本
Transfusion. 2019 Nov;59(11):3386-3395. doi: 10.1111/trf.15558. Epub 2019 Oct 30.
10
Urgent Delivery - Validation and Operational Implementation of Urgent Blood Delivery by Modern High Speed Hospital Pneumatic Tube System to Support Bleeding Emergencies Within a Hospital Massive Transfusion Protocol.紧急输血——现代高速医院气动管道系统紧急输血的验证与操作实施,以支持医院大量输血方案中的出血紧急情况。
Lab Med. 2019 Oct 10;50(4):e59-e69. doi: 10.1093/labmed/lmz012.