Suppr超能文献

用于捕捉手术室中摄像机运动的基于惯性测量单元(IMU)的传感器的设计与验证。

Design and validation of an inertial measurement unit (IMU)-based sensor for capturing camera movement in the operating room.

作者信息

Saun Tomas J, Grantcharov Teodor P

机构信息

International Centre for Surgical Safety, St. Michael's Hospital - Li Ka Shing International Healthcare Education Centre, Canada.

Division of Plastic and Reconstructive Surgery, Department of Surgery, University of Toronto, ON, Canada.

出版信息

HardwareX. 2021 Feb 16;9:e00179. doi: 10.1016/j.ohx.2021.e00179. eCollection 2021 Apr.

Abstract

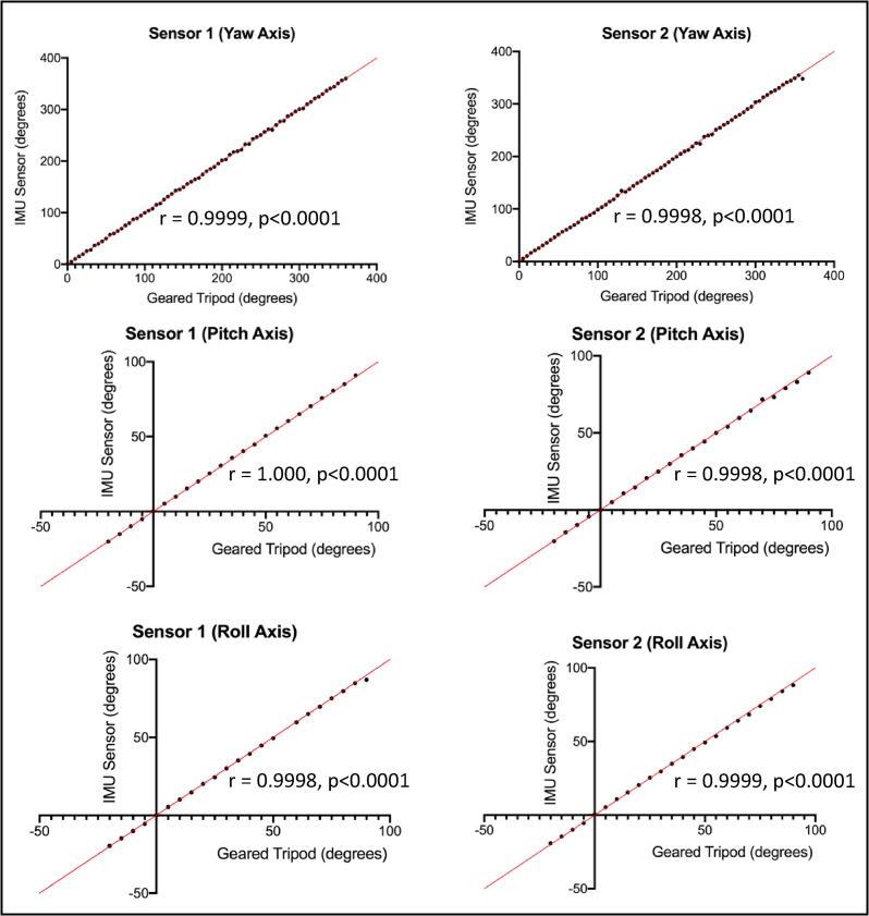
Intraoperative surgical video enables better surgical training, continued performance enhancement for surgeons and system-level quality improvement initiatives, however the capture of high-quality intraoperative video of open surgical procedures is difficult. Wearable cameras, typically in the form of a head-mounted action camera are frequently used for this purpose, although the video from these devices often contains significant motion artifact due to movement of the surgeon's head. When trying to compare the performance of various wearable cameras in the surgical setting, we could not find a motion sensor appropriate for this purpose. We therefore describe in this article the design, assembly and validation of a small sensor that can be attached to wearable cameras in the operating room to objectively quantify camera motion. The sensor incorporates an inertial measurement unit coupled to a microcontroller. Concurrent validity is established by comparing the positional sensing of the device to a geared tripod head that allows for fine, measured manipulations of the sensor in three orthogonal axes. The methodology of capturing, processing and reporting camera movement for a surgical procedure is also detailed.

摘要

术中手术视频有助于更好地进行手术培训、持续提升外科医生的手术表现以及开展系统层面的质量改进举措,然而,获取高质量的开放性手术术中视频却很困难。可穿戴式摄像头,通常是头戴式运动相机的形式,常被用于此目的,尽管这些设备拍摄的视频往往因外科医生头部的移动而包含大量运动伪影。在试图比较各种可穿戴式摄像头在手术环境中的性能时,我们找不到适合此用途的运动传感器。因此,我们在本文中描述了一种小型传感器的设计、组装和验证,该传感器可附着在手术室中的可穿戴式摄像头上,以客观量化摄像头的运动。该传感器集成了一个与微控制器相连的惯性测量单元。通过将该设备的位置传感与一个齿轮三脚架头进行比较来建立同时效度,该三脚架头允许在三个正交轴上对传感器进行精细的、有测量的操作。本文还详细介绍了针对外科手术过程捕获、处理和报告摄像头运动的方法。

https://cdn.ncbi.nlm.nih.gov/pmc/blobs/c606/9041183/2f23fbbbfdc4/ga1.jpg

文献AI研究员

20分钟写一篇综述,助力文献阅读效率提升50倍。

立即体验

用中文搜PubMed

大模型驱动的PubMed中文搜索引擎

马上搜索

文档翻译

学术文献翻译模型,支持多种主流文档格式。

立即体验