• 文献检索
  • 文档翻译
  • 深度研究
  • 学术资讯
  • Suppr Zotero 插件Zotero 插件
  • 邀请有礼
  • 套餐&价格
  • 历史记录
应用&插件
Suppr Zotero 插件Zotero 插件浏览器插件Mac 客户端Windows 客户端微信小程序
定价
高级版会员购买积分包购买API积分包
服务
文献检索文档翻译深度研究API 文档MCP 服务
关于我们
关于 Suppr公司介绍联系我们用户协议隐私条款
关注我们

Suppr 超能文献

核心技术专利:CN118964589B侵权必究
粤ICP备2023148730 号-1Suppr @ 2026

文献检索

告别复杂PubMed语法,用中文像聊天一样搜索,搜遍4000万医学文献。AI智能推荐,让科研检索更轻松。

立即免费搜索

文件翻译

保留排版,准确专业,支持PDF/Word/PPT等文件格式,支持 12+语言互译。

免费翻译文档

深度研究

AI帮你快速写综述,25分钟生成高质量综述,智能提取关键信息,辅助科研写作。

立即免费体验

一系列具有苯并咪唑共配体的锰(Ⅰ)光活化一氧化碳释放分子:合成、结构表征、一氧化碳释放性质及生物活性评价

A series of Mn(i) photo-activated carbon monoxide-releasing molecules with benzimidazole coligands: synthesis, structural characterization, CO releasing properties and biological activity evaluation.

作者信息

Hu Mixia, Yan YaLi, Zhu Baohua, Chang Fei, Yu Shiyong, Alatan Gaole

机构信息

College of Chemistry and Chemical Engineering, Inner Mongolia University Hohhot 010021 China

Key Lab of Fine Organic Synthesis Inner Mongolia Autonomous Region Hohhot 010021 China.

出版信息

RSC Adv. 2019 Jul 2;9(36):20505-20512. doi: 10.1039/c9ra01370a. eCollection 2019 Jul 1.

DOI:10.1039/c9ra01370a
PMID:35515566
原文链接:https://pmc.ncbi.nlm.nih.gov/articles/PMC9065806/
Abstract

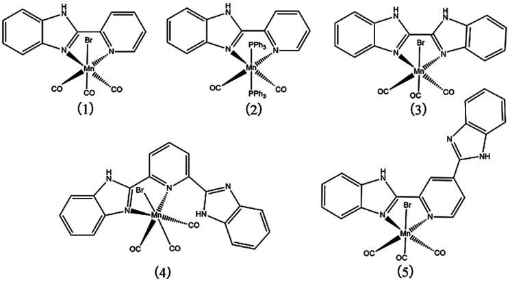
Five Mn(i) photo-activated carbon monoxide-releasing molecules (photo-CORMs) with benzimidazole coligands, namely [MnBr(CO)L1] (1, L1 = 2-(2-pyridyl)benzimidazole), Mn(CO)L1(PPh) (2), [MnBr(CO)L2] (3, L2 = 2,2'-bisbenzimidazole), [MnBr(CO)L3]·CHOH (4, L3 = 2,6-bis(benzimidazole-2'-yl)pyridine) and -[MnBr(CO)L4] (5, L4 = 2,4-bis(benzimidazole-2'-yl) pyridine) were synthesized by reactions of MnBr(CO) with complexes L1-L4, respectively, and characterized single crystal X-ray diffraction, elemental analysis, H-NMR, C-NMR, IR, UV-vis and fluorescence spectroscopy. The CO-release properties of 1-5 were investigated using the myoglobin assay and CO detection, and the results show that all of the complexes could release CO rapidly upon exposure to 365 nm UV light. Comparing their half-lives of CO release, we found that increasing the degree of unsaturation and conjugation of the ligand frame could be advantageous for prolonging the time of CO-release, and that the luminescence intensity of 1-5 could gradually be enhanced. The cellular fluorescence imaging tests demonstrate that these Mn(i) photo-CORMs can be taken up by human liver cells (HL-7702) and liver cancer cells (SK-Hep1), and exhibit good capabilities for bioimaging. A cell viability assay for SK-Hep1 shows that the anticancer activity of 3 is better than that of other complexes.

摘要

合成了五种带有苯并咪唑共配体的锰(Ⅰ)光活化一氧化碳释放分子(光CORMs),即[MnBr(CO)L1](1,L1 = 2-(2-吡啶基)苯并咪唑)、Mn(CO)L1(PPh)(2)、[MnBr(CO)L2](3,L2 = 2,2'-双苯并咪唑)、[MnBr(CO)L3]·CHOH(4,L3 = 2,6-双(苯并咪唑-2'-基)吡啶)和[MnBr(CO)L4](5,L4 = 2,4-双(苯并咪唑-2'-基)吡啶),它们分别通过MnBr(CO)与配合物L1 - L4反应合成,并通过单晶X射线衍射、元素分析、1H-NMR、13C-NMR、红外光谱、紫外-可见光谱和荧光光谱进行表征。使用肌红蛋白测定法和CO检测研究了1 - 5的CO释放特性,结果表明所有配合物在暴露于365 nm紫外光时都能快速释放CO。比较它们的CO释放半衰期,我们发现增加配体框架的不饱和程度和共轭程度有利于延长CO释放时间,并且1 - 5的发光强度可以逐渐增强。细胞荧光成像测试表明,这些锰(Ⅰ)光CORMs可以被人肝细胞(HL-7702)和肝癌细胞(SK-Hep1)摄取,并表现出良好的生物成像能力。对SK-Hep1的细胞活力测定表明,3的抗癌活性优于其他配合物。

https://cdn.ncbi.nlm.nih.gov/pmc/blobs/f79d/9065806/ebe5b64f2fcd/c9ra01370a-f10.jpg
https://cdn.ncbi.nlm.nih.gov/pmc/blobs/f79d/9065806/888d3964a55e/c9ra01370a-f1.jpg
https://cdn.ncbi.nlm.nih.gov/pmc/blobs/f79d/9065806/e9ba4c7bf671/c9ra01370a-f2.jpg
https://cdn.ncbi.nlm.nih.gov/pmc/blobs/f79d/9065806/1c0e3a92dd2d/c9ra01370a-f3.jpg
https://cdn.ncbi.nlm.nih.gov/pmc/blobs/f79d/9065806/d4769cd6810e/c9ra01370a-f4.jpg
https://cdn.ncbi.nlm.nih.gov/pmc/blobs/f79d/9065806/c0a833404e71/c9ra01370a-f5.jpg
https://cdn.ncbi.nlm.nih.gov/pmc/blobs/f79d/9065806/b1708094ec1e/c9ra01370a-f6.jpg
https://cdn.ncbi.nlm.nih.gov/pmc/blobs/f79d/9065806/1f3bca4be3c5/c9ra01370a-f7.jpg
https://cdn.ncbi.nlm.nih.gov/pmc/blobs/f79d/9065806/f1f5591fbb89/c9ra01370a-f8.jpg
https://cdn.ncbi.nlm.nih.gov/pmc/blobs/f79d/9065806/76251b739ad7/c9ra01370a-f9.jpg
https://cdn.ncbi.nlm.nih.gov/pmc/blobs/f79d/9065806/ebe5b64f2fcd/c9ra01370a-f10.jpg
https://cdn.ncbi.nlm.nih.gov/pmc/blobs/f79d/9065806/888d3964a55e/c9ra01370a-f1.jpg
https://cdn.ncbi.nlm.nih.gov/pmc/blobs/f79d/9065806/e9ba4c7bf671/c9ra01370a-f2.jpg
https://cdn.ncbi.nlm.nih.gov/pmc/blobs/f79d/9065806/1c0e3a92dd2d/c9ra01370a-f3.jpg
https://cdn.ncbi.nlm.nih.gov/pmc/blobs/f79d/9065806/d4769cd6810e/c9ra01370a-f4.jpg
https://cdn.ncbi.nlm.nih.gov/pmc/blobs/f79d/9065806/c0a833404e71/c9ra01370a-f5.jpg
https://cdn.ncbi.nlm.nih.gov/pmc/blobs/f79d/9065806/b1708094ec1e/c9ra01370a-f6.jpg
https://cdn.ncbi.nlm.nih.gov/pmc/blobs/f79d/9065806/1f3bca4be3c5/c9ra01370a-f7.jpg
https://cdn.ncbi.nlm.nih.gov/pmc/blobs/f79d/9065806/f1f5591fbb89/c9ra01370a-f8.jpg
https://cdn.ncbi.nlm.nih.gov/pmc/blobs/f79d/9065806/76251b739ad7/c9ra01370a-f9.jpg
https://cdn.ncbi.nlm.nih.gov/pmc/blobs/f79d/9065806/ebe5b64f2fcd/c9ra01370a-f10.jpg

相似文献

1
A series of Mn(i) photo-activated carbon monoxide-releasing molecules with benzimidazole coligands: synthesis, structural characterization, CO releasing properties and biological activity evaluation.一系列具有苯并咪唑共配体的锰(Ⅰ)光活化一氧化碳释放分子:合成、结构表征、一氧化碳释放性质及生物活性评价
RSC Adv. 2019 Jul 2;9(36):20505-20512. doi: 10.1039/c9ra01370a. eCollection 2019 Jul 1.
2
Developing the {M(CO)3}+ core for fluorescence applications: Rhenium tricarbonyl core complexes with benzimidazole, quinoline, and tryptophan derivatives.用于荧光应用的{M(CO)3}+核的开发:含苯并咪唑、喹啉和色氨酸衍生物的三羰基铼核配合物。
Inorg Chem. 2006 Apr 3;45(7):3057-66. doi: 10.1021/ic0517319.
3
Manganese carbonyls bearing tripodal polypyridine ligands as photoactive carbon monoxide-releasing molecules.含三脚架型多吡啶配体的羰基锰作为光活性一氧化碳释放分子。
Inorg Chem. 2012 Jan 2;51(1):601-8. doi: 10.1021/ic2021287. Epub 2011 Dec 9.
4
Synthesis and structures of photoactive manganese-carbonyl complexes derived from 2-(pyridin-2-yl)-1,3-benzothiazole and 2-(quinolin-2-yl)-1,3-benzothiazole.源自2-(吡啶-2-基)-1,3-苯并噻唑和2-(喹啉-2-基)-1,3-苯并噻唑的光活性锰羰基配合物的合成与结构
Acta Crystallogr C Struct Chem. 2017 Apr 1;73(Pt 4):357-361. doi: 10.1107/S2053229617004429. Epub 2017 Mar 23.
5
Synthesis and assessment of CO-release capacity of manganese carbonyl complexes derived from rigid α-diimine ligands of varied complexity.源自不同复杂程度刚性α-二亚胺配体的羰基锰配合物的一氧化碳释放能力的合成与评估。
Eur J Inorg Chem. 2015 Oct;2015(30):5021-5026. doi: 10.1002/ejic.201500816. Epub 2015 Sep 30.
6
Acetoxymethyl Concept for Intracellular Administration of Carbon Monoxide with Mn(CO) -Based PhotoCORMs.基于锰羰基配合物的光化学一氧化碳释放分子的乙酰氧基甲基概念用于细胞内一氧化碳给药
Chemistry. 2018 Mar 2;24(13):3321-3329. doi: 10.1002/chem.201705686. Epub 2018 Feb 6.
7
Introducing [Mn(CO)3(tpa-κ(3)N)](+) as a novel photoactivatable CO-releasing molecule with well-defined iCORM intermediates - synthesis, spectroscopy, and antibacterial activity.介绍[Mn(CO)3(tpa-κ(3)N)](+)作为一种具有明确的一氧化碳释放分子(iCORM)中间体的新型光可激活一氧化碳释放分子——合成、光谱学及抗菌活性。
Dalton Trans. 2014 Jul 14;43(26):9986-97. doi: 10.1039/c3dt51848e.
8
Syntheses, structures, and properties of new manganese carbonyls as photoactive CO-releasing molecules: design strategies that lead to CO photolability in the visible region.新型锰羰基化合物的合成、结构和性质作为光活性 CO 释放分子:导致可见光区域 CO 光解的设计策略。
Inorg Chem. 2012 Nov 5;51(21):11930-40. doi: 10.1021/ic3018216. Epub 2012 Oct 22.
9
d /d Metal Complexes Constructed from 2,6-Bis(2-benzimidazolyl)pyridyl or 2,6-Di-(pyrazol-3-yl)pyridine Derivatives: Synthesis, Structure, Characterization, and Photocatalytic Activity.由2,6-双(2-苯并咪唑基)吡啶或2,6-二(吡唑-3-基)吡啶衍生物构建的d/d金属配合物:合成、结构、表征及光催化活性
Chempluschem. 2015 Mar;80(3):549-558. doi: 10.1002/cplu.201402255. Epub 2014 Nov 17.
10
Cu(I) complexes regulated by N-heterocyclic ligands: Syntheses, structures, fluorescence and electrochemical properties.由 N-杂环配体调控的 Cu(I) 配合物:合成、结构、荧光和电化学性质。
Spectrochim Acta A Mol Biomol Spectrosc. 2018 Oct 5;203:408-414. doi: 10.1016/j.saa.2018.06.003. Epub 2018 Jun 2.

本文引用的文献

1
Diiron Hexacarbonyl Complex Induces Site-Specific Release of Carbon Monoxide in Cancer Cells Triggered by Endogenous Glutathione.二铁六羰基配合物在内源性谷胱甘肽触发下诱导癌细胞中一氧化碳的位点特异性释放。
ACS Omega. 2018 Mar 31;3(3):2683-2689. doi: 10.1021/acsomega.8b00052. Epub 2018 Mar 6.
2
N-Substituted Prodrugs of Mebendazole Provide Improved Aqueous Solubility and Oral Bioavailability in Mice and Dogs.N-取代的甲苯达唑前药可提高在小鼠和犬体内的水溶解度和口服生物利用度。
J Med Chem. 2018 May 10;61(9):3918-3929. doi: 10.1021/acs.jmedchem.7b01792. Epub 2018 Apr 19.
3
A Luminescent Manganese PhotoCORM for CO Delivery to Cellular Targets under the Control of Visible Light.
一种用于在可见光控制下将一氧化碳递送至细胞靶点的发光锰光化学一氧化碳释放分子。
Inorg Chem. 2018 Feb 19;57(4):1766-1773. doi: 10.1021/acs.inorgchem.7b02480. Epub 2018 Feb 2.
4
Co-Registered Molecular Logic Gate with a CO-Releasing Molecule Triggered by Light and Peroxide.具有光和过氧化物触发的一氧化碳释放分子的共注册分子逻辑门
J Am Chem Soc. 2017 Apr 12;139(14):4991-4994. doi: 10.1021/jacs.7b00867. Epub 2017 Apr 3.
5
Antimicrobial Activity of the Manganese Photoactivated Carbon Monoxide-Releasing Molecule [Mn(CO)3(tpa-κ(3)N)](+) Against a Pathogenic Escherichia coli that Causes Urinary Infections.锰光活化一氧化碳释放分子[Mn(CO)3(tpa-κ(3)N)](+)对引起尿路感染的致病性大肠杆菌的抗菌活性
Antioxid Redox Signal. 2016 May 10;24(14):765-80. doi: 10.1089/ars.2015.6484. Epub 2016 Mar 30.
6
Synthesis and Characterization of a "Turn-On" photoCORM for Trackable CO Delivery to Biological Targets.一种用于向生物靶点进行可追踪一氧化碳递送的“开启型”光控一氧化碳释放分子的合成与表征
ACS Med Chem Lett. 2014 Nov 17;5(12):1324-8. doi: 10.1021/ml500399r. eCollection 2014 Dec 11.
7
Design strategies to improve the sensitivity of photoactive metal carbonyl complexes (photoCORMs) to visible light and their potential as CO-donors to biological targets.提高光活性金属羰基配合物(photoCORMs)对可见光的灵敏度的设计策略及其作为 CO 供体与生物靶标结合的潜力。
Acc Chem Res. 2014 Aug 19;47(8):2603-11. doi: 10.1021/ar500172f. Epub 2014 Jul 8.
8
Introducing [Mn(CO)3(tpa-κ(3)N)](+) as a novel photoactivatable CO-releasing molecule with well-defined iCORM intermediates - synthesis, spectroscopy, and antibacterial activity.介绍[Mn(CO)3(tpa-κ(3)N)](+)作为一种具有明确的一氧化碳释放分子(iCORM)中间体的新型光可激活一氧化碳释放分子——合成、光谱学及抗菌活性。
Dalton Trans. 2014 Jul 14;43(26):9986-97. doi: 10.1039/c3dt51848e.
9
Thermal and photochemical reactivity of manganese tricarbonyl and tetracarbonyl complexes with a bulky diazabutadiene ligand.具有庞大二氮杂丁二烯配体的三羰基锰和四羰基锰配合物的热反应性和光化学反应性。
Inorg Chem. 2014 Apr 21;53(8):4081-8. doi: 10.1021/ic500025k. Epub 2014 Apr 1.
10
Repositioning of the anthelmintic drug mebendazole for the treatment for colon cancer.将驱虫药甲苯咪唑重新定位用于结肠癌的治疗。
J Cancer Res Clin Oncol. 2013 Dec;139(12):2133-40. doi: 10.1007/s00432-013-1539-5. Epub 2013 Oct 18.