• 文献检索
  • 文档翻译
  • 深度研究
  • 学术资讯
  • Suppr Zotero 插件Zotero 插件
  • 邀请有礼
  • 套餐&价格
  • 历史记录
应用&插件
Suppr Zotero 插件Zotero 插件浏览器插件Mac 客户端Windows 客户端微信小程序
定价
高级版会员购买积分包购买API积分包
服务
文献检索文档翻译深度研究API 文档MCP 服务
关于我们
关于 Suppr公司介绍联系我们用户协议隐私条款
关注我们

Suppr 超能文献

核心技术专利:CN118964589B侵权必究
粤ICP备2023148730 号-1Suppr @ 2026

文献检索

告别复杂PubMed语法,用中文像聊天一样搜索,搜遍4000万医学文献。AI智能推荐,让科研检索更轻松。

立即免费搜索

文件翻译

保留排版,准确专业,支持PDF/Word/PPT等文件格式,支持 12+语言互译。

免费翻译文档

深度研究

AI帮你快速写综述,25分钟生成高质量综述,智能提取关键信息,辅助科研写作。

立即免费体验

酚醛树脂的研究现状、工业应用需求及前景

Research status, industrial application demand and prospects of phenolic resin.

作者信息

Xu Yanru, Guo Lifang, Zhang Haonan, Zhai Huamin, Ren Hao

机构信息

Jiangsu Provincial Key Lab of Pulp and Paper Science and Technology, Nanjing Forestry University Nanjing 210037 China

Jiangsu Co-Innovation Center for Efficient Processing and Utilization of Forest Resources Nanjing 210037 China.

出版信息

RSC Adv. 2019 Sep 17;9(50):28924-28935. doi: 10.1039/c9ra06487g. eCollection 2019 Sep 13.

DOI:10.1039/c9ra06487g
PMID:35528406
原文链接:https://pmc.ncbi.nlm.nih.gov/articles/PMC9071960/
Abstract

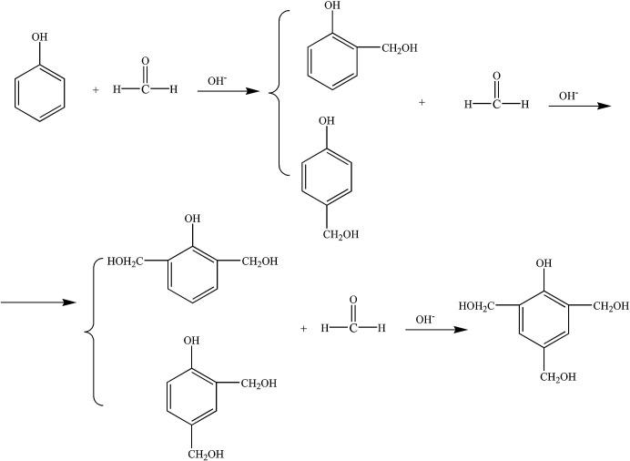
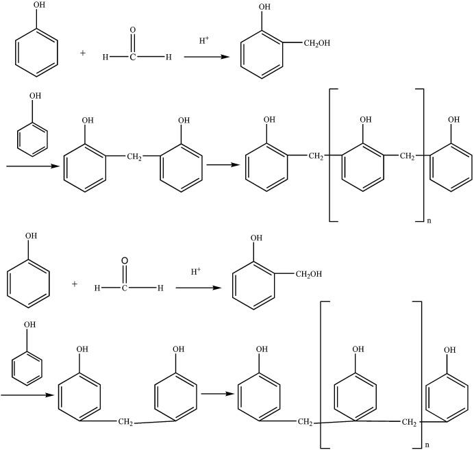
The synthesis process of the phenolic resin adhesive was developed in the 19th century, and its excellent environmental resistance and high bonding strength make it one of the main wood adhesives. With the development of industry, phenolic resin adhesive is not only used in plywood, wood processing and laminate, but also in automobile, aerospace, composite materials and other fields. Herein we review the main synthetic processes and latest research progress for phenolic resin adhesives, the capacity distribution of major domestic phenolic resin enterprises, analysis of domestic phenolic resin consumption, import and export volume and price, Chinese plywood production, and the main production and export markets. Furthermore, research and discussion on the commercial application of domestic phenolic resin adhesives in plywood were carried out, which provides a reference for development of better phenolic resin adhesives that meet the development needs of the country, along with quality and economic competitiveness.

摘要

酚醛树脂胶粘剂的合成工艺在19世纪得到发展,其优异的耐环境性和高粘结强度使其成为主要的木材胶粘剂之一。随着工业的发展,酚醛树脂胶粘剂不仅用于胶合板、木材加工和层压板,还应用于汽车、航空航天、复合材料等领域。在此,我们综述了酚醛树脂胶粘剂的主要合成工艺和最新研究进展、国内主要酚醛树脂企业的产能分布、国内酚醛树脂的消费分析、进出口量及价格、中国胶合板产量以及主要生产和出口市场。此外,还对国内酚醛树脂胶粘剂在胶合板中的商业应用进行了研究和讨论,为开发出符合国家发展需求、兼具质量和经济竞争力的更好的酚醛树脂胶粘剂提供了参考。

https://cdn.ncbi.nlm.nih.gov/pmc/blobs/995d/9071960/b653a608a30c/c9ra06487g-f7.jpg
https://cdn.ncbi.nlm.nih.gov/pmc/blobs/995d/9071960/9b905d6e6843/c9ra06487g-f1.jpg
https://cdn.ncbi.nlm.nih.gov/pmc/blobs/995d/9071960/0dc2c5348add/c9ra06487g-f2.jpg
https://cdn.ncbi.nlm.nih.gov/pmc/blobs/995d/9071960/6552a335a1a7/c9ra06487g-f3.jpg
https://cdn.ncbi.nlm.nih.gov/pmc/blobs/995d/9071960/70fa9702f814/c9ra06487g-f4.jpg
https://cdn.ncbi.nlm.nih.gov/pmc/blobs/995d/9071960/b653a608a30c/c9ra06487g-f7.jpg
https://cdn.ncbi.nlm.nih.gov/pmc/blobs/995d/9071960/9b905d6e6843/c9ra06487g-f1.jpg
https://cdn.ncbi.nlm.nih.gov/pmc/blobs/995d/9071960/0dc2c5348add/c9ra06487g-f2.jpg
https://cdn.ncbi.nlm.nih.gov/pmc/blobs/995d/9071960/6552a335a1a7/c9ra06487g-f3.jpg
https://cdn.ncbi.nlm.nih.gov/pmc/blobs/995d/9071960/70fa9702f814/c9ra06487g-f4.jpg
https://cdn.ncbi.nlm.nih.gov/pmc/blobs/995d/9071960/b653a608a30c/c9ra06487g-f7.jpg

相似文献

1
Research status, industrial application demand and prospects of phenolic resin.酚醛树脂的研究现状、工业应用需求及前景
RSC Adv. 2019 Sep 17;9(50):28924-28935. doi: 10.1039/c9ra06487g. eCollection 2019 Sep 13.
2
A Green Resin Wood Adhesive from Synthetic Polyamide Crosslinking with Glyoxal.一种由合成聚酰胺与乙二醛交联制备的绿色树脂木材胶粘剂。
Polymers (Basel). 2022 Jul 11;14(14):2819. doi: 10.3390/polym14142819.
3
Enhancing the Adhesive Strength of a Plywood Adhesive Developed from Hydrolyzed Specified Risk Materials.提高由水解特定风险材料制成的胶合板胶粘剂的粘结强度。
Polymers (Basel). 2016 Aug 8;8(8):285. doi: 10.3390/polym8080285.
4
Eco-Friendly Phenol-Urea-Formaldehyde Co-condensed Resin Adhesives Accelerated by Resorcinol for Plywood Manufacturing.间苯二酚加速的用于胶合板制造的环保型苯酚-尿素-甲醛共缩聚树脂胶粘剂
ACS Omega. 2018 Aug 1;3(8):8521-8528. doi: 10.1021/acsomega.8b01286. eCollection 2018 Aug 31.
5
Influence of wood species and adhesive type on the performance of multilaminated plywood.木材种类和胶黏剂类型对多层胶合板性能的影响。
Environ Sci Pollut Res Int. 2021 Sep;28(36):50835-50846. doi: 10.1007/s11356-021-14283-w. Epub 2021 May 10.
6
Properties of Thermoplastic-Bonded Plywood: Effects of the Wood Species and Types of the Thermoplastic Films.热塑性粘结胶合板的性能:木材种类和热塑性薄膜类型的影响。
Polymers (Basel). 2020 Nov 3;12(11):2582. doi: 10.3390/polym12112582.
7
Synthesis of biomass hyperbranched polyamide resin from cellulose and citric acid for wood adhesive.由纤维素和柠檬酸合成用于木材胶黏剂的生物质超支化聚酰胺树脂。
Int J Biol Macromol. 2023 Dec 31;253(Pt 1):126575. doi: 10.1016/j.ijbiomac.2023.126575. Epub 2023 Aug 28.
8
Fabrication and Characterization of EVA Resins as Adhesives in Plywood.用于胶合板的EVA树脂胶粘剂的制备与表征
Polymers (Basel). 2023 Apr 10;15(8):1834. doi: 10.3390/polym15081834.
9
Micro-Fibrillated Cellulose in Adhesive Systems for the Production of Wood-Based Panels.微纤化纤维素在木质板材生产用胶粘剂体系中的应用。
Molecules. 2020 Oct 21;25(20):4846. doi: 10.3390/molecules25204846.
10
Preparation and characterization of a soy protein based bio-adhesive crosslinked by waterborne epoxy resin and polyacrylamide.基于大豆蛋白的生物粘合剂的制备及其由水性环氧树脂和聚丙烯酰胺交联的表征
RSC Adv. 2019 Oct 30;9(60):35273-35279. doi: 10.1039/c9ra05931h. eCollection 2019 Oct 28.

引用本文的文献

1
Facile synthesis of FeO@pyrogallol-formaldehyde resin@Ag core-shell nanomaterials for the catalytic degradation of contaminants.用于催化降解污染物的FeO@邻苯三酚-甲醛树脂@Ag核壳纳米材料的简便合成
RSC Adv. 2025 Jul 8;15(29):23643-23653. doi: 10.1039/d5ra02755a. eCollection 2025 Jul 4.
2
Curing reaction kinetics of paper-based phenolic resin laminates-from laboratory measurements to inline quality control.纸质酚醛树脂层压板的固化反应动力学——从实验室测量到在线质量控制
Anal Bioanal Chem. 2025 Jul 3. doi: 10.1007/s00216-025-05983-0.
3
Fabrication and Performance Enhancement of Wood Liquefaction-Based Carbon Fibers Modified with Alumina Nanoparticles.

本文引用的文献

1
Graphene/cardanol modified phenolic resin for the development of carbon fiber paper-based composites.用于开发碳纤维纸基复合材料的石墨烯/腰果酚改性酚醛树脂
RSC Adv. 2018 Jul 6;8(43):24464-24469. doi: 10.1039/c8ra02699h. eCollection 2018 Jul 2.
基于木材液化的氧化铝纳米粒子改性碳纤维的制备及其性能增强
Polymers (Basel). 2025 Jan 9;17(2):155. doi: 10.3390/polym17020155.
4
Optimization of the Mechanical Recycling of Phenolic Resins for Household Appliances.家用电器用酚醛树脂机械回收的优化
Polymers (Basel). 2024 Nov 30;16(23):3378. doi: 10.3390/polym16233378.
5
Solid-State Structures and Properties of Lignin Hydrogenolysis Oil Compounds: Shedding a Unique Light on Lignin Valorization.木质素加氢解油化合物的固态结构和性质:为木质素增值利用提供独特的视角。
Int J Mol Sci. 2024 Oct 8;25(19):10810. doi: 10.3390/ijms251910810.
6
Aromatic Biobased Polymeric Materials Using Plant Polyphenols as Sustainable Alternative Raw Materials: A Review.以植物多酚为可持续替代原料的芳香族生物基高分子材料综述
Polymers (Basel). 2024 Sep 29;16(19):2752. doi: 10.3390/polym16192752.
7
Improving Pore Characteristics, Mechanical Properties and Thermal Performances of Near-Net Shape Manufacturing Phenolic Resin Aerogels.改善近净成形制造酚醛树脂气凝胶的孔隙特性、力学性能和热性能。
Polymers (Basel). 2024 Jun 4;16(11):1593. doi: 10.3390/polym16111593.
8
Electroanalytical analysis of phenol oxidation using bacteria immobilized by a polycaprolactone coating on the copper electrode surface.使用聚己内酯涂层固定在铜电极表面的细菌对苯酚氧化进行电分析。
Sci Rep. 2024 Jun 7;14(1):13136. doi: 10.1038/s41598-024-58281-7.
9
Ink-Based Additive Manufacturing of a Polymer/Coal Composite: A Non-Traditional Reinforcement.基于墨水的聚合物/煤复合材料增材制造:一种非传统增强方法。
ACS Appl Eng Mater. 2024 May 6;2(5):1315-1323. doi: 10.1021/acsaenm.4c00126. eCollection 2024 May 24.
10
An Overview of Recycling Phenolic Resin.酚醛树脂回收概述
Polymers (Basel). 2024 Apr 30;16(9):1255. doi: 10.3390/polym16091255.