Suppr超能文献

从海洋细菌MSI45中分离出的一种抗生素吡咯并[1,2 - ]吡嗪 - 1,4 - 二酮,六氢化物可有效控制多重耐药性。

An antibiotic agent pyrrolo[1,2-]pyrazine-1,4-dione,hexahydro isolated from a marine bacteria MSI45 effectively controls multi-drug resistant .

作者信息

Kiran George Seghal, Priyadharsini Sethu, Sajayan Arya, Ravindran Amrudha, Selvin Joseph

机构信息

Department of Food Science and Technology, Pondicherry University India.

Department of Microbiology, Pondicherry University India

出版信息

RSC Adv. 2018 May 16;8(32):17837-17846. doi: 10.1039/c8ra00820e. eCollection 2018 May 14.

Abstract

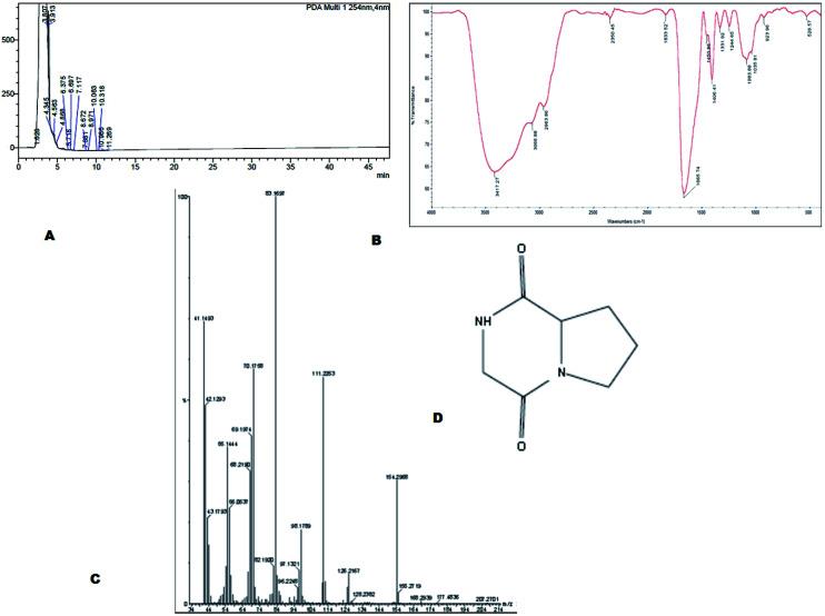
Sponge associated bacteria are a rich source of bioactive secondary metabolites. This study aims to isolate bacteria producing antimicrobial agents from a marine sponge, . A total of fifty-six bacteria were isolated and screened for antibacterial activity against multidrug resistant . Based on the 16S rRNA sequence and phylogenetic analysis the antimicrobial producer strain MSI45 was identified as a novel . The culture conditions of strain MSI45 were optimized to enhance the yield of the antimicrobial compound. The antimicrobial compound was purified using a silica gel column chromatography and high performance liquid chromatography. On the basis of spectroscopic analysis such as FT-IR, NMR and GC-MS, the bioactive metabolite was identified as pyrrolo[1,2-]pyrazine-1,4-dione,hexahydro. The extracted compound MSI45 showed a potent inhibitory effect on multidrug resistant with an MIC of 15 ± 0.172 mg L and MBC of 20 ± 0.072 mg L. The compound was non-hemolytic and showed high antioxidant activity. The antioxidant activity may increase the efficacy and safety of the molecule in drug development. Hence, this compound produced by MSI45 could have potent antimicrobial and antioxidant activity against infection.

摘要

海绵相关细菌是生物活性次生代谢产物的丰富来源。本研究旨在从一种海洋海绵中分离出产生抗菌剂的细菌。共分离出56株细菌,并筛选其对多重耐药菌的抗菌活性。基于16S rRNA序列和系统发育分析,抗菌产生菌MSI45被鉴定为一个新种。对菌株MSI45的培养条件进行了优化,以提高抗菌化合物的产量。使用硅胶柱色谱和高效液相色谱对该抗菌化合物进行了纯化。基于傅里叶变换红外光谱(FT-IR)、核磁共振(NMR)和气相色谱-质谱联用(GC-MS)等光谱分析,该生物活性代谢产物被鉴定为六氢吡咯并[1,2 -]吡嗪-1,4 -二酮。提取的化合物MSI45对多重耐药菌显示出强效抑制作用,其最低抑菌浓度(MIC)为15±0.172 mg/L,最低杀菌浓度(MBC)为20±0.072 mg/L。该化合物无溶血作用,并显示出高抗氧化活性。抗氧化活性可能会提高该分子在药物开发中的疗效和安全性。因此,MSI45产生的这种化合物可能对感染具有强效抗菌和抗氧化活性。

https://cdn.ncbi.nlm.nih.gov/pmc/blobs/1e39/9080480/8713d4482893/c8ra00820e-f1.jpg

文献检索

告别复杂PubMed语法,用中文像聊天一样搜索,搜遍4000万医学文献。AI智能推荐,让科研检索更轻松。

立即免费搜索

文件翻译

保留排版,准确专业,支持PDF/Word/PPT等文件格式,支持 12+语言互译。

免费翻译文档

深度研究

AI帮你快速写综述,25分钟生成高质量综述,智能提取关键信息,辅助科研写作。

立即免费体验