• 文献检索
  • 文档翻译
  • 深度研究
  • 学术资讯
  • Suppr Zotero 插件Zotero 插件
  • 邀请有礼
  • 套餐&价格
  • 历史记录
应用&插件
Suppr Zotero 插件Zotero 插件浏览器插件Mac 客户端Windows 客户端微信小程序
定价
高级版会员购买积分包购买API积分包
服务
文献检索文档翻译深度研究API 文档MCP 服务
关于我们
关于 Suppr公司介绍联系我们用户协议隐私条款
关注我们

Suppr 超能文献

核心技术专利:CN118964589B侵权必究
粤ICP备2023148730 号-1Suppr @ 2026

文献检索

告别复杂PubMed语法,用中文像聊天一样搜索,搜遍4000万医学文献。AI智能推荐,让科研检索更轻松。

立即免费搜索

文件翻译

保留排版,准确专业,支持PDF/Word/PPT等文件格式,支持 12+语言互译。

免费翻译文档

深度研究

AI帮你快速写综述,25分钟生成高质量综述,智能提取关键信息,辅助科研写作。

立即免费体验

早发性心房颤动患者的死亡率与心肌病和心律失常基因中的罕见变异有关。

Mortality Among Patients With Early-Onset Atrial Fibrillation and Rare Variants in Cardiomyopathy and Arrhythmia Genes.

机构信息

Department of Medicine, Division of Cardiovascular Medicine, Vanderbilt University Medical Center, Nashville, Tennessee.

Department of Biostatistics, Vanderbilt University Medical Center, Nashville, Tennessee.

出版信息

JAMA Cardiol. 2022 Jul 1;7(7):733-741. doi: 10.1001/jamacardio.2022.0810.

DOI:10.1001/jamacardio.2022.0810
PMID:35544069
原文链接:https://pmc.ncbi.nlm.nih.gov/articles/PMC9096694/
Abstract

IMPORTANCE

Patients with early-onset atrial fibrillation (AF) are enriched for rare variants in cardiomyopathy and arrhythmia genes. The clinical significance of these rare variants in patients with early-onset AF is unknown.

OBJECTIVE

To assess the association between rare variants in cardiomyopathy and arrhythmia genes detected in patients with early-onset AF and time to death.

DESIGN, SETTING, AND PARTICIPANTS: This prospective cohort study included participants with AF diagnosed before 66 years of age who underwent whole-genome sequencing through the National Heart, Lung and Blood Institute's Trans-Omics for Precision Medicine program. Participants were enrolled from November 23, 1999, to June 2, 2015. Data were analyzed from February 26 to September 19, 2021.

EXPOSURES

Rare variants identified in a panel of 145 genes that are included in cardiomyopathy and arrhythmia panels used by commercial clinical genetic testing laboratories.

MAIN OUTCOMES AND MEASURES

The primary study outcome was time to death and was adjudicated from medical records and the National Death Index. Multivariable Cox proportional hazards regression was used to evaluate the association of disease-associated variants with risk of death after adjustment for age at AF diagnosis, sex, race, body mass index, left ventricular ejection fraction, and an interaction term of age at AF diagnosis and disease-associated variant status.

RESULTS

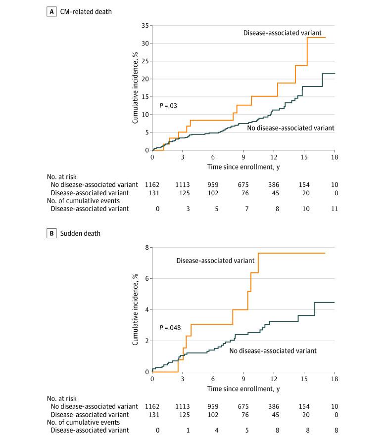
Among 1293 participants (934 [72%] male; median age at enrollment, 56.0 years; IQR, 48.0-61.0 years), disease-associated (pathogenic or likely pathogenic) rare variants were found in 131 (10%). During a median follow-up of 9.9 years (IQR, 6.9-13.2 years), 219 participants (17%) died. In univariable analysis, disease-associated variants were associated with an increased risk of mortality (hazard ratio, [HR], 1.5; 95% CI, 1.0-2.1; P = .05); the association remained significant in multivariable modeling when adjusted for age at AF diagnosis, sex, race, body mass index, left ventricular ejection fraction, and an interaction term between disease-associated variant status and age at AF diagnosis. The interaction demonstrated that disease-associated variants were associated with a significantly higher risk of mortality compared with no disease-associated variant when AF was diagnosed at a younger age (P = .008 for interaction). Higher body mass index (per IQR: HR, 1.4; 95% CI, 1.2-1.6; P < .001) and lower left ventricular ejection fraction (per IQR: HR, 0.8; 95% CI, 0.7-0.8; P < .001) were associated with higher mortality risk. There were 73 cardiomyopathy-related deaths, 40 sudden deaths, and 10 stroke-related deaths. Mortality among patients with the most prevalent genes with disease-associated variants was 26% (10 of 38 patients) for TTN, 33% (6 of 18) for MYH7, 22% (2 of 9) for LMNA, 0% (0 of 10) for MYH6, and 0% (0 of 8) for KCNQ1.

CONCLUSIONS AND RELEVANCE

The findings suggest that rare variants in cardiomyopathy and arrhythmia genes may be associated with increased risk of mortality among patients with early-onset AF, especially those diagnosed at a younger age. Genetic testing may provide important prognostic information for patients with early-onset AF.

摘要

重要性

患有早发性心房颤动 (AF) 的患者在心肌病和心律失常基因中存在丰富的罕见变异。这些早发性 AF 患者中罕见变异的临床意义尚不清楚。

目的

评估在早发性 AF 患者中检测到的心肌病和心律失常基因中的罕见变异与死亡时间之间的关联。

设计、地点和参与者:这项前瞻性队列研究纳入了通过国家心肺血液研究所的跨组学精准医学计划进行全基因组测序的诊断年龄在 66 岁以下的 AF 患者。参与者于 1999 年 11 月 23 日至 2015 年 6 月 2 日入组。数据于 2021 年 2 月 26 日至 9 月 19 日进行分析。

暴露

在商业临床遗传检测实验室使用的心肌病和心律失常面板中包含的 145 个基因的面板中鉴定出的罕见变异。

主要结果和措施

主要研究结果是死亡时间,并从病历和国家死亡指数中进行裁决。多变量 Cox 比例风险回归用于评估在调整 AF 诊断年龄、性别、种族、体重指数、左心室射血分数以及 AF 诊断和疾病相关变异状态的交互项后,疾病相关变异与死亡风险之间的关联。

结果

在 1293 名参与者(934 名 [72%] 男性;中位入组年龄为 56.0 岁;IQR,48.0-61.0 岁)中,发现 131 名(10%)存在疾病相关(致病性或可能致病性)罕见变异。在中位随访 9.9 年(IQR,6.9-13.2 年)期间,219 名参与者(17%)死亡。在单变量分析中,疾病相关变异与死亡率增加相关(风险比 [HR],1.5;95%CI,1.0-2.1;P=0.05);在调整 AF 诊断年龄、性别、种族、体重指数、左心室射血分数以及疾病相关变异状态与 AF 诊断之间的交互项后,这种关联在多变量模型中仍然显著。交互作用表明,与没有疾病相关变异的情况相比,当 AF 更早诊断时,疾病相关变异与更高的死亡率风险显著相关(交互作用 P=0.008)。更高的体重指数(每 IQR:HR,1.4;95%CI,1.2-1.6;P<0.001)和更低的左心室射血分数(每 IQR:HR,0.8;95%CI,0.7-0.8;P<0.001)与更高的死亡率风险相关。共有 73 例心肌病相关死亡、40 例猝死和 10 例中风相关死亡。最常见的具有疾病相关变异的基因(TTN、MYH7、LMNA、MYH6 和 KCNQ1)患者的死亡率分别为 26%(38 例患者中的 10 例)、33%(18 例患者中的 6 例)、22%(9 例患者中的 2 例)、0%(10 例患者中的 0 例)和 0%(8 例患者中的 0 例)。

结论和相关性

研究结果表明,心肌病和心律失常基因中的罕见变异可能与早发性 AF 患者的死亡率增加相关,尤其是那些更早诊断的患者。基因检测可能为早发性 AF 患者提供重要的预后信息。

https://cdn.ncbi.nlm.nih.gov/pmc/blobs/28eb/9096694/2080f0df2223/jamacardiol-e220810-g004.jpg
https://cdn.ncbi.nlm.nih.gov/pmc/blobs/28eb/9096694/30ab6c1a2f4d/jamacardiol-e220810-g001.jpg
https://cdn.ncbi.nlm.nih.gov/pmc/blobs/28eb/9096694/87a9029d331a/jamacardiol-e220810-g002.jpg
https://cdn.ncbi.nlm.nih.gov/pmc/blobs/28eb/9096694/87a2907bb166/jamacardiol-e220810-g003.jpg
https://cdn.ncbi.nlm.nih.gov/pmc/blobs/28eb/9096694/2080f0df2223/jamacardiol-e220810-g004.jpg
https://cdn.ncbi.nlm.nih.gov/pmc/blobs/28eb/9096694/30ab6c1a2f4d/jamacardiol-e220810-g001.jpg
https://cdn.ncbi.nlm.nih.gov/pmc/blobs/28eb/9096694/87a9029d331a/jamacardiol-e220810-g002.jpg
https://cdn.ncbi.nlm.nih.gov/pmc/blobs/28eb/9096694/87a2907bb166/jamacardiol-e220810-g003.jpg
https://cdn.ncbi.nlm.nih.gov/pmc/blobs/28eb/9096694/2080f0df2223/jamacardiol-e220810-g004.jpg

相似文献

1
Mortality Among Patients With Early-Onset Atrial Fibrillation and Rare Variants in Cardiomyopathy and Arrhythmia Genes.早发性心房颤动患者的死亡率与心肌病和心律失常基因中的罕见变异有关。
JAMA Cardiol. 2022 Jul 1;7(7):733-741. doi: 10.1001/jamacardio.2022.0810.
2
Early-Onset Atrial Fibrillation and the Prevalence of Rare Variants in Cardiomyopathy and Arrhythmia Genes.早发性心房颤动与心肌病和心律失常基因罕见变异的患病率。
JAMA Cardiol. 2021 Dec 1;6(12):1371-1379. doi: 10.1001/jamacardio.2021.3370.
3
Association Between Titin Loss-of-Function Variants and Early-Onset Atrial Fibrillation.肌联蛋白功能丧失变异与早发性心房颤动的关联。
JAMA. 2018 Dec 11;320(22):2354-2364. doi: 10.1001/jama.2018.18179.
4
Population-Level Prevalence of Rare Variants Associated With Atrial Fibrillation and its Impact on Patient Outcomes.人群中与心房颤动相关的罕见变异的患病率及其对患者预后的影响。
JACC Clin Electrophysiol. 2023 Jul;9(7 Pt 2):1137-1146. doi: 10.1016/j.jacep.2022.11.022. Epub 2023 Jan 18.
5
Intrinsic Atrial Myopathy Precedes Left Ventricular Dysfunction and Predicts Atrial Fibrillation in Cardiomyopathy.特发性心房肌病先于左心室功能障碍,并预测心肌病中的心房颤动。
Circ Genom Precis Med. 2023 Feb;16(1):e003480. doi: 10.1161/CIRCGEN.121.003480. Epub 2022 Dec 22.
6
Association of Rare Genetic Variants and Early-Onset Atrial Fibrillation in Ethnic Minority Individuals.少数民族个体中罕见遗传变异与早发性心房颤动的关联。
JAMA Cardiol. 2021 Jul 1;6(7):811-819. doi: 10.1001/jamacardio.2021.0994.
7
Rare and Common Genetic Variation Underlying Atrial Fibrillation Risk.罕见和常见的遗传变异与心房颤动风险相关。
JAMA Cardiol. 2024 Aug 1;9(8):732-740. doi: 10.1001/jamacardio.2024.1528.
8
Predictors of Atrial Fibrillation in Patients With Stroke Attributed to Large- or Small-Vessel Disease: A Prespecified Secondary Analysis of the STROKE AF Randomized Clinical Trial.大血管病变或小血管病变引起的卒中患者中房颤的预测因素:STROKE AF 随机临床试验的预先指定的二次分析。
JAMA Neurol. 2023 Jan 1;80(1):99-103. doi: 10.1001/jamaneurol.2022.4038.
9
Ablation for Atrial Fibrillation in Patients With Rare Pathogenic Variants in Cardiomyopathy and Arrhythmia Genes.心肌病和心律失常基因罕见致病性变异患者的心房颤动消融治疗。
JACC Clin Electrophysiol. 2024 Nov;10(11):2359-2370. doi: 10.1016/j.jacep.2024.06.035. Epub 2024 Sep 4.
10
Association of Pathogenic DNA Variants Predisposing to Cardiomyopathy With Cardiovascular Disease Outcomes and All-Cause Mortality.致心肌病的致病性 DNA 变异与心血管疾病结局和全因死亡率的相关性研究。
JAMA Cardiol. 2022 Jul 1;7(7):723-732. doi: 10.1001/jamacardio.2022.0901.

引用本文的文献

1
Atrial remodelling and dysfunction in hypertrophic cardiomyopathy: prognostic role and therapeutic target.肥厚型心肌病中的心房重构与功能障碍:预后作用及治疗靶点
Front Cardiovasc Med. 2025 Jul 8;12:1620313. doi: 10.3389/fcvm.2025.1620313. eCollection 2025.
2
Genomic medicine for heart failure prediction in patients with atrial fibrillation.用于预测心房颤动患者心力衰竭的基因组医学。
Europace. 2025 Jul 1;27(7). doi: 10.1093/europace/euaf113.
3
Atrial Cardiomyopathy in Atrial Fibrillation: Mechanistic Pathways and Emerging Treatment Concepts.

本文引用的文献

1
Early-Onset Atrial Fibrillation and the Prevalence of Rare Variants in Cardiomyopathy and Arrhythmia Genes.早发性心房颤动与心肌病和心律失常基因罕见变异的患病率。
JAMA Cardiol. 2021 Dec 1;6(12):1371-1379. doi: 10.1001/jamacardio.2021.3370.
2
Association of Rare Genetic Variants and Early-Onset Atrial Fibrillation in Ethnic Minority Individuals.少数民族个体中罕见遗传变异与早发性心房颤动的关联。
JAMA Cardiol. 2021 Jul 1;6(7):811-819. doi: 10.1001/jamacardio.2021.0994.
3
Genetic Testing for Early Onset Atrial Arrhythmias Changes Clinical Management: 2 Cases of Cardiac Emerinopathy.
心房颤动中的心房心肌病:机制途径与新兴治疗理念
J Clin Med. 2025 May 7;14(9):3250. doi: 10.3390/jcm14093250.
4
Cardiomyopathy-Associated Gene Variants in Atrial Fibrillation.心房颤动中与心肌病相关的基因变异
JAMA Cardiol. 2025 Apr 30. doi: 10.1001/jamacardio.2025.0460.
5
The Role of Cardiac Magnetic Resonance in Characterizing Atrial Cardiomyopathy and Guiding Substrate Ablation in Atrial Fibrillation: A Narrative Review.心脏磁共振在心房心肌病特征描述及心房颤动基质消融指导中的作用:一篇叙述性综述
J Cardiovasc Dev Dis. 2025 Mar 25;12(4):114. doi: 10.3390/jcdd12040114.
6
Polygenic Risk and Cardiovascular Event Risk in Patients With Atrial Fibrillation With Low to Intermediate Stroke Risk.低至中度卒中风险的房颤患者的多基因风险与心血管事件风险
J Am Heart Assoc. 2025 Apr;14(7):e037727. doi: 10.1161/JAHA.124.037727. Epub 2025 Mar 21.
7
Promise and Peril of a Genotype-First Approach to Mendelian Cardiovascular Disease.基因型优先策略在孟德尔心血管疾病诊治中的机遇与挑战。
J Am Heart Assoc. 2024 Nov 5;13(21):e033557. doi: 10.1161/JAHA.123.033557. Epub 2024 Oct 18.
8
Transient titin-dependent ventricular defects during development lead to adult atrial arrhythmia and impaired contractility.发育过程中短暂的肌联蛋白依赖性心室缺陷会导致成人房性心律失常和收缩功能受损。
iScience. 2024 Jun 27;27(7):110395. doi: 10.1016/j.isci.2024.110395. eCollection 2024 Jul 19.
9
Atrial cardiomyopathy revisited-evolution of a concept: a clinical consensus statement of the European Heart Rhythm Association (EHRA) of the ESC, the Heart Rhythm Society (HRS), the Asian Pacific Heart Rhythm Society (APHRS), and the Latin American Heart Rhythm Society (LAHRS).心房心肌病再探——概念的演变:欧洲心脏病学会心律协会 (EHRA)、心律学会 (HRS)、亚太心律学会 (APHRS) 和拉丁美洲心律学会 (LAHRS) 的临床共识声明。
Europace. 2024 Aug 30;26(9). doi: 10.1093/europace/euae204.
10
Innovative approaches to atrial fibrillation prediction: should polygenic scores and machine learning be implemented in clinical practice?创新的心房颤动预测方法:多基因评分和机器学习是否应在临床实践中应用?
Europace. 2024 Aug 3;26(8). doi: 10.1093/europace/euae201.
早发性房性心律失常的基因检测改变临床管理:2例心脏emerin病
JACC Clin Electrophysiol. 2021 Mar;7(3):410-412. doi: 10.1016/j.jacep.2020.11.006. Epub 2021 Jan 27.
4
Epidemiology and clinical characteristics of atrial fibrillation in patients with inherited heart diseases.遗传性心脏病患者心房颤动的流行病学及临床特征
J Cardiovasc Electrophysiol. 2020 Feb;31(2):465-473. doi: 10.1111/jce.14346. Epub 2020 Jan 16.
5
Broad Genetic Testing in a Clinical Setting Uncovers a High Prevalence of Titin Loss-of-Function Variants in Very Early Onset Atrial Fibrillation.临床环境中的广泛基因检测揭示了极早发性心房颤动中肌联蛋白功能丧失变异的高患病率。
Circ Genom Precis Med. 2019 Nov;12(11):e002713. doi: 10.1161/CIRCGEN.119.002713. Epub 2019 Oct 22.
6
Association Between Titin Loss-of-Function Variants and Early-Onset Atrial Fibrillation.肌联蛋白功能丧失变异与早发性心房颤动的关联。
JAMA. 2018 Dec 11;320(22):2354-2364. doi: 10.1001/jama.2018.18179.
7
Incident Atrial Fibrillation Is Associated With MYH7 Sarcomeric Gene Variation in Hypertrophic Cardiomyopathy.肥厚型心肌病中心律失常与 MYH7 肌球蛋白重链基因突变相关。
Circ Heart Fail. 2018 Sep;11(9):e005191. doi: 10.1161/CIRCHEARTFAILURE.118.005191.
8
Genetics and genotype-phenotype correlations in Finnish patients with dilated cardiomyopathy.芬兰扩张型心肌病患者的遗传学及基因型-表型相关性
Eur Heart J. 2015 Sep 7;36(34):2327-37. doi: 10.1093/eurheartj/ehv253. Epub 2015 Jun 17.
9
Standards and guidelines for the interpretation of sequence variants: a joint consensus recommendation of the American College of Medical Genetics and Genomics and the Association for Molecular Pathology.序列变异解读的标准与指南:美国医学遗传学与基因组学学会和分子病理学协会的联合共识推荐
Genet Med. 2015 May;17(5):405-24. doi: 10.1038/gim.2015.30. Epub 2015 Mar 5.
10
Atlas of the clinical genetics of human dilated cardiomyopathy.人类扩张型心肌病的临床遗传学图谱。
Eur Heart J. 2015 May 7;36(18):1123-35a. doi: 10.1093/eurheartj/ehu301. Epub 2014 Aug 27.