Suppr超能文献

几何限制有多关键?用静电除尘器对空间和时间分辨的颗粒物去除进行分析。

How critical is geometrical confinement? Analysis of spatially and temporally resolved particulate matter removal with an electrostatic precipitator.

作者信息

Wang Ching-Yu, Hsu Cheng-Che

机构信息

Department of Chemical Engineering, National Taiwan University No. 1, Sec. 4, Roosevelt Road Taipei Taiwan

出版信息

RSC Adv. 2018 Sep 3;8(54):30925-30931. doi: 10.1039/c8ra04734k. eCollection 2018 Aug 30.

Abstract

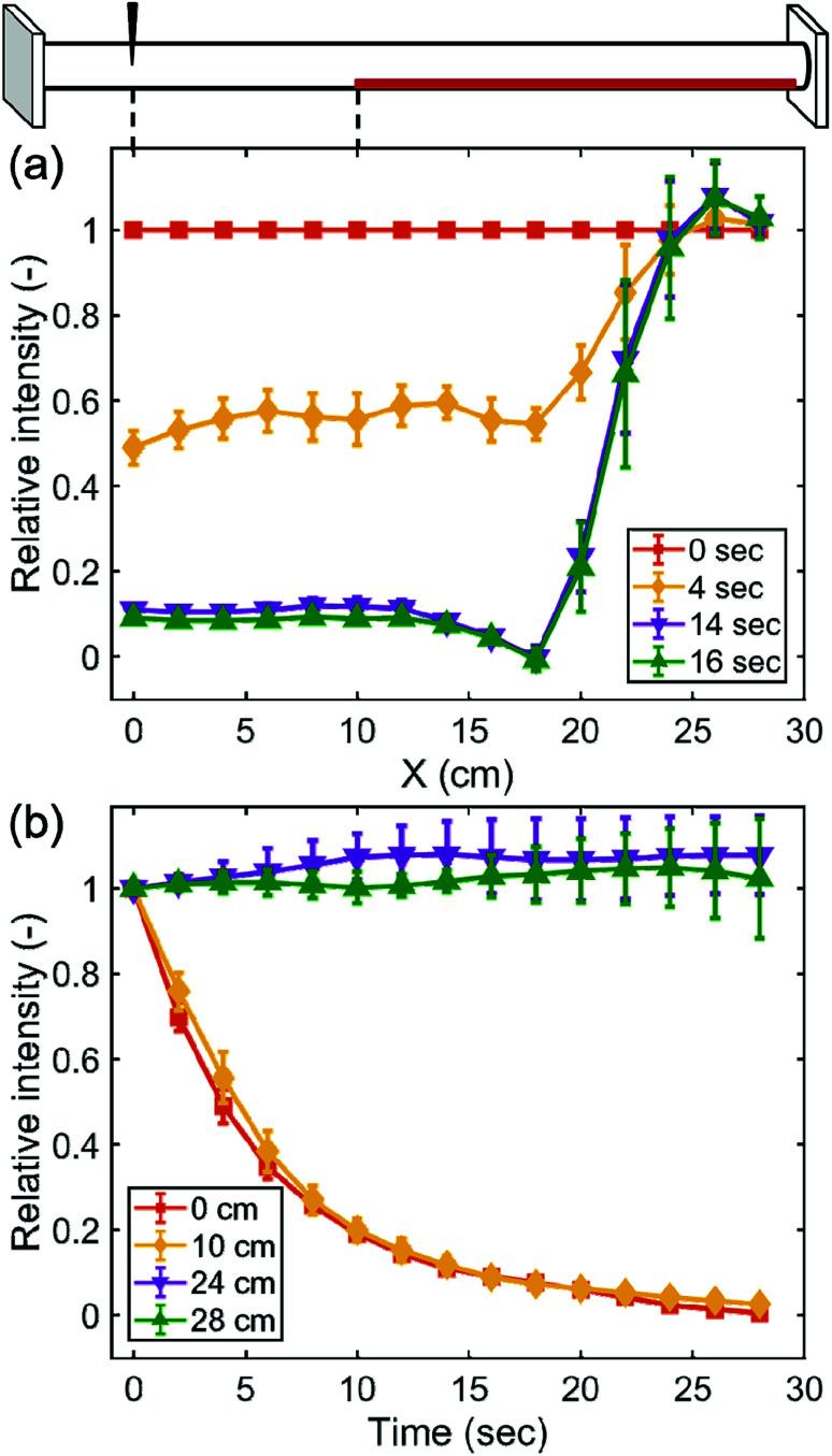
This study investigates the spatial and temporal dispersion of particulate matter (PM) when using a needle-type electrostatic precipitator (ESP). The ESP is installed in tubes of 3 and 10 cm diameter. A simple light scattering setup integrated with image processing is built to evaluate and quantify the spatial and temporal dispersion of PM. The ESP is operated under stationary and continuous flowing modes to test its PM removal capability. Under the stationary mode, PM is removed efficiently in 10 and 45 seconds when using a 3 and 10 cm tube, respectively. In a more geometrically confined system, a large spatial particulate concentration gradient is seen from 18 to 24 cm, indicating that the cleaning capability can be controlled within a localized space. By modulating the applied voltage from direct current (DC) to a low-frequency pulse with 50% duty, the ozone concentration can be reduced by nearly 50% while maintaining the cleaning efficiency. The analysis with spatially and temporally resolved particulate dispersion provides a novel strategy for testing the performance of an ESP. Furthermore, physical confinement enhances both the spatial and temporal removal efficiency, which is crucial for indoor and personal air cleaning devices. These results will contribute to air purification and environmental monitoring.

摘要

本研究调查了使用针式静电除尘器(ESP)时颗粒物(PM)的空间和时间扩散情况。该静电除尘器安装在直径为3厘米和10厘米的管道中。构建了一个集成图像处理的简单光散射装置,以评估和量化PM的空间和时间扩散。静电除尘器在固定和连续流动模式下运行,以测试其去除PM的能力。在固定模式下,使用3厘米和10厘米的管道时,分别在10秒和45秒内可有效去除PM。在几何限制更强的系统中,在18至24厘米处可看到较大的空间颗粒物浓度梯度,这表明清洁能力可在局部空间内得到控制。通过将施加电压从直流(DC)调制为占空比为50%的低频脉冲,在保持清洁效率的同时,臭氧浓度可降低近50%。对具有空间和时间分辨的颗粒物扩散进行分析,为测试静电除尘器的性能提供了一种新策略。此外,物理限制提高了空间和时间去除效率,这对室内和个人空气清洁设备至关重要。这些结果将有助于空气净化和环境监测。

https://cdn.ncbi.nlm.nih.gov/pmc/blobs/a248/9085531/819d97940f10/c8ra04734k-f1.jpg

文献AI研究员

20分钟写一篇综述,助力文献阅读效率提升50倍。

立即体验

用中文搜PubMed

大模型驱动的PubMed中文搜索引擎

马上搜索

文档翻译

学术文献翻译模型,支持多种主流文档格式。

立即体验