Suppr超能文献

基于机器学习利用全身代谢状态评估人类脑萎缩

Estimation of Human Cerebral Atrophy Based on Systemic Metabolic Status Using Machine Learning.

作者信息

Sakatani Kaoru, Oyama Katsunori, Hu Lizhen, Warisawa Shin'ichi

机构信息

Department of Human and Engineered Environmental Studies, Graduate School of Frontier Sciences, The University of Tokyo, Kashiwa, Japan.

Department of Computer Science, College of Engineering, Nihon University, Koriyama, Japan.

出版信息

Front Neurol. 2022 May 2;13:869915. doi: 10.3389/fneur.2022.869915. eCollection 2022.

Abstract

BACKGROUND

Based on the assumption that systemic metabolic disorders affect cognitive function, we have developed a deep neural network (DNN) model that can estimate cognitive function based on basic blood test data that do not contain dementia-specific biomarkers. In this study, we used the same DNN model to assess whether basic blood data can be used to estimate cerebral atrophy.

METHODS

We used data from 1,310 subjects (58.32 ± 12.91years old) enrolled in the Brain Doc Bank. The average Mini Mental State Examination score was 28.6 ± 1.9. The degree of cerebral atrophy was determined using the MRI-based index (GM-BHQ). First, we evaluated the correlations between the subjects' age, blood data, and GM-BHQ. Next, we developed DNN models to assess the GM-BHQ: one used subjects' age and blood data, while the other used only blood data for input items.

RESULTS

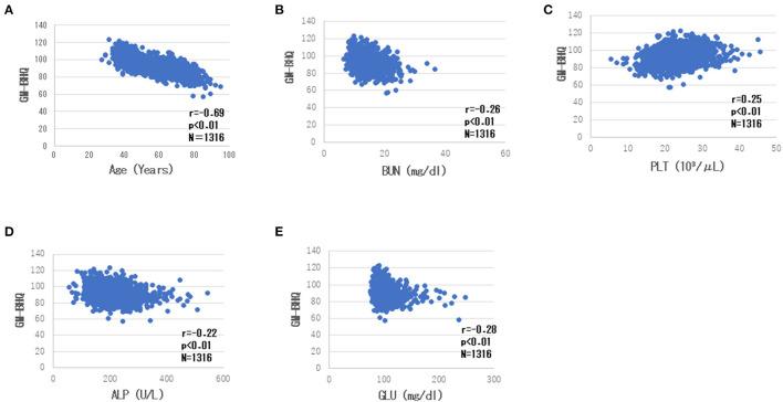
There was a negative correlation between age and GM-BHQ scores (r = -0.71). The subjects' age was positively correlated with blood urea nitrogen (BUN) (r = 0.40), alkaline phosphatase (ALP) (r = 0.22), glucose (GLU) (r = 0.22), and negative correlations with red blood cell counts (RBC) (r = -0.29) and platelet counts (PLT) (r = -0.26). GM-BHQ correlated with BUN (r = -0.30), GLU (r = -0.26), PLT (r = 0.26), and ALP (r = 0.22). The GM-BHQ estimated by the DNN model with subject age exhibited a positive correlation with the ground truth GM-BHQ (r = 0.70). Furthermore, even if the DNN model without subject age was used, the estimated GM-BHQ showed a significant positive correlation with ground truth GM-BHQ (r = 0.58). Age was the most important variable for estimating GM-BHQ.

DISCUSSION

Aging had the greatest effect on cerebral atrophy. Aging also affects various organs, such as the kidney, and causes changes in systemic metabolic status, which may contribute to cerebral atrophy and cognitive impairment. The DNN model may serve as a new screening test for dementia using basic blood tests for health examinations. Finally, the blood data reflect systemic metabolic disorders in each subject-this method may thus contribute to personalized care.

摘要

背景

基于全身代谢紊乱会影响认知功能这一假设,我们开发了一种深度神经网络(DNN)模型,该模型可以根据不包含痴呆特异性生物标志物的基本血液检测数据来估计认知功能。在本研究中,我们使用相同的DNN模型来评估基本血液数据是否可用于估计脑萎缩。

方法

我们使用了纳入脑文档库的1310名受试者(年龄58.32±12.91岁)的数据。简易精神状态检查表平均得分为28.6±1.9。使用基于磁共振成像的指标(GM-BHQ)来确定脑萎缩程度。首先,我们评估了受试者年龄、血液数据和GM-BHQ之间的相关性。接下来,我们开发了用于评估GM-BHQ的DNN模型:一个模型使用受试者年龄和血液数据作为输入项,另一个模型仅使用血液数据作为输入项。

结果

年龄与GM-BHQ评分呈负相关(r = -0.71)。受试者年龄与血尿素氮(BUN)呈正相关(r = 0.40)、与碱性磷酸酶(ALP)呈正相关(r = 0.22)、与葡萄糖(GLU)呈正相关(r = 0.22),与红细胞计数(RBC)呈负相关(r = -0.29),与血小板计数(PLT)呈负相关(r = -0.26)。GM-BHQ与BUN(r = -0.30)、GLU(r = -0.26)、PLT(r = 0.26)和ALP(r = 0.22)相关。使用受试者年龄的DNN模型估计的GM-BHQ与真实GM-BHQ呈正相关(r = 0.70)。此外,即使使用不包含受试者年龄的DNN模型,估计的GM-BHQ与真实GM-BHQ也显示出显著正相关(r = 0.58)。年龄是估计GM-BHQ最重要的变量。

讨论

衰老对脑萎缩影响最大。衰老还会影响肾脏等各种器官,并导致全身代谢状态发生变化,这可能会导致脑萎缩和认知障碍。DNN模型可能作为一种使用基本血液检测进行健康检查的痴呆新筛查测试。最后,血液数据反映了每个受试者的全身代谢紊乱——因此这种方法可能有助于个性化护理。

https://cdn.ncbi.nlm.nih.gov/pmc/blobs/a07e/9109818/f30178d4b5e7/fneur-13-869915-g0001.jpg

文献AI研究员

20分钟写一篇综述,助力文献阅读效率提升50倍。

立即体验

用中文搜PubMed

大模型驱动的PubMed中文搜索引擎

马上搜索

文档翻译

学术文献翻译模型,支持多种主流文档格式。

立即体验