• 文献检索
  • 文档翻译
  • 深度研究
  • 学术资讯
  • Suppr Zotero 插件Zotero 插件
  • 邀请有礼
  • 套餐&价格
  • 历史记录
应用&插件
Suppr Zotero 插件Zotero 插件浏览器插件Mac 客户端Windows 客户端微信小程序
定价
高级版会员购买积分包购买API积分包
服务
文献检索文档翻译深度研究API 文档MCP 服务
关于我们
关于 Suppr公司介绍联系我们用户协议隐私条款
关注我们

Suppr 超能文献

核心技术专利:CN118964589B侵权必究
粤ICP备2023148730 号-1Suppr @ 2026

文献检索

告别复杂PubMed语法,用中文像聊天一样搜索,搜遍4000万医学文献。AI智能推荐,让科研检索更轻松。

立即免费搜索

文件翻译

保留排版,准确专业,支持PDF/Word/PPT等文件格式,支持 12+语言互译。

免费翻译文档

深度研究

AI帮你快速写综述,25分钟生成高质量综述,智能提取关键信息,辅助科研写作。

立即免费体验

使用基于残差排列的新方法(RESPERM)在噪声数据中进行变点检测:基准测试及在单次试验事件相关电位中的应用

Changepoint Detection in Noisy Data Using a Novel Residuals Permutation-Based Method (RESPERM): Benchmarking and Application to Single Trial ERPs.

作者信息

Sommer Werner, Stapor Katarzyna, Kończak Grzegorz, Kotowski Krzysztof, Fabian Piotr, Ochab Jeremi, Bereś Anna, Ślusarczyk Grażyna

机构信息

Department of Psychology, Humboldt-University of Berlin, 10099 Berlin, Germany.

Department of Psychology, Zhejiang Normal University, Jinhua 321000, China.

出版信息

Brain Sci. 2022 Apr 21;12(5):525. doi: 10.3390/brainsci12050525.

DOI:10.3390/brainsci12050525
PMID:35624912
原文链接:https://pmc.ncbi.nlm.nih.gov/articles/PMC9139177/
Abstract

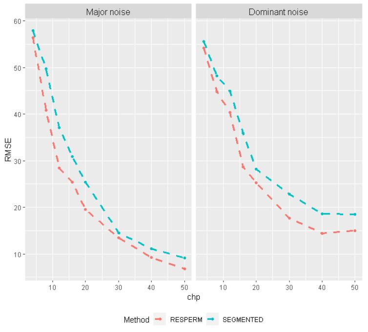
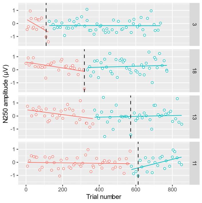
An important problem in many fields dealing with noisy time series, such as psychophysiological single trial data during learning or monitoring treatment effects over time, is detecting a change in the model underlying a time series. Here, we present a new method for detecting a single changepoint in a linear time series regression model, termed residuals permutation-based method (RESPERM). The optimal changepoint in RESPERM maximizes Cohen's effect size with the parameters estimated by the permutation of residuals in a linear model. RESPERM was compared with the SEGMENTED method, a well-established and recommended method for detecting changepoints, using extensive simulated data sets, varying the amount and distribution characteristics of noise and the location of the change point. In time series with medium to large amounts of noise, the variance of the detected changepoint was consistently smaller for RESPERM than SEGMENTED. Finally, both methods were applied to a sample dataset of single trial amplitudes of the N250 ERP component during face learning. In conclusion, RESPERM appears to be well suited for changepoint detection especially in noisy data, making it the method of choice in neuroscience, medicine and many other fields.

摘要

在许多处理噪声时间序列的领域中,一个重要问题是检测时间序列背后模型的变化,比如学习过程中的心理生理单次试验数据或长期监测治疗效果。本文提出了一种用于检测线性时间序列回归模型中单个变化点的新方法,称为基于残差排列的方法(RESPERM)。RESPERM中的最优变化点通过线性模型中残差排列估计的参数使科恩效应量最大化。使用大量模拟数据集,改变噪声的数量和分布特征以及变化点的位置,将RESPERM与一种成熟且推荐的变化点检测方法SEGMENTED进行比较。在中等到大量噪声的时间序列中,RESPERM检测到的变化点方差始终比SEGMENTED小。最后,将这两种方法应用于面部学习过程中N250事件相关电位成分单次试验振幅的样本数据集。总之,RESPERM似乎非常适合变化点检测,尤其是在噪声数据中,使其成为神经科学、医学和许多其他领域的首选方法。

https://cdn.ncbi.nlm.nih.gov/pmc/blobs/b900/9139177/60e564f0bb90/brainsci-12-00525-g005.jpg
https://cdn.ncbi.nlm.nih.gov/pmc/blobs/b900/9139177/9ed67e2ff333/brainsci-12-00525-g001.jpg
https://cdn.ncbi.nlm.nih.gov/pmc/blobs/b900/9139177/4ec147103fb7/brainsci-12-00525-g002.jpg
https://cdn.ncbi.nlm.nih.gov/pmc/blobs/b900/9139177/6383d3613a81/brainsci-12-00525-g003.jpg
https://cdn.ncbi.nlm.nih.gov/pmc/blobs/b900/9139177/409d20c444c0/brainsci-12-00525-g004.jpg
https://cdn.ncbi.nlm.nih.gov/pmc/blobs/b900/9139177/60e564f0bb90/brainsci-12-00525-g005.jpg
https://cdn.ncbi.nlm.nih.gov/pmc/blobs/b900/9139177/9ed67e2ff333/brainsci-12-00525-g001.jpg
https://cdn.ncbi.nlm.nih.gov/pmc/blobs/b900/9139177/4ec147103fb7/brainsci-12-00525-g002.jpg
https://cdn.ncbi.nlm.nih.gov/pmc/blobs/b900/9139177/6383d3613a81/brainsci-12-00525-g003.jpg
https://cdn.ncbi.nlm.nih.gov/pmc/blobs/b900/9139177/409d20c444c0/brainsci-12-00525-g004.jpg
https://cdn.ncbi.nlm.nih.gov/pmc/blobs/b900/9139177/60e564f0bb90/brainsci-12-00525-g005.jpg

相似文献

1
Changepoint Detection in Noisy Data Using a Novel Residuals Permutation-Based Method (RESPERM): Benchmarking and Application to Single Trial ERPs.使用基于残差排列的新方法(RESPERM)在噪声数据中进行变点检测:基准测试及在单次试验事件相关电位中的应用
Brain Sci. 2022 Apr 21;12(5):525. doi: 10.3390/brainsci12050525.
2
Asynchronous Changepoint Estimation for Spatially Correlated Functional Time Series.空间相关函数时间序列的异步变点估计
J Agric Biol Environ Stat. 2023;28(1):157-176. doi: 10.1007/s13253-022-00519-w. Epub 2022 Oct 18.
3
Likelihood ratios for changepoints in categorical event data with applications in digital forensics.分类事件数据中变化点的似然比及其在数字取证中的应用。
J Forensic Sci. 2024 Jul;69(4):1289-1303. doi: 10.1111/1556-4029.15512. Epub 2024 Apr 1.
4
The role of parameters in Bayesian Online Changepoint Detection: detecting early warning of mount Merapi eruptions.参数在贝叶斯在线变点检测中的作用:检测默拉皮火山喷发的早期预警
Heliyon. 2021 Jul 15;7(7):e07482. doi: 10.1016/j.heliyon.2021.e07482. eCollection 2021 Jul.
5
Homogeneity tests of covariance matrices with high-dimensional longitudinal data.高维纵向数据协方差矩阵的齐性检验。
Biometrika. 2019 Sep;106(3):619-634. doi: 10.1093/biomet/asz011. Epub 2019 May 24.
6
A pairwise likelihood-based approach for changepoint detection in multivariate time series models.一种基于成对似然的多元时间序列模型变点检测方法。
Biometrika. 2016 Jun;103(2):409-421. doi: 10.1093/biomet/asw002. Epub 2016 Mar 14.
7
A greedy graph search algorithm based on changepoint analysis for automatic QRS complex detection.一种基于变点分析的用于自动QRS波群检测的贪婪图搜索算法。
Comput Biol Med. 2021 Mar;130:104208. doi: 10.1016/j.compbiomed.2021.104208. Epub 2021 Jan 6.
8
Testing for a Change in Mean After Changepoint Detection.在变点检测后对均值变化进行检验。
J R Stat Soc Series B Stat Methodol. 2022 Sep;84(4):1082-1104. doi: 10.1111/rssb.12501. Epub 2022 Apr 12.
9
A computationally efficient nonparametric approach for changepoint detection.一种用于变化点检测的计算效率高的非参数方法。
Stat Comput. 2017;27(5):1293-1305. doi: 10.1007/s11222-016-9687-5. Epub 2016 Jul 28.
10
An empirical comparison of segmented and stochastic linear mixed effects models to estimate rapid disease progression in longitudinal biomarker studies.在纵向生物标志物研究中,用于估计疾病快速进展的分段线性混合效应模型和随机线性混合效应模型的实证比较。
Stat Biopharm Res. 2021;13(3):270-279. doi: 10.1080/19466315.2020.1870546. Epub 2021 Feb 4.

本文引用的文献

1
The N250 event-related potential as an index of face familiarity: a replication study.以N250事件相关电位作为面孔熟悉度指标的重复研究。
R Soc Open Sci. 2021 Jun 2;8(6):202356. doi: 10.1098/rsos.202356.
2
Developmental Trajectories in Spatial Visualization and Mental Rotation in Individuals with Down Syndrome.唐氏综合征患者空间视觉化和心理旋转的发展轨迹
Brain Sci. 2021 May 10;11(5):610. doi: 10.3390/brainsci11050610.
3
Analysis of the early COVID-19 epidemic curve in Germany by regression models with change points.基于带有转折点的回归模型分析德国 COVID-19 疫情早期的流行曲线。
Epidemiol Infect. 2021 Mar 11;149:e68. doi: 10.1017/S0950268821000558.
4
A Survey of Methods for Time Series Change Point Detection.时间序列变化点检测方法综述
Knowl Inf Syst. 2017 May;51(2):339-367. doi: 10.1007/s10115-016-0987-z. Epub 2016 Sep 8.
5
A Review of Issues Related to Data Acquisition and Analysis in EEG/MEG Studies.脑电图/脑磁图研究中与数据采集和分析相关的问题综述
Brain Sci. 2017 May 31;7(6):58. doi: 10.3390/brainsci7060058.
6
Exploiting the intra-subject latency variability from single-trial event-related potentials in the P3 time range: A review and comparative evaluation of methods.利用 P3 时间范围内单个事件相关电位的受试者内潜伏期变异性:方法的综述和比较评估。
Neurosci Biobehav Rev. 2017 Apr;75:1-21. doi: 10.1016/j.neubiorev.2017.01.023. Epub 2017 Jan 27.
7
Decoding Dynamic Brain Patterns from Evoked Responses: A Tutorial on Multivariate Pattern Analysis Applied to Time Series Neuroimaging Data.从诱发反应中解码动态脑模式:应用于时间序列神经成像数据的多变量模式分析教程
J Cogn Neurosci. 2017 Apr;29(4):677-697. doi: 10.1162/jocn_a_01068. Epub 2016 Oct 25.
8
Reconstructing ERP amplitude effects after compensating for trial-to-trial latency jitter: A solution based on a novel application of residue iteration decomposition.在补偿逐次试验潜伏期抖动后重构事件相关电位(ERP)幅度效应:一种基于残差迭代分解新应用的解决方案。
Int J Psychophysiol. 2016 Nov;109:9-20. doi: 10.1016/j.ijpsycho.2016.09.015. Epub 2016 Sep 28.
9
Subject combination and electrode selection in cooperative brain-computer interface based on event related potentials.基于事件相关电位的协作脑-机接口中的刺激组合和电极选择。
Brain Sci. 2014 Apr 30;4(2):335-55. doi: 10.3390/brainsci4020335.
10
Activation of preexisting and acquired face representations: the N250 event-related potential as an index of face familiarity.激活先前存在的和后天习得的面部表征:N250事件相关电位作为面部熟悉度的指标。
J Cogn Neurosci. 2006 Sep;18(9):1488-97. doi: 10.1162/jocn.2006.18.9.1488.