• 文献检索
  • 文档翻译
  • 深度研究
  • 学术资讯
  • Suppr Zotero 插件Zotero 插件
  • 邀请有礼
  • 套餐&价格
  • 历史记录
应用&插件
Suppr Zotero 插件Zotero 插件浏览器插件Mac 客户端Windows 客户端微信小程序
定价
高级版会员购买积分包购买API积分包
服务
文献检索文档翻译深度研究API 文档MCP 服务
关于我们
关于 Suppr公司介绍联系我们用户协议隐私条款
关注我们

Suppr 超能文献

核心技术专利:CN118964589B侵权必究
粤ICP备2023148730 号-1Suppr @ 2026

文献检索

告别复杂PubMed语法,用中文像聊天一样搜索,搜遍4000万医学文献。AI智能推荐,让科研检索更轻松。

立即免费搜索

文件翻译

保留排版,准确专业,支持PDF/Word/PPT等文件格式,支持 12+语言互译。

免费翻译文档

深度研究

AI帮你快速写综述,25分钟生成高质量综述,智能提取关键信息,辅助科研写作。

立即免费体验

新型喹啉-尿素-苯并噻唑杂化物作为有前景的抗结核药物:合成、体外抗结核活性、细胞毒性研究及计算机辅助ADME分析

New Quinoline-Urea-Benzothiazole Hybrids as Promising Antitubercular Agents: Synthesis, In Vitro Antitubercular Activity, Cytotoxicity Studies, and In Silico ADME Profiling.

作者信息

Moodley Rashmika, Mashaba Chakes, Rakodi Goitsemodimo H, Ncube Nomagugu B, Maphoru Mabuatsela V, Balogun Mohammed O, Jordan Audrey, Warner Digby F, Khan Rene, Tukulula Matshawandile

机构信息

School of Chemistry and Physics, University of KwaZulu Natal, Westville Campus, Durban 4000, South Africa.

Department of Chemistry, Tshwane University Technology, Pretoria 0001, South Africa.

出版信息

Pharmaceuticals (Basel). 2022 May 5;15(5):576. doi: 10.3390/ph15050576.

DOI:10.3390/ph15050576
PMID:35631402
原文链接:https://pmc.ncbi.nlm.nih.gov/articles/PMC9146500/
Abstract

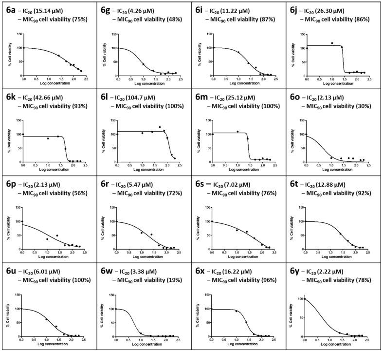
A series of 25 new benzothiazole−urea−quinoline hybrid compounds were synthesized successfully via a three-step synthetic sequence involving an amidation coupling reaction as a critical step. The structures of the synthesized compounds were confirmed by routine spectroscopic tools (1H and 13C NMR and IR) and by mass spectrometry (HRMS). In vitro evaluation of these hybrid compounds for their antitubercular inhibitory activity against the Mycobacterium tuberculosis H37Rv pMSp12::GPF bioreporter strain was undertaken. Of the 25 tested compounds, 17 exhibited promising anti-TB activities of less than 62.5 µM (MIC90). Specifically, 13 compounds (6b, 6g, 6i−j, 6l, 6o−p, 6r−t, and 6x−y) showed promising activity with MIC90 values in the range of 1−10 µM, while compound 6u, being the most active, exhibited sub-micromolar activity (0.968 µM) in the CAS assay. In addition, minimal cytotoxicity against the HepG2 cell line (cell viability above 75%) in 11 of the 17 compounds, at their respective MIC90 concentrations, was observed, with 6u exhibiting 100% cell viability. The hybridization of the quinoline, urea, and benzothiazole scaffolds demonstrated a synergistic relationship because the activities of resultant hybrids were vastly improved compared to the individual entities. In silico ADME predictions showed that the majority of these compounds have drug-like properties and are less likely to potentially cause cardiotoxicity (QPlogHERG > −5). The results obtained in this study indicate that the majority of the synthesized compounds could serve as valuable starting points for future optimizations as new antimycobacterial agents.

摘要

通过包含酰胺化偶联反应这一关键步骤的三步合成序列,成功合成了一系列25种新型苯并噻唑-脲-喹啉杂化化合物。通过常规光谱工具(1H和13C NMR以及IR)和质谱(HRMS)对合成化合物的结构进行了确认。对这些杂化化合物针对结核分枝杆菌H37Rv pMSp12::GPF生物报告菌株的抗结核抑制活性进行了体外评估。在25种测试化合物中,17种表现出有前景的抗结核活性,MIC90小于62.5 μM。具体而言,13种化合物(6b、6g、6i - j、6l、6o - p、6r - t和6x - y)表现出有前景的活性,MIC90值在1 - 10 μM范围内,而化合物6u活性最高,在CAS测定中表现出亚微摩尔活性(0.968 μM)。此外,在17种化合物中的11种各自的MIC90浓度下,观察到对HepG2细胞系的细胞毒性极小(细胞活力高于75%),6u表现出100%的细胞活力。喹啉、脲和苯并噻唑支架的杂化显示出协同关系,因为所得杂化物的活性与单个实体相比有了极大提高。计算机辅助ADME预测表明,这些化合物中的大多数具有类药物性质,不太可能潜在地引起心脏毒性(QPlogHERG > -5)。本研究获得的结果表明,大多数合成化合物可作为未来作为新型抗分枝杆菌药物进行优化的有价值起点。

https://cdn.ncbi.nlm.nih.gov/pmc/blobs/b775/9146500/3e5aea3ab63e/pharmaceuticals-15-00576-g003.jpg
https://cdn.ncbi.nlm.nih.gov/pmc/blobs/b775/9146500/34d0ca234a29/pharmaceuticals-15-00576-g001.jpg
https://cdn.ncbi.nlm.nih.gov/pmc/blobs/b775/9146500/89932b9bfec5/pharmaceuticals-15-00576-g002.jpg
https://cdn.ncbi.nlm.nih.gov/pmc/blobs/b775/9146500/c09782e1fff7/pharmaceuticals-15-00576-sch001.jpg
https://cdn.ncbi.nlm.nih.gov/pmc/blobs/b775/9146500/3e5aea3ab63e/pharmaceuticals-15-00576-g003.jpg
https://cdn.ncbi.nlm.nih.gov/pmc/blobs/b775/9146500/34d0ca234a29/pharmaceuticals-15-00576-g001.jpg
https://cdn.ncbi.nlm.nih.gov/pmc/blobs/b775/9146500/89932b9bfec5/pharmaceuticals-15-00576-g002.jpg
https://cdn.ncbi.nlm.nih.gov/pmc/blobs/b775/9146500/c09782e1fff7/pharmaceuticals-15-00576-sch001.jpg
https://cdn.ncbi.nlm.nih.gov/pmc/blobs/b775/9146500/3e5aea3ab63e/pharmaceuticals-15-00576-g003.jpg

相似文献

1
New Quinoline-Urea-Benzothiazole Hybrids as Promising Antitubercular Agents: Synthesis, In Vitro Antitubercular Activity, Cytotoxicity Studies, and In Silico ADME Profiling.新型喹啉-尿素-苯并噻唑杂化物作为有前景的抗结核药物:合成、体外抗结核活性、细胞毒性研究及计算机辅助ADME分析
Pharmaceuticals (Basel). 2022 May 5;15(5):576. doi: 10.3390/ph15050576.
2
Synthesis, characterization, in vitro antimycobacterial and cytotoxicity evaluation, DFT calculations, molecular docking and ADME studies of new isomeric benzimidazole-1,2,3-triazole-quinoline hybrid mixtures.新型苯并咪唑-1,2,3-三唑-喹啉杂合混合物的合成、表征、体外抗分枝杆菌活性和细胞毒性评价、DFT 计算、分子对接和 ADME 研究。
Bioorg Chem. 2023 Dec;141:106904. doi: 10.1016/j.bioorg.2023.106904. Epub 2023 Oct 9.
3
Synthesis and Structural Elucidation of Novel Benzothiazole Derivatives as Anti-tubercular Agents: In-silico Screening for Possible Target Identification.新型苯并噻唑衍生物作为抗结核药物的合成与结构解析:用于可能靶点识别的计算机模拟筛选
Med Chem. 2019;15(3):311-326. doi: 10.2174/1573406414666180703121815.
4
Synthesis and Antibacterial Activity of Mefloquine-Based Analogs Against Sensitive and Resistant Mycobacterium tuberculosis Strains.基于甲氟喹的类似物的合成及其对敏感和耐药结核分枝杆菌菌株的抗菌活性。
Curr Top Med Chem. 2019;19(9):683-689. doi: 10.2174/1568026619666190304124952.
5
Synthesis, In silico Molecular Docking and Pharmacokinetic Studies, In vitro Antimycobacterial and Antimicrobial Studies of New Imidozolones Clubbed with Thiazolidinedione.噻唑烷二酮结合的新型咪唑啉酮的合成、计算机辅助分子对接及药代动力学研究、体外抗分枝杆菌和抗菌研究
Curr Comput Aided Drug Des. 2018;14(4):269-283. doi: 10.2174/1573409914666180516113552.
6
Bioevaluation of quinoline-4-carbonyl derivatives of piperazinyl-benzothiazinones as promising antimycobacterial agents.哌嗪基苯并噻嗪酮喹啉-4-甲酰衍生物的生物评价作为有前途的抗分枝杆菌药物。
Arch Pharm (Weinheim). 2022 Nov;355(11):e2200168. doi: 10.1002/ardp.202200168. Epub 2022 Jul 25.
7
Cytotoxicity and Antimycobacterial Properties of Pyrrolo[1,2-]quinoline Derivatives: Molecular Target Identification and Molecular Docking Studies.吡咯并[1,2 - ]喹啉衍生物的细胞毒性和抗分枝杆菌特性:分子靶点鉴定与分子对接研究
Antibiotics (Basel). 2020 May 7;9(5):233. doi: 10.3390/antibiotics9050233.
8
Design, synthesis, anti-mycobacterial activity, molecular docking and ADME analysis of spiroquinoxaline-1,2,4-oxadiazoles via [3 + 2] cycloaddition reaction under ultrasound irradiation.超声辐射下通过[3 + 2]环加成反应设计、合成、抗分枝杆菌活性、分子对接及药物代谢动力学分析螺喹喔啉-1,2,4-恶二唑
Mol Divers. 2024 Dec;28(6):3979-3991. doi: 10.1007/s11030-023-10790-9. Epub 2024 Jan 23.
9
Molecular hybridization approach for phenothiazine incorporated 1,2,3-triazole hybrids as promising antimicrobial agents: Design, synthesis, molecular docking and in silico ADME studies.基于分子杂交方法的吩噻嗪类 1,2,3-三唑杂合体作为有前途的抗菌剂:设计、合成、分子对接和基于计算机的 ADME 研究。
Eur J Med Chem. 2019 Apr 15;168:263-282. doi: 10.1016/j.ejmech.2019.02.010. Epub 2019 Feb 18.
10
antiplasmodium and antitrypanosomal activities, β-haematin formation inhibition, molecular docking and DFT computational studies of quinoline-urea-benzothiazole hybrids.喹啉-脲-苯并噻唑杂化物的抗疟和抗锥虫活性、β-血红素形成抑制、分子对接及密度泛函理论计算研究
Heliyon. 2024 Sep 28;10(19):e38434. doi: 10.1016/j.heliyon.2024.e38434. eCollection 2024 Oct 15.

引用本文的文献

1
Synthesis of novel quinoline-thiazolobenzimidazolone hybrids as anticancer agents through caspase-dependent apoptosis.通过半胱天冬酶依赖性凋亡合成新型喹啉-噻唑并苯并咪唑酮杂化物作为抗癌剂。
Future Med Chem. 2025 Mar;17(5):543-555. doi: 10.1080/17568919.2025.2470112. Epub 2025 Feb 26.
2
New Benzothiazole-Monoterpenoid Hybrids as Multifunctional Molecules with Potential Applications in Cosmetics.新型苯并噻唑-单萜类杂合物作为多功能分子在化妆品中的潜在应用
Molecules. 2025 Jan 31;30(3):636. doi: 10.3390/molecules30030636.
3
Quinoline analogs: multifaceted heterocyclic compounds with varied synthetic strategies and potent antitubercular properties.

本文引用的文献

1
Early mortality in tuberculosis patients initially lost to follow up following diagnosis in provincial hospitals and primary health care facilities in Western Cape, South Africa.南非西开普省省立医院和基层医疗保健机构中,结核病患者在确诊后随访丢失时的早期死亡率。
PLoS One. 2021 Jun 14;16(6):e0252084. doi: 10.1371/journal.pone.0252084. eCollection 2021.
2
Chemical Classes Presenting Novel Antituberculosis Agents Currently in Different Phases of Drug Development: A 2010-2020 Review.呈现处于不同药物研发阶段的新型抗结核药物的化学类别:2010 - 2020年综述
Pharmaceuticals (Basel). 2021 May 13;14(5):461. doi: 10.3390/ph14050461.
3
喹啉类似物:具有多种合成策略和强大抗结核特性的多面杂环化合物。
RSC Adv. 2025 Feb 5;15(5):3646-3663. doi: 10.1039/d4ra08362h. eCollection 2025 Jan 29.
4
antiplasmodium and antitrypanosomal activities, β-haematin formation inhibition, molecular docking and DFT computational studies of quinoline-urea-benzothiazole hybrids.喹啉-脲-苯并噻唑杂化物的抗疟和抗锥虫活性、β-血红素形成抑制、分子对接及密度泛函理论计算研究
Heliyon. 2024 Sep 28;10(19):e38434. doi: 10.1016/j.heliyon.2024.e38434. eCollection 2024 Oct 15.
5
Advances in Diagnostics and Drug Discovery against Resistant and Latent Tuberculosis Infection.针对耐药和潜伏性结核感染的诊断与药物研发进展
Pharmaceutics. 2023 Sep 30;15(10):2409. doi: 10.3390/pharmaceutics15102409.
6
Recent advances in the synthesis of new benzothiazole based anti-tubercular compounds.新型苯并噻唑类抗结核化合物合成的最新进展
RSC Adv. 2023 Jul 21;13(32):21890-21925. doi: 10.1039/d3ra03862a. eCollection 2023 Jul 19.
7
Review on the Developments of Benzothiazole-containing Antimicrobial Agents.含苯并噻唑抗菌剂的研究进展综述
Curr Top Med Chem. 2022;22(32):2630-2659. doi: 10.2174/1568026623666221207161752.
8
Experimental and In Silico Evaluation of New Heteroaryl Benzothiazole Derivatives as Antimicrobial Agents.新型杂芳基苯并噻唑衍生物作为抗菌剂的实验及计算机模拟评估
Antibiotics (Basel). 2022 Nov 18;11(11):1654. doi: 10.3390/antibiotics11111654.
9
Optimization of Maduramicin Ammonium-Loaded Nanostructured Lipid Carriers Using Box-Behnken Design for Enhanced Anticoccidial Effect against in Broiler Chickens.采用Box-Behnken设计优化载马杜霉素铵纳米结构脂质载体以增强对肉鸡的抗球虫效果
Pharmaceutics. 2022 Jun 23;14(7):1330. doi: 10.3390/pharmaceutics14071330.
10
Recent advances in chemistry and therapeutic potential of functionalized quinoline motifs - a review.功能化喹啉基序的化学进展与治疗潜力——综述
RSC Adv. 2022 Jun 24;12(29):18594-18614. doi: 10.1039/d2ra02896d. eCollection 2022 Jun 22.
Antimycobacterial, Cytotoxic, and Antioxidant Activities of Abietane Diterpenoids Isolated from .
从……中分离得到的枞烷二萜类化合物的抗分枝杆菌、细胞毒性和抗氧化活性
Plants (Basel). 2021 Jan 19;10(1):175. doi: 10.3390/plants10010175.
4
Modulatory influences of antiviral bioactive compounds on cell viability, mRNA and protein expression of cytochrome P450 3A4 and P-glycoprotein in HepG2 and HEK293 cells.抗病毒生物活性化合物对 HepG2 和 HEK293 细胞细胞色素 P450 3A4 和 P-糖蛋白的细胞活力、mRNA 和蛋白表达的调节作用。
Bioorg Chem. 2021 Feb;107:104573. doi: 10.1016/j.bioorg.2020.104573. Epub 2020 Dec 19.
5
Hydroxylation of Antitubercular Drug Candidate, SQ109, by Mycobacterial Cytochrome P450.结核候选药物 SQ109 的羟化作用:分枝杆菌细胞色素 P450 的作用
Int J Mol Sci. 2020 Oct 16;21(20):7683. doi: 10.3390/ijms21207683.
6
Antibiotics and resistance: the two-sided coin of the mycobacterial cell wall.抗生素与耐药性:分枝杆菌细胞壁的双面性
Cell Surf. 2020 Sep 2;6:100044. doi: 10.1016/j.tcsw.2020.100044. eCollection 2020 Dec.
7
The thick waxy coat of mycobacteria, a protective layer against antibiotics and the host's immune system.分枝杆菌厚厚的蜡质外壳,是一种抵御抗生素和宿主免疫系统的保护层。
Biochem J. 2020 May 29;477(10):1983-2006. doi: 10.1042/BCJ20200194.
8
New tuberculosis drug targets, their inhibitors, and potential therapeutic impact.新的结核病药物靶点、抑制剂及其潜在的治疗影响。
Transl Res. 2020 Jun;220:68-97. doi: 10.1016/j.trsl.2020.03.007. Epub 2020 Mar 16.
9
Treatment of Highly Drug-Resistant Pulmonary Tuberculosis.耐多药肺结核的治疗。
N Engl J Med. 2020 Mar 5;382(10):893-902. doi: 10.1056/NEJMoa1901814.
10
Is there enough focus on lipophilicity in drug discovery?在药物研发中,对亲脂性的关注是否足够?
Expert Opin Drug Discov. 2020 Mar;15(3):261-263. doi: 10.1080/17460441.2020.1691995. Epub 2019 Nov 17.