Suppr超能文献

个性化步态识别在神经疾病患者中的应用。

Personalised Gait Recognition for People with Neurological Conditions.

机构信息

LASIGE, Faculdade de Ciências, Universidade de Lisboa, 1749-016 Lisbon, Portugal.

Faculty of Electrical Engineering and Information Technologies, Ss. Cyril and Methodius University in Skopje, Skopje 1000, North Macedonia.

出版信息

Sensors (Basel). 2022 May 24;22(11):3980. doi: 10.3390/s22113980.

Abstract

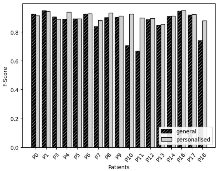
There is growing interest in monitoring gait patterns in people with neurological conditions. The democratisation of wearable inertial sensors has enabled the study of gait in free living environments. One pivotal aspect of gait assessment in uncontrolled environments is the ability to accurately recognise gait instances. Previous work has focused on wavelet transform methods or general machine learning models to detect gait; the former assume a comparable gait pattern between people and the latter assume training datasets that represent a diverse population. In this paper, we argue that these approaches are unsuitable for people with severe motor impairments and their distinct gait patterns, and make the case for a lightweight personalised alternative. We propose an approach that builds on top of a general model, fine-tuning it with personalised data. A comparative proof-of-concept evaluation with general machine learning (NN and CNN) approaches and personalised counterparts showed that the latter improved the overall accuracy in 3.5% for the NN and 5.3% for the CNN. More importantly, participants that were ill-represented by the general model (the most extreme cases) had the recognition of gait instances improved by up to 16.9% for NN and 20.5% for CNN with the personalised approaches. It is common to say that people with neurological conditions, such as Parkinson's disease, present very individual motor patterns, and that in a sense they are all outliers; we expect that our results will motivate researchers to explore alternative approaches that value personalisation rather than harvesting datasets that are may be able to represent these differences.

摘要

人们对监测神经疾病患者的步态模式越来越感兴趣。可穿戴惯性传感器的普及使得在自由生活环境中研究步态成为可能。在不受控制的环境中评估步态的一个关键方面是准确识别步态的能力。以前的工作主要集中在使用小波变换方法或通用机器学习模型来检测步态;前者假设人与人之间具有相似的步态模式,而后者则假设训练数据集代表了多样化的人群。在本文中,我们认为这些方法不适合严重运动障碍患者及其独特的步态模式,并提出了一种轻量级的个性化替代方法。我们提出了一种基于通用模型的方法,通过个性化数据对其进行微调。与通用机器学习(NN 和 CNN)方法和个性化方法的对比概念验证评估表明,后者将 NN 的整体准确性提高了 3.5%,将 CNN 的整体准确性提高了 5.3%。更重要的是,对于通用模型代表性较差的参与者(最极端的情况),个性化方法使 NN 的步态实例识别提高了 16.9%,CNN 的步态实例识别提高了 20.5%。人们常说,患有神经疾病的人,如帕金森病,表现出非常独特的运动模式,从某种意义上说,他们都是异常值;我们希望我们的结果将激励研究人员探索重视个性化的替代方法,而不是收集可能能够代表这些差异的数据集。

https://cdn.ncbi.nlm.nih.gov/pmc/blobs/5245/9183078/e905aa736996/sensors-22-03980-g001.jpg

文献AI研究员

20分钟写一篇综述,助力文献阅读效率提升50倍。

立即体验

用中文搜PubMed

大模型驱动的PubMed中文搜索引擎

马上搜索

文档翻译

学术文献翻译模型,支持多种主流文档格式。

立即体验