• 文献检索
  • 文档翻译
  • 深度研究
  • 学术资讯
  • Suppr Zotero 插件Zotero 插件
  • 邀请有礼
  • 套餐&价格
  • 历史记录
应用&插件
Suppr Zotero 插件Zotero 插件浏览器插件Mac 客户端Windows 客户端微信小程序
定价
高级版会员购买积分包购买API积分包
服务
文献检索文档翻译深度研究API 文档MCP 服务
关于我们
关于 Suppr公司介绍联系我们用户协议隐私条款
关注我们

Suppr 超能文献

核心技术专利:CN118964589B侵权必究
粤ICP备2023148730 号-1Suppr @ 2026

文献检索

告别复杂PubMed语法,用中文像聊天一样搜索,搜遍4000万医学文献。AI智能推荐,让科研检索更轻松。

立即免费搜索

文件翻译

保留排版,准确专业,支持PDF/Word/PPT等文件格式,支持 12+语言互译。

免费翻译文档

深度研究

AI帮你快速写综述,25分钟生成高质量综述,智能提取关键信息,辅助科研写作。

立即免费体验

开发和验证包括宫颈癌患者小淋巴通路的远处转移预后预测模型。

Development and validation of a prognostic prediction model including the minor lymphatic pathway for distant metastases in cervical cancer patients.

机构信息

Division of Radiation Oncology, Department of Radiology, Faculty of Medicine, Siriraj Hospital, Mahidol University, 2 Wanglang Road, Bangkok Noi, Bangkok, 10700, Thailand.

Department of Clinical Epidemiology, Faculty of Medicine, Thammasat University, Pathum Thani, Thailand.

出版信息

Sci Rep. 2022 Jun 14;12(1):9873. doi: 10.1038/s41598-022-13616-0.

DOI:10.1038/s41598-022-13616-0
PMID:35701437
原文链接:https://pmc.ncbi.nlm.nih.gov/articles/PMC9197836/
Abstract

UNLABELLED

To develop and validate a prognostic model, including the minor lymphatic pathway (internal iliac and presacral nodes).

STUDY DESIGN

Retrospective cohort.

PARTICIPANTS

Locally advanced cervical cancer underwent concurrent chemoradiotherapy.

SAMPLE SIZE

397 and 384 patients in the development and validation data set.

PREDICTORS

Our new nodal staging system with the minor lymphatic pathway.

OUTCOME

Distant metastases.

STATISTICAL ANALYSIS

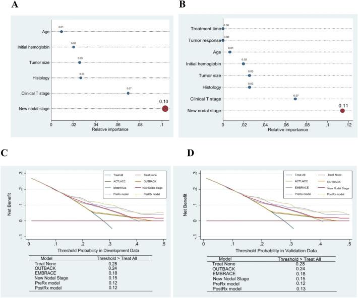
Cox regression; net reclassification improvement (NRI) and decision curve analysis (DCA). Our new nodal system was the strongest predictor. The predictors in the final model were new nodal system, tumor stage, adenocarcinoma, initial hemoglobin, tumor size and age. The nodal system and the pretreatment model had concordance indices of 0.661 and 0.708, respectively, with good calibration curves. Compared to the OUTBACK eligibility criteria, the nodal system showed NRI for both cases (22%) and controls (16%). The pretreatment model showed NRI for cases (31%) and controls (18%). DCA in both models showed threshold probability of 15% and 12%, respectively, when compared with 24% in OUTBACK eligibility criteria. Our new nodal staging system and the pretreatment model could differentiate between high-risk and low-risk patients, thus facilitating decisions to provide more aggressive treatment to prevent distant metastases.

摘要

未标记

开发和验证一个包括小淋巴通路(髂内和骶前淋巴结)的预后模型。

研究设计

回顾性队列研究。

参与者

局部晚期宫颈癌患者接受同期放化疗。

样本量

发展和验证数据集分别为 397 例和 384 例患者。

预测因子

我们的新淋巴结分期系统包括小淋巴通路。

结局

远处转移。

统计学分析

Cox 回归;净重新分类改善(NRI)和决策曲线分析(DCA)。我们的新淋巴结系统是最强的预测因子。最终模型中的预测因子包括新的淋巴结系统、肿瘤分期、腺癌、初始血红蛋白、肿瘤大小和年龄。新的淋巴结系统和预处理模型的一致性指数分别为 0.661 和 0.708,校准曲线良好。与 OUTBACK 入选标准相比,淋巴结系统对病例(22%)和对照(16%)均显示出 NRI。预处理模型对病例(31%)和对照(18%)显示出 NRI。与 OUTBACK 入选标准中的 24%相比,两个模型中的 DCA 均显示出阈值概率为 15%和 12%。我们的新淋巴结分期系统和预处理模型可以区分高危和低危患者,从而有助于做出提供更积极治疗以预防远处转移的决策。

https://cdn.ncbi.nlm.nih.gov/pmc/blobs/7e1c/9197836/1e7f23908513/41598_2022_13616_Fig2_HTML.jpg
https://cdn.ncbi.nlm.nih.gov/pmc/blobs/7e1c/9197836/fed0e626da9b/41598_2022_13616_Fig1_HTML.jpg
https://cdn.ncbi.nlm.nih.gov/pmc/blobs/7e1c/9197836/1e7f23908513/41598_2022_13616_Fig2_HTML.jpg
https://cdn.ncbi.nlm.nih.gov/pmc/blobs/7e1c/9197836/fed0e626da9b/41598_2022_13616_Fig1_HTML.jpg
https://cdn.ncbi.nlm.nih.gov/pmc/blobs/7e1c/9197836/1e7f23908513/41598_2022_13616_Fig2_HTML.jpg

相似文献

1
Development and validation of a prognostic prediction model including the minor lymphatic pathway for distant metastases in cervical cancer patients.开发和验证包括宫颈癌患者小淋巴通路的远处转移预后预测模型。
Sci Rep. 2022 Jun 14;12(1):9873. doi: 10.1038/s41598-022-13616-0.
2
Evaluation and external validation of minor lymphatic pelvic pathway for distant metastases in cervical cancer patients treated with concurrent chemoradiotherapy.评估和外部验证宫颈癌患者同步放化疗后小盆腔淋巴转移途径的远处转移。
Curr Probl Cancer. 2022 Aug;46(4):100876. doi: 10.1016/j.currproblcancer.2022.100876. Epub 2022 Jun 1.
3
Oncologic outcomes in the era of modern radiation therapy using FIGO 2018 staging system for cervical cancer.采用国际妇产科联盟(FIGO)2018年宫颈癌分期系统的现代放射治疗时代的肿瘤学结局
Gynecol Oncol. 2021 Aug;162(2):277-283. doi: 10.1016/j.ygyno.2021.05.023. Epub 2021 May 29.
4
[Outcomes and prognostic factors of distant metastasis in patients with advanced cervical squamous cell carcinoma treated with concurrent chemoradiotherapy].[同步放化疗治疗晚期宫颈鳞状细胞癌患者远处转移的结局及预后因素]
Zhonghua Fu Chan Ke Za Zhi. 2015 Feb;50(2):125-30.
5
Risk assessment tool for distant recurrence after platinum-based concurrent chemoradiation in patients with locally advanced cervical cancer: a Korean gynecologic oncology group study.局部晚期宫颈癌患者接受铂类同期放化疗后远处复发风险评估工具:韩国妇科肿瘤学组研究。
J Clin Oncol. 2012 Jul 1;30(19):2369-74. doi: 10.1200/JCO.2011.37.5923. Epub 2012 May 21.
6
Development and Assessment of a Clinical Calculator for Estimating the Likelihood of Recurrence and Survival Among Patients With Locally Advanced Rectal Cancer Treated With Chemotherapy, Radiotherapy, and Surgery.开发和评估一种临床计算器,用于估计接受化疗、放疗和手术治疗的局部晚期直肠癌患者的复发和生存可能性。
JAMA Netw Open. 2021 Nov 1;4(11):e2133457. doi: 10.1001/jamanetworkopen.2021.33457.
7
Patterns of failure and prognostic factor analyses in locally advanced cervical cancer patients staged by positron emission tomography and treated with curative intent.通过正电子发射断层扫描分期并接受根治性治疗的局部晚期宫颈癌患者的失败模式及预后因素分析
Int J Gynecol Cancer. 2009 Jul;19(5):912-8. doi: 10.1111/IGC.0b013e3181a58d3f.
8
The prognostic factors for locally advanced cervical cancer patients treated by intensity-modulated radiation therapy with concurrent chemotherapy.接受调强放疗同步化疗的局部晚期宫颈癌患者的预后因素。
J Formos Med Assoc. 2015 Mar;114(3):231-7. doi: 10.1016/j.jfma.2012.10.021. Epub 2013 Jan 5.
9
Prediction model for para-aortic lymph node metastasis in patients with locally advanced cervical cancer.局部晚期宫颈癌患者腹主动脉旁淋巴结转移预测模型。
Gynecol Oncol. 2017 Jan;144(1):40-45. doi: 10.1016/j.ygyno.2016.11.011. Epub 2016 Nov 14.
10
Prediction of local relapse and distant metastasis in patients with definitive chemoradiotherapy-treated cervical cancer by deep learning from [F]-fluorodeoxyglucose positron emission tomography/computed tomography.深度学习在[F]-氟代脱氧葡萄糖正电子发射断层扫描/计算机断层扫描在根治性放化疗治疗宫颈癌患者中的局部复发和远处转移预测。
Eur Radiol. 2019 Dec;29(12):6741-6749. doi: 10.1007/s00330-019-06265-x. Epub 2019 May 27.

引用本文的文献

1
Pre-Treatment and Pre-Brachytherapy MRI first-order Radiomic Features by a Commercial software as survival predictors in radiotherapy for cervical cancer Objectives.使用商业软件提取的治疗前和近距离放疗前MRI一阶影像组学特征作为宫颈癌放疗生存预测指标 目的。
Clin Transl Radiat Oncol. 2025 Apr 19;53:100965. doi: 10.1016/j.ctro.2025.100965. eCollection 2025 Jul.

本文引用的文献

1
Evaluation and external validation of minor lymphatic pelvic pathway for distant metastases in cervical cancer patients treated with concurrent chemoradiotherapy.评估和外部验证宫颈癌患者同步放化疗后小盆腔淋巴转移途径的远处转移。
Curr Probl Cancer. 2022 Aug;46(4):100876. doi: 10.1016/j.currproblcancer.2022.100876. Epub 2022 Jun 1.
2
MRI-guided adaptive brachytherapy in locally advanced cervical cancer (EMBRACE-I): a multicentre prospective cohort study.磁共振引导自适应近距离放疗在局部晚期宫颈癌中的应用(EMBRACE-I):一项多中心前瞻性队列研究。
Lancet Oncol. 2021 Apr;22(4):538-547. doi: 10.1016/S1470-2045(20)30753-1.
3
Magnetic resonance imaging features of tumor and lymph node to predict clinical outcome in node-positive cervical cancer: a retrospective analysis.
肿瘤和淋巴结的磁共振成像特征预测淋巴结阳性宫颈癌的临床结局:一项回顾性分析。
Radiat Oncol. 2020 Apr 20;15(1):86. doi: 10.1186/s13014-020-01502-w.
4
A simple, step-by-step guide to interpreting decision curve analysis.解读决策曲线分析的简易分步指南。
Diagn Progn Res. 2019 Oct 4;3:18. doi: 10.1186/s41512-019-0064-7. eCollection 2019.
5
A randomized controlled trial comparing concurrent chemoradiation versus concurrent chemoradiation followed by adjuvant chemotherapy in locally advanced cervical cancer patients: ACTLACC trial.一项比较局部晚期宫颈癌患者同期放化疗与同期放化疗后辅助化疗的随机对照临床试验:ACTLACC 试验。
J Gynecol Oncol. 2019 Jul;30(4):e82. doi: 10.3802/jgo.2019.30.e82. Epub 2019 Apr 10.
6
Nomograms predicting survival and patterns of failure in patients with cervical cancer treated with concurrent chemoradiotherapy: A special focus on lymph nodes metastases.列线图预测同步放化疗治疗宫颈癌患者的生存和失败模式:特别关注淋巴结转移。
PLoS One. 2019 Apr 15;14(4):e0214498. doi: 10.1371/journal.pone.0214498. eCollection 2019.
7
Implementation of diagnostic resources for cancer in developing countries: a focus on PET/CT.发展中国家癌症诊断资源的实施:聚焦正电子发射断层显像/计算机断层扫描(PET/CT)
Ecancermedicalscience. 2019 Jan 31;13:ed87. doi: 10.3332/ecancer.2019.ed87. eCollection 2019.
8
The EMBRACE II study: The outcome and prospect of two decades of evolution within the GEC-ESTRO GYN working group and the EMBRACE studies.EMBRACE II研究:GEC-ESTRO妇科工作组及EMBRACE研究二十年发展的成果与展望
Clin Transl Radiat Oncol. 2018 Jan 11;9:48-60. doi: 10.1016/j.ctro.2018.01.001. eCollection 2018 Feb.
9
Study of fluid dynamics reveals direct communications between lymphatic vessels and venous blood vessels at lymph nodes of mice.流体动力学研究揭示了小鼠淋巴结处淋巴管与静脉血管之间的直接连通。
J Immunol Methods. 2017 Jun;445:1-9. doi: 10.1016/j.jim.2017.02.008. Epub 2017 Feb 22.
10
New concept for the prevention and treatment of metastatic lymph nodes using chemotherapy administered via the lymphatic network.利用淋巴管给药进行化疗预防和治疗转移性淋巴结的新概念。
Sci Rep. 2016 Sep 1;6:32506. doi: 10.1038/srep32506.