Suppr超能文献

钆塞酸二钠增强MRI的影像组学分析预测肝癌患者经动脉栓塞治疗的反应

Radiomics Analysis on Gadoxetate Disodium-Enhanced MRI Predicts Response to Transarterial Embolization in Patients with HCC.

作者信息

Cannella Roberto, Cammà Carla, Matteini Francesco, Celsa Ciro, Giuffrida Paolo, Enea Marco, Comelli Albert, Stefano Alessandro, Cammà Calogero, Midiri Massimo, Lagalla Roberto, Brancatelli Giuseppe, Vernuccio Federica

机构信息

Section of Radiology, Department of Biomedicine, Neuroscience and Advanced Diagnostics (BiND), University Hospital "Paolo Giaccone", Via del Vespro 129, 90127 Palermo, Italy.

Department of Health Promotion, Mother and Child Care, Internal Medicine and Medical Specialties, PROMISE, University of Palermo, 90127 Palermo, Italy.

出版信息

Diagnostics (Basel). 2022 May 24;12(6):1308. doi: 10.3390/diagnostics12061308.

Abstract

OBJECTIVES

To explore the potential of radiomics on gadoxetate disodium-enhanced MRI for predicting hepatocellular carcinoma (HCC) response after transarterial embolization (TAE).

METHODS

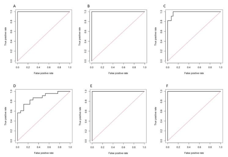
This retrospective study included cirrhotic patients treated with TAE for unifocal HCC naïve to treatments. Each patient underwent gadoxetate disodium-enhanced MRI. Radiomics analysis was performed by segmenting the lesions on portal venous (PVP), 3-min transitional, and 20-min hepatobiliary (HBP) phases. Clinical data, laboratory variables, and qualitative features based on LI-RADSv2018 were assessed. Reference standard was based on mRECIST response criteria. Two different radiomics models were constructed, a statistical model based on logistic regression with elastic net penalty (model 1) and a computational model based on a hybrid descriptive-inferential feature extraction method (model 2). Areas under the ROC curves (AUC) were calculated.

RESULTS

The final population included 51 patients with HCC (median size 20 mm). Complete and objective responses were obtained in 14 (27.4%) and 29 (56.9%) patients, respectively. Model 1 showed the highest performance on PVP for predicting objective response with an AUC of 0.733, sensitivity of 100%, and specificity of 40.0% in the test set. Model 2 demonstrated similar performances on PVP and HBP for predicting objective response, with an AUC of 0.791, sensitivity of 71.3%, specificity of 61.7% on PVP, and AUC of 0.790, sensitivity of 58.8%, and specificity of 90.1% on HBP.

CONCLUSIONS

Radiomics models based on gadoxetate disodium-enhanced MRI can achieve good performance for predicting response of HCCs treated with TAE.

摘要

目的

探讨钆塞酸二钠增强磁共振成像(MRI)的影像组学在预测经动脉栓塞(TAE)后肝细胞癌(HCC)反应中的潜力。

方法

这项回顾性研究纳入了因单发初治HCC接受TAE治疗的肝硬化患者。每位患者均接受了钆塞酸二钠增强MRI检查。通过在门静脉期(PVP)、3分钟过渡期和20分钟肝胆期(HBP)对病变进行分割来进行影像组学分析。评估了临床数据、实验室变量以及基于LI-RADSv2018的定性特征。参考标准基于改良RECIST反应标准。构建了两种不同的影像组学模型,一种基于带弹性网络惩罚的逻辑回归的统计模型(模型1)和一种基于混合描述性-推断性特征提取方法的计算模型(模型2)。计算了ROC曲线下面积(AUC)。

结果

最终队列包括51例HCC患者(中位大小为20mm)。分别有14例(27.4%)和29例(56.9%)患者获得了完全缓解和客观缓解。模型1在PVP期预测客观缓解方面表现最佳,在测试集中AUC为0.733,敏感性为100%,特异性为40.0%。模型2在PVP期和HBP期预测客观缓解方面表现相似,在PVP期AUC为0.791,敏感性为71.3%,特异性为61.7%,在HBP期AUC为0.790,敏感性为58.8%,特异性为90.1%。

结论

基于钆塞酸二钠增强MRI的影像组学模型在预测TAE治疗的HCC反应方面可取得良好表现。

https://cdn.ncbi.nlm.nih.gov/pmc/blobs/07d0/9221802/2beb78b94ba1/diagnostics-12-01308-g001.jpg

文献AI研究员

20分钟写一篇综述,助力文献阅读效率提升50倍。

立即体验

用中文搜PubMed

大模型驱动的PubMed中文搜索引擎

马上搜索

文档翻译

学术文献翻译模型,支持多种主流文档格式。

立即体验