• 文献检索
  • 文档翻译
  • 深度研究
  • 学术资讯
  • Suppr Zotero 插件Zotero 插件
  • 邀请有礼
  • 套餐&价格
  • 历史记录
应用&插件
Suppr Zotero 插件Zotero 插件浏览器插件Mac 客户端Windows 客户端微信小程序
定价
高级版会员购买积分包购买API积分包
服务
文献检索文档翻译深度研究API 文档MCP 服务
关于我们
关于 Suppr公司介绍联系我们用户协议隐私条款
关注我们

Suppr 超能文献

核心技术专利:CN118964589B侵权必究
粤ICP备2023148730 号-1Suppr @ 2026

文献检索

告别复杂PubMed语法,用中文像聊天一样搜索,搜遍4000万医学文献。AI智能推荐,让科研检索更轻松。

立即免费搜索

文件翻译

保留排版,准确专业,支持PDF/Word/PPT等文件格式,支持 12+语言互译。

免费翻译文档

深度研究

AI帮你快速写综述,25分钟生成高质量综述,智能提取关键信息,辅助科研写作。

立即免费体验

同侧、对侧或双侧重复经颅磁刺激对单侧耳鸣患者的影响:一项安慰剂对照随机研究。

Effect of Ipsilateral, Contralateral or Bilateral Repetitive Transcranial Magnetic Stimulation in Patients with Lateralized Tinnitus: A Placebo-Controlled Randomized Study.

作者信息

Li Yi, Shen Yong-Cong, Galvin John J, Liu Ji-Sheng, Tao Duo-Duo

机构信息

Department of Ear, Nose, and Throat, Dushu Lake Hospital Affiliated of Soochow University, Suzhou 215000, China.

Department of Ear, Nose, and Throat, The First Affiliated of Soochow University, Suzhou 215000, China.

出版信息

Brain Sci. 2022 Jun 2;12(6):733. doi: 10.3390/brainsci12060733.

DOI:10.3390/brainsci12060733
PMID:35741618
原文链接:https://pmc.ncbi.nlm.nih.gov/articles/PMC9220993/
Abstract

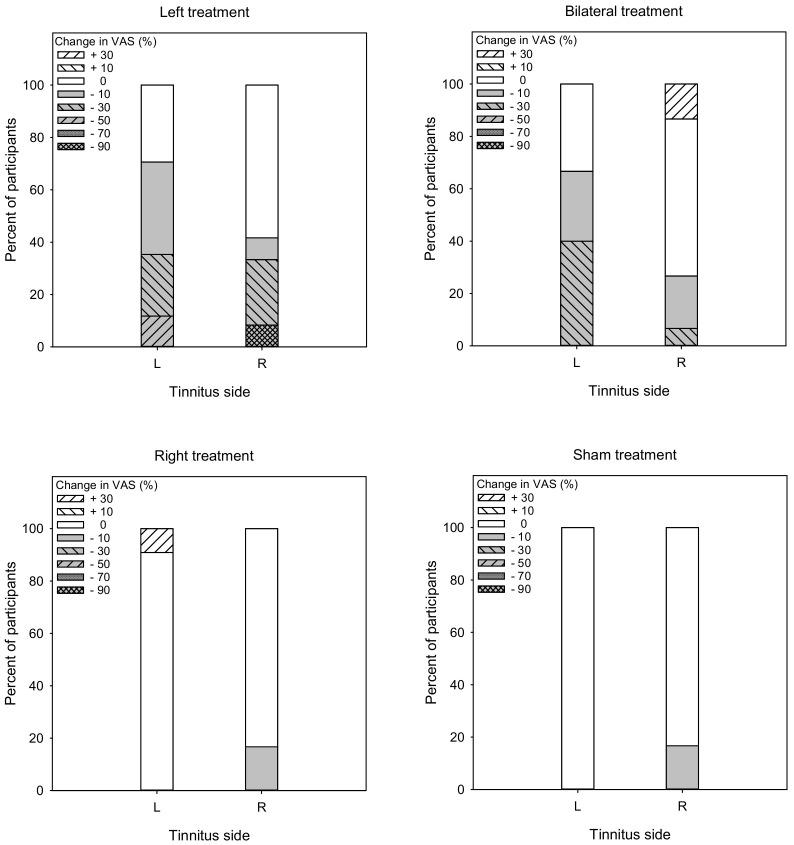
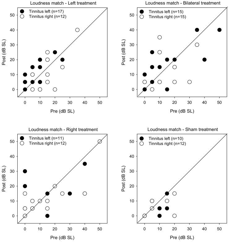
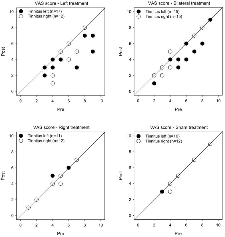
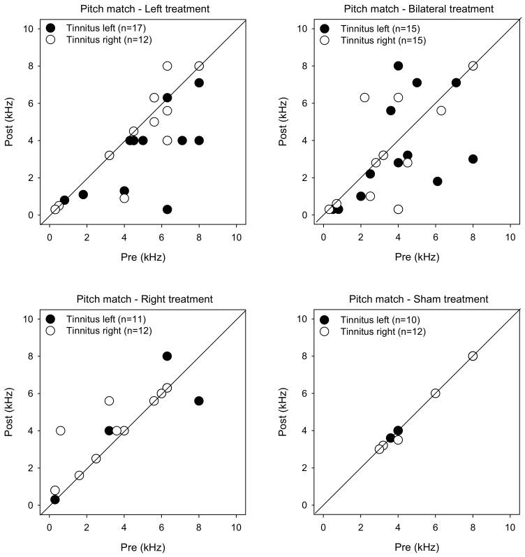
The relative benefit of ipsilateral, contralateral, and bilateral repetitive transcranial magnetic stimulation (rTMS) for tinnitus treatment remains unclear, especially for patients with lateralized tinnitus. In this study, we compared outcomes after 10 sessions of 1-Hz rTMS at 110% of resting motor threshold over a two-week period. In total, 104 right-handed patients with lateralized subjective tinnitus were randomly divided into four groups according to rTMS treatment: Left (n = 29), Right (n = 23), Bilateral (n = 30), and Sham stimulation (n = 22). Outcomes included estimates of tinnitus severity, psychological state, and psychoacoustic measures. Patients with left- or right-sided tinnitus were similarly distributed across treatment groups. There were no significant changes in outcome measures for the Right or Sham treatment groups. For the Left and Bilateral groups, tinnitus severity was significantly lower after treatment (p < 0.05). The reduction in tinnitus severity was largest for ipsilateral treatment in the Left group. The overall response rate was 56.1% for the Left group, 46.7% for the Bilateral group, 8.3% for the Right group, and 8.3% for the Sham group. For the Left and Bilateral groups, the response rate was larger for patients with left- than right-sided tinnitus. Changes in tinnitus severity were best predicted by changes in anxiety, depression, and the loudness of the tinnitus. The results suggests that rTMS on the left temporoparietal cortex is more effective for patients with left-sided than with right-sided tinnitus.

摘要

同侧、对侧和双侧重复经颅磁刺激(rTMS)治疗耳鸣的相对益处仍不明确,尤其是对于耳鸣定位明确的患者。在本研究中,我们比较了在两周内以静息运动阈值的110%进行10次1赫兹rTMS治疗后的结果。总共104名右利手且耳鸣定位明确的主观性耳鸣患者根据rTMS治疗方式被随机分为四组:左侧(n = 29)、右侧(n = 23)、双侧(n = 30)和假刺激组(n = 22)。结果包括耳鸣严重程度评估、心理状态和心理声学测量。左侧或右侧耳鸣患者在各治疗组中的分布相似。右侧或假治疗组的结果测量指标无显著变化。对于左侧和双侧组,治疗后耳鸣严重程度显著降低(p < 0.05)。左侧组中同侧治疗的耳鸣严重程度降低最大。左侧组的总体有效率为56.1%,双侧组为46.7%,右侧组为8.3%,假刺激组为8.3%。对于左侧和双侧组,左侧耳鸣患者的有效率高于右侧耳鸣患者。耳鸣严重程度的变化最好通过焦虑、抑郁和耳鸣响度的变化来预测。结果表明,左侧颞顶叶皮质的rTMS对左侧耳鸣患者比对右侧耳鸣患者更有效。

https://cdn.ncbi.nlm.nih.gov/pmc/blobs/d588/9220993/29c42ec85398/brainsci-12-00733-g008.jpg
https://cdn.ncbi.nlm.nih.gov/pmc/blobs/d588/9220993/96d7e33ef0f3/brainsci-12-00733-g001.jpg
https://cdn.ncbi.nlm.nih.gov/pmc/blobs/d588/9220993/c5ba90c949a0/brainsci-12-00733-g002.jpg
https://cdn.ncbi.nlm.nih.gov/pmc/blobs/d588/9220993/018ece2b047e/brainsci-12-00733-g003.jpg
https://cdn.ncbi.nlm.nih.gov/pmc/blobs/d588/9220993/07cd6b733150/brainsci-12-00733-g004.jpg
https://cdn.ncbi.nlm.nih.gov/pmc/blobs/d588/9220993/826c6cbdae4e/brainsci-12-00733-g005.jpg
https://cdn.ncbi.nlm.nih.gov/pmc/blobs/d588/9220993/b18bb3874f7b/brainsci-12-00733-g006.jpg
https://cdn.ncbi.nlm.nih.gov/pmc/blobs/d588/9220993/8b272d9345fa/brainsci-12-00733-g007.jpg
https://cdn.ncbi.nlm.nih.gov/pmc/blobs/d588/9220993/29c42ec85398/brainsci-12-00733-g008.jpg
https://cdn.ncbi.nlm.nih.gov/pmc/blobs/d588/9220993/96d7e33ef0f3/brainsci-12-00733-g001.jpg
https://cdn.ncbi.nlm.nih.gov/pmc/blobs/d588/9220993/c5ba90c949a0/brainsci-12-00733-g002.jpg
https://cdn.ncbi.nlm.nih.gov/pmc/blobs/d588/9220993/018ece2b047e/brainsci-12-00733-g003.jpg
https://cdn.ncbi.nlm.nih.gov/pmc/blobs/d588/9220993/07cd6b733150/brainsci-12-00733-g004.jpg
https://cdn.ncbi.nlm.nih.gov/pmc/blobs/d588/9220993/826c6cbdae4e/brainsci-12-00733-g005.jpg
https://cdn.ncbi.nlm.nih.gov/pmc/blobs/d588/9220993/b18bb3874f7b/brainsci-12-00733-g006.jpg
https://cdn.ncbi.nlm.nih.gov/pmc/blobs/d588/9220993/8b272d9345fa/brainsci-12-00733-g007.jpg
https://cdn.ncbi.nlm.nih.gov/pmc/blobs/d588/9220993/29c42ec85398/brainsci-12-00733-g008.jpg

相似文献

1
Effect of Ipsilateral, Contralateral or Bilateral Repetitive Transcranial Magnetic Stimulation in Patients with Lateralized Tinnitus: A Placebo-Controlled Randomized Study.同侧、对侧或双侧重复经颅磁刺激对单侧耳鸣患者的影响:一项安慰剂对照随机研究。
Brain Sci. 2022 Jun 2;12(6):733. doi: 10.3390/brainsci12060733.
2
Efficacy of repetitive transcranial magnetic stimulation for the treatment of refractory chronic tinnitus: a randomized, placebo controlled study.重复经颅磁刺激治疗难治性慢性耳鸣的疗效:一项随机、安慰剂对照研究。
Neuro Endocrinol Lett. 2010;31(2):238-49.
3
Neural activity during attentional conflict predicts reduction in tinnitus perception following rTMS.注意力冲突期间的神经活动可预测重复经颅磁刺激(rTMS)后耳鸣感知的减轻。
Brain Stimul. 2017 Sep-Oct;10(5):934-943. doi: 10.1016/j.brs.2017.05.009. Epub 2017 Jun 2.
4
Low-frequency repetitive transcranial magnetic stimulation to the temporoparietal junction for tinnitus: four-week stimulation trial.低频重复经颅磁刺激颞顶交界处治疗耳鸣:四周刺激试验。
JAMA Otolaryngol Head Neck Surg. 2013 Apr;139(4):388-95. doi: 10.1001/jamaoto.2013.233.
5
Effects of repetitive transcranial magnetic stimulation (rTMS) on chronic tinnitus.重复经颅磁刺激(rTMS)对慢性耳鸣的影响。
Acta Otolaryngol Suppl. 2006 Dec(556):96-101. doi: 10.1080/03655230600895465.
6
Contralateral versus ipsilateral rTMS of temporoparietal cortex for the treatment of chronic unilateral tinnitus: comparative study.对侧与同侧颞顶叶皮层重复经颅磁刺激治疗慢性单侧耳鸣的对比研究。
Eur J Neurol. 2010 Jul;17(7):976-83. doi: 10.1111/j.1468-1331.2010.02965.x. Epub 2010 Mar 4.
7
Repetitive transcranial magnetic stimulation induces oscillatory power changes in chronic tinnitus.重复经颅磁刺激可诱导慢性耳鸣患者的振荡功率变化。
Front Cell Neurosci. 2015 Oct 21;9:421. doi: 10.3389/fncel.2015.00421. eCollection 2015.
8
Comparison of the outcomes of repetitive transcranial magnetic stimulation to the ipsilateral and contralateral auditory cortex in unilateral tinnitus.单侧耳鸣患者中重复经颅磁刺激同侧和对侧听觉皮层的疗效比较。
Electromagn Biol Med. 2014 Sep;33(3):211-5. doi: 10.3109/15368378.2013.801353. Epub 2013 Jun 19.
9
Dorsomedial Prefrontal Cortex Repetitive Transcranial Magnetic Stimulation for Tinnitus: Promising Results of a Blinded, Randomized, Sham-Controlled Study.背外侧前额叶皮质重复经颅磁刺激治疗耳鸣:一项盲法、随机、假刺激对照研究的初步结果
Ear Hear. 2021 Jan/Feb;42(1):12-19. doi: 10.1097/AUD.0000000000000908.
10
Low-frequency repetitive transcranial magnetic stimulation to the temporoparietal junction for tinnitus.低频重复经颅磁刺激颞顶联合区治疗耳鸣
Arch Otolaryngol Head Neck Surg. 2011 Mar;137(3):221-8. doi: 10.1001/archoto.2011.3.

本文引用的文献

1
Efficacy of Repetitive Transcranial Magnetic Stimulation (rTMS) for Tinnitus: A Retrospective Study.重复经颅磁刺激(rTMS)治疗耳鸣的疗效:一项回顾性研究。
Ear Nose Throat J. 2023 Oct;102(10):NP506-NP510. doi: 10.1177/01455613211016896. Epub 2021 Jun 15.
2
Evidence-based guidelines on the therapeutic use of repetitive transcranial magnetic stimulation (rTMS): An update (2014-2018).基于证据的重复经颅磁刺激(rTMS)治疗应用指南:更新(2014-2018)。
Clin Neurophysiol. 2020 Feb;131(2):474-528. doi: 10.1016/j.clinph.2019.11.002. Epub 2020 Jan 1.
3
Prediction and perception: Insights for (and from) tinnitus.
预测与感知:耳鸣的洞察(来自耳鸣,也指向耳鸣)。
Neurosci Biobehav Rev. 2019 Jul;102:1-12. doi: 10.1016/j.neubiorev.2019.04.008. Epub 2019 Apr 15.
4
Neuronavigated Versus Non-navigated Repetitive Transcranial Magnetic Stimulation for Chronic Tinnitus: A Randomized Study.神经导航与非导航重复经颅磁刺激治疗慢性耳鸣的随机对照研究。
Trends Hear. 2019 Jan-Dec;23:2331216518822198. doi: 10.1177/2331216518822198.
5
Relationship Between Tinnitus Loudness Measure by Visual Analogue Scale and Psychoacoustic Matching of Tinnitus Loudness.耳鸣响度的视觉模拟量表测量值与耳鸣响度的心理声学匹配之间的关系。
Otol Neurotol. 2019 Jan;40(1):16-21. doi: 10.1097/MAO.0000000000002070.
6
Glutamate is down-regulated and tinnitus loudness-levels decreased following rTMS over auditory cortex of the left hemisphere: A prospective randomized single-blinded sham-controlled cross-over study.在对左半球听觉皮层进行重复经颅磁刺激(rTMS)后,谷氨酸水平下调,耳鸣响度降低:一项前瞻性随机单盲假对照交叉研究。
Hear Res. 2018 Feb;358:59-73. doi: 10.1016/j.heares.2017.10.017. Epub 2017 Nov 15.
7
1-Hz rTMS in the treatment of tinnitus: A sham-controlled, randomized multicenter trial.1-Hz rTMS 治疗耳鸣:一项假刺激对照、随机、多中心试验。
Brain Stimul. 2017 Nov-Dec;10(6):1112-1120. doi: 10.1016/j.brs.2017.08.001. Epub 2017 Aug 5.
8
Comparison of treatment outcomes between 10 and 20 EEG electrode location system-guided and neuronavigation-guided repetitive transcranial magnetic stimulation in chronic tinnitus patients and target localization in the Asian brain.慢性耳鸣患者中10导和20导脑电图电极定位系统引导与神经导航引导的重复经颅磁刺激治疗效果比较及亚洲人脑的靶点定位
Acta Otolaryngol. 2017 Sep;137(9):945-951. doi: 10.1080/00016489.2017.1316870. Epub 2017 May 4.
9
Electric field-navigated transcranial magnetic stimulation for chronic tinnitus: a randomized, placebo-controlled study.电场导航经颅磁刺激治疗慢性耳鸣:一项随机、安慰剂对照研究。
Int J Audiol. 2017 Sep;56(9):692-700. doi: 10.1080/14992027.2017.1313461. Epub 2017 Apr 18.
10
Combination of gaps in noise detection and visual analog scale for measuring tinnitus components in patients treated with repetitive transcranial magnetic stimulation.用于测量接受重复经颅磁刺激治疗患者耳鸣成分的噪声检测间隙与视觉模拟量表的联合应用
Auris Nasus Larynx. 2016 Jun;43(3):254-8. doi: 10.1016/j.anl.2015.09.004. Epub 2015 Oct 1.