Suppr超能文献

糖尿病视网膜病变患者行全视网膜光凝术后房水分析。

Aqueous Humor Analyses in Patients with Diabetic Retinopathy Who Had Undergone Panretinal Photocoagulation.

机构信息

Department of Ophthalmology, St. Vincent's Hospital, College of Medicine, The Catholic University of Korea, Seoul, Republic of Korea.

出版信息

J Diabetes Res. 2022 Jun 20;2022:1897344. doi: 10.1155/2022/1897344. eCollection 2022.

Abstract

PURPOSE

To determine the associations between aqueous humor cytokine levels and the severity of diabetic retinopathy and the prior panretinal photocoagulation (PRP) status of patients with diabetic macular edema (DME).

METHODS

We divided 98 DME patients into those with nonproliferative diabetic retinopathy (NPDR), proliferative diabetic retinopathy (PDR), and PRP patients. We compared the concentrations of interleukin- (IL-) 1, IL-6, IL-8, IL-10, and IL-17; placental growth factor (PlGF); and vascular endothelial growth factor (VEGF) in the aqueous humors. We subclassified PRP patients by the interval between PRP and aqueous sampling and analyzed the associations between aqueous cytokine levels and this interval.

RESULTS

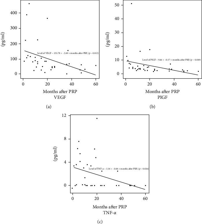
The aqueous humor levels of IL-6, IL-8, VEGF, and PlGF were significantly higher in the PDR group than in the NPDR group. The PlGF and VEGF levels in the PDR group were significantly higher than those in the PRP group. On PRP subgroup analyses, patients who had undergone PRP within 6 months prior exhibited higher levels of VEGF, PlGF, and TNF- than did those who had undergone PRP more than 12 months prior. The TNF- level of the PRP subgroup treated within 6 months prior was significantly higher than that of the PDR group. Regression analyses showed that the levels of VEGF, PlGF, and TNF- decreased significantly as the interval between PRP and aqueous sampling became longer.

CONCLUSIONS

PDR patients exhibited higher concentrations of VEGF and certain inflammatory cytokines than did NPDR and PRP patients. In the latter patients, the intraocular VEGF and inflammatory cytokine levels fell gradually over time.

摘要

目的

确定房水中细胞因子水平与糖尿病视网膜病变严重程度以及糖尿病性黄斑水肿(DME)患者全视网膜光凝(PRP)前状态的关系。

方法

我们将 98 例 DME 患者分为非增生性糖尿病视网膜病变(NPDR)、增生性糖尿病视网膜病变(PDR)和 PRP 患者。我们比较了房水中白细胞介素(IL)-1、IL-6、IL-8、IL-10 和 IL-17;胎盘生长因子(PlGF);以及血管内皮生长因子(VEGF)的浓度。我们根据 PRP 与房水取样之间的间隔将 PRP 患者进行亚组分类,并分析房水细胞因子水平与该间隔之间的关系。

结果

PDR 组房水中的 IL-6、IL-8、VEGF 和 PlGF 水平明显高于 NPDR 组。PDR 组的 PlGF 和 VEGF 水平明显高于 PRP 组。在 PRP 亚组分析中,PRP 治疗时间在 6 个月内的患者的 VEGF、PlGF 和 TNF-水平明显高于 PRP 治疗时间超过 12 个月的患者。PRP 治疗时间在 6 个月内的亚组患者的 TNF-水平明显高于 PDR 组。回归分析显示,随着 PRP 与房水采样之间的间隔时间延长,VEGF、PlGF 和 TNF-的水平显著降低。

结论

PDR 患者的 VEGF 和某些炎症细胞因子浓度明显高于 NPDR 和 PRP 患者。在后者患者中,眼内 VEGF 和炎症细胞因子水平随时间逐渐下降。

https://cdn.ncbi.nlm.nih.gov/pmc/blobs/540f/9236844/04b328133f49/JDR2022-1897344.001.jpg

文献检索

告别复杂PubMed语法,用中文像聊天一样搜索,搜遍4000万医学文献。AI智能推荐,让科研检索更轻松。

立即免费搜索

文件翻译

保留排版,准确专业,支持PDF/Word/PPT等文件格式,支持 12+语言互译。

免费翻译文档

深度研究

AI帮你快速写综述,25分钟生成高质量综述,智能提取关键信息,辅助科研写作。

立即免费体验