Suppr超能文献

深度学习能准确地对成人和儿童 X 光片中的肘关节积液进行分类。

Deep learning accurately classifies elbow joint effusion in adult and pediatric radiographs.

机构信息

Faculty of Health and Well-Being, Turku University of Applied Sciences, Turku, Finland.

Department of Radiology, University of Turku, Turku, Finland.

出版信息

Sci Rep. 2022 Jul 12;12(1):11803. doi: 10.1038/s41598-022-16154-x.

Abstract

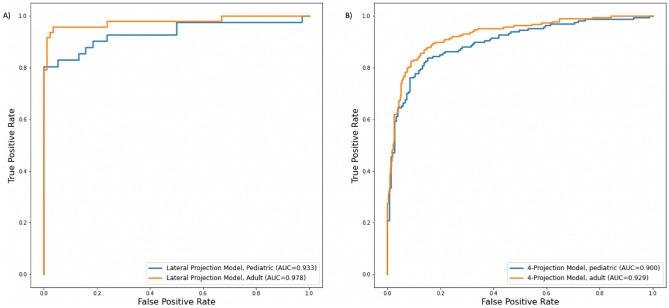
Joint effusion due to elbow fractures are common among adults and children. Radiography is the most commonly used imaging procedure to diagnose elbow injuries. The purpose of the study was to investigate the diagnostic accuracy of deep convolutional neural network algorithms in joint effusion classification in pediatric and adult elbow radiographs. This retrospective study consisted of a total of 4423 radiographs in a 3-year period from 2017 to 2020. Data was randomly separated into training (n = 2672), validation (n = 892) and test set (n = 859). Two models using VGG16 as the base architecture were trained with either only lateral projection or with four projections (AP, LAT and Obliques). Three radiologists evaluated joint effusion separately on the test set. Accuracy, precision, recall, specificity, F1 measure, Cohen's kappa, and two-sided 95% confidence intervals were calculated. Mean patient age was 34.4 years (1-98) and 47% were male patients. Trained deep learning framework showed an AUC of 0.951 (95% CI 0.946-0.955) and 0.906 (95% CI 0.89-0.91) for the lateral and four projection elbow joint images in the test set, respectively. Adult and pediatric patient groups separately showed an AUC of 0.966 and 0.924, respectively. Radiologists showed an average accuracy, sensitivity, specificity, precision, F1 score, and AUC of 92.8%, 91.7%, 93.6%, 91.07%, 91.4%, and 92.6%. There were no statistically significant differences between AUC's of the deep learning model and the radiologists (p value > 0.05). The model on the lateral dataset resulted in higher AUC compared to the model with four projection datasets. Using deep learning it is possible to achieve expert level diagnostic accuracy in elbow joint effusion classification in pediatric and adult radiographs. Deep learning used in this study can classify joint effusion in radiographs and can be used in image interpretation as an aid for radiologists.

摘要

肘部骨折引起的关节积液在成人和儿童中较为常见。放射摄影是诊断肘部损伤最常用的影像学检查方法。本研究旨在探讨深度卷积神经网络算法在儿童和成人肘部 X 线片中关节积液分类中的诊断准确性。这项回顾性研究共包括了 2017 年至 2020 年 3 年内的 4423 张 X 光片。数据随机分为训练集(n=2672)、验证集(n=892)和测试集(n=859)。使用 VGG16 作为基础架构的两个模型分别使用侧位投影或四个投影(AP、侧位和斜位)进行训练。三位放射科医生分别在测试集上评估关节积液。计算准确性、精确性、召回率、特异性、F1 度量、科恩氏 kappa 和双侧 95%置信区间。患者平均年龄为 34.4 岁(1-98 岁),47%为男性患者。训练有素的深度学习框架在测试集中显示出侧位和四投影肘部关节图像的 AUC 分别为 0.951(95% CI 0.946-0.955)和 0.906(95% CI 0.89-0.91)。成人和儿童患者组的 AUC 分别为 0.966 和 0.924。放射科医生的平均准确性、敏感度、特异性、精确性、F1 评分和 AUC 分别为 92.8%、91.7%、93.6%、91.07%、91.4%和 92.6%。深度学习模型和放射科医生的 AUC 之间没有统计学上的显著差异(p 值>0.05)。侧位数据集上的模型比四投影数据集上的模型 AUC 更高。使用深度学习可以实现儿童和成人 X 线片中关节积液分类的专家级诊断准确性。本研究中使用的深度学习可以对 X 光片中的关节积液进行分类,并可以作为放射科医生的辅助工具用于图像解释。

https://cdn.ncbi.nlm.nih.gov/pmc/blobs/f96a/9276721/3f6e0dba2b0e/41598_2022_16154_Fig1_HTML.jpg

文献AI研究员

20分钟写一篇综述,助力文献阅读效率提升50倍。

立即体验

用中文搜PubMed

大模型驱动的PubMed中文搜索引擎

马上搜索

文档翻译

学术文献翻译模型,支持多种主流文档格式。

立即体验