Suppr超能文献

巨噬细胞集落刺激因子诊断宫颈癌的准确性:系统评价和荟萃分析。

The diagnostic accuracy of macrophage colony-stimulating factor for cervical cancer: A systematic review and meta-analysis.

机构信息

Department of Hematology and Immunohematology, School of Biomedical and Laboratory Sciences, College of Medicine and Health Sciences, University of Gondar, Gondar, Ethiopia.

出版信息

Medicine (Baltimore). 2022 Jul 15;101(28):e29538. doi: 10.1097/MD.0000000000029538.

Abstract

BACKGROUND

Macrophage colony-stimulating factor (M-CSF) overexpression in plasma levels serves as a useful predictor of carcinogenesis and poor prognosis. Thus, we aimed to investigate the diagnostic performance of M-CSF for cervical cancer.

METHODS

A comprehensive search of eligible studies was performed in PubMed/MEDLINE, Cochrane Library, Google Scholar, Scopus, Web of Science, and EMBASE published until October 2021. For statistical analysis, Meta-disc software is used. The pooled sensitivity, specificity, positive likelihood ratio, negative likelihood ratio, diagnostic odds ratio, 95% confidence interval (CI), and the area under the curve were estimated. A P value <.05 was considered statistically significant.

RESULTS

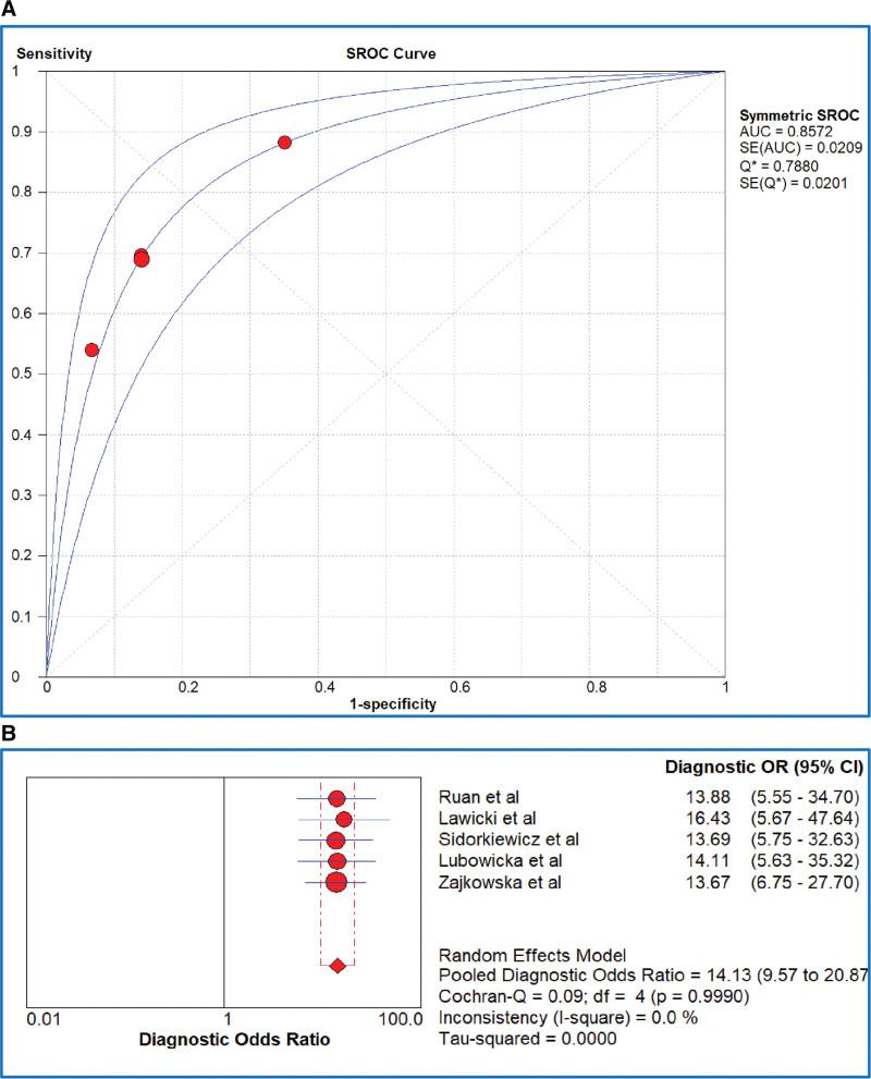
A total of 5 studies were included in this systematic review and meta-analysis. The result showed that the pooled sensitivity and specificity of M-CSF to diagnose cervical cancer were 70% (95% CI: 66%-74%) and 84% (95% CI: 80%-88%), respectively. The summary positive likelihood ratio and negative likelihood ratio were 4.41 (95% CI: 2.86-6.82) and 0.36 (95% CI: 0.29-0.45), respectively. The area under the curve of the summary receiver operating characteristic curve was 0.86 (95% CI: 0.83-0.88), indicating the excellent diagnostic performance of M-CSF for cervical cancer.

CONCLUSIONS

The results of this study showed that M-CSF has diagnostic value for the early detection of cervical cancer. As a result, M-CSF can be utilized in conjunction with existing test platforms to diagnose cervical cancer.

摘要

背景

巨噬细胞集落刺激因子(M-CSF)在血浆水平中的过表达可作为癌变和预后不良的有用预测指标。因此,我们旨在研究 M-CSF 对宫颈癌的诊断性能。

方法

在 PubMed/MEDLINE、Cochrane 图书馆、谷歌学术、Scopus、Web of Science 和 EMBASE 中全面搜索截至 2021 年 10 月发表的合格研究。使用 Meta-disc 软件进行统计分析。估计汇总灵敏度、特异性、阳性似然比、阴性似然比、诊断比值比、95%置信区间(CI)和曲线下面积。P 值<.05 被认为具有统计学意义。

结果

共有 5 项研究被纳入本系统评价和荟萃分析。结果表明,M-CSF 诊断宫颈癌的汇总灵敏度和特异性分别为 70%(95%CI:66%-74%)和 84%(95%CI:80%-88%)。汇总阳性似然比和阴性似然比分别为 4.41(95%CI:2.86-6.82)和 0.36(95%CI:0.29-0.45)。汇总受试者工作特征曲线下面积为 0.86(95%CI:0.83-0.88),表明 M-CSF 对宫颈癌具有出色的诊断性能。

结论

本研究结果表明,M-CSF 对宫颈癌的早期检测具有诊断价值。因此,M-CSF 可以与现有的检测平台结合使用,用于诊断宫颈癌。

https://cdn.ncbi.nlm.nih.gov/pmc/blobs/265f/11132362/7377b3d574f0/medi-101-e29538-g001.jpg

文献检索

告别复杂PubMed语法,用中文像聊天一样搜索,搜遍4000万医学文献。AI智能推荐,让科研检索更轻松。

立即免费搜索

文件翻译

保留排版,准确专业,支持PDF/Word/PPT等文件格式,支持 12+语言互译。

免费翻译文档

深度研究

AI帮你快速写综述,25分钟生成高质量综述,智能提取关键信息,辅助科研写作。

立即免费体验