• 文献检索
  • 文档翻译
  • 深度研究
  • 学术资讯
  • Suppr Zotero 插件Zotero 插件
  • 邀请有礼
  • 套餐&价格
  • 历史记录
应用&插件
Suppr Zotero 插件Zotero 插件浏览器插件Mac 客户端Windows 客户端微信小程序
定价
高级版会员购买积分包购买API积分包
服务
文献检索文档翻译深度研究API 文档MCP 服务
关于我们
关于 Suppr公司介绍联系我们用户协议隐私条款
关注我们

Suppr 超能文献

核心技术专利:CN118964589B侵权必究
粤ICP备2023148730 号-1Suppr @ 2026

文献检索

告别复杂PubMed语法,用中文像聊天一样搜索,搜遍4000万医学文献。AI智能推荐,让科研检索更轻松。

立即免费搜索

文件翻译

保留排版,准确专业,支持PDF/Word/PPT等文件格式,支持 12+语言互译。

免费翻译文档

深度研究

AI帮你快速写综述,25分钟生成高质量综述,智能提取关键信息,辅助科研写作。

立即免费体验

中药方剂骨通方缓解溶骨性骨破坏的分子机制。

The Molecular Mechanism of Traditional Chinese Medicine Prescription: Gu-tong Formula in Relieving Osteolytic Bone Destruction.

机构信息

National Cancer Center/National Clinical Research Center for Cancer/Cancer Hospital, Chinese Academy of Medical Sciences and Peking Union Medical College, Beijing 100021, China.

Department of Oncology, Beijing Hospital of Integrated Traditional Chinese and Western Medicine, Beijing 100039, China.

出版信息

Biomed Res Int. 2022 Jul 13;2022:4931368. doi: 10.1155/2022/4931368. eCollection 2022.

DOI:10.1155/2022/4931368
PMID:35872837
原文链接:https://pmc.ncbi.nlm.nih.gov/articles/PMC9300326/
Abstract

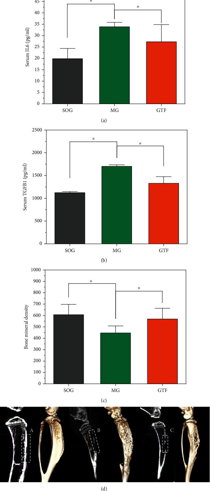
Bone metastasis is a common complication in patients with advanced tumors, causing pain and bone destruction and affecting their quality of life. Typically, complementary and alternative medicine (CAM), with unique theoretical guidance, has played key roles in the treatment of tumor-related diseases. Gu-tong formula (GTF), as a representative prescription of traditional Chinese medicine, has been demonstrated to be an effective clinical medication for the relief of cancer pain. However, the molecular mechanism of GTF in the treatment of osteolytic metastasis is still unclear. Herein, we employ network pharmacology and molecular dynamics methods to uncover the potential treatment mechanism, indicating that GTF can reduce the levels of serum IL6 and TGFB1 and thus limit the scope of bone cortical damage. Among the active compounds, sesamin and deltoin can bind stably with IL6 and TGFB1, respectively, and have the potential to become anti-inflammatory and anticancer drugs. Although the reasons for the therapeutic effect of GTF are complex and comprehensive, this work provides biological plausibility in the treatment of osteolytic metastases, which has a guiding significance for the treatment of cancer pain with CAM.

摘要

骨转移是晚期肿瘤患者的常见并发症,可导致疼痛和骨破坏,影响其生活质量。通常情况下,补充和替代医学(CAM)以其独特的理论指导,在治疗与肿瘤相关的疾病方面发挥了关键作用。骨痛方(GTF)作为中药的代表性方剂,已被证明是缓解癌痛的有效临床药物。然而,GTF 治疗溶骨性转移的分子机制尚不清楚。在此,我们采用网络药理学和分子动力学方法来揭示其潜在的治疗机制,表明 GTF 可以降低血清 IL6 和 TGFB1 的水平,从而限制骨皮质损伤的范围。在活性化合物中,芝麻素和芝麻林酚可以分别与 IL6 和 TGFB1 稳定结合,具有成为抗炎和抗癌药物的潜力。虽然 GTF 治疗效果的原因复杂且综合,但这项工作为溶骨性转移的治疗提供了生物学依据,对 CAM 治疗癌痛具有指导意义。

https://cdn.ncbi.nlm.nih.gov/pmc/blobs/ab1c/9300326/c9bded8f5dbf/BMRI2022-4931368.005.jpg
https://cdn.ncbi.nlm.nih.gov/pmc/blobs/ab1c/9300326/66c99573770e/BMRI2022-4931368.001.jpg
https://cdn.ncbi.nlm.nih.gov/pmc/blobs/ab1c/9300326/e35461837a2f/BMRI2022-4931368.002.jpg
https://cdn.ncbi.nlm.nih.gov/pmc/blobs/ab1c/9300326/e55d5fee038f/BMRI2022-4931368.003.jpg
https://cdn.ncbi.nlm.nih.gov/pmc/blobs/ab1c/9300326/dd024b46fe59/BMRI2022-4931368.004.jpg
https://cdn.ncbi.nlm.nih.gov/pmc/blobs/ab1c/9300326/c9bded8f5dbf/BMRI2022-4931368.005.jpg
https://cdn.ncbi.nlm.nih.gov/pmc/blobs/ab1c/9300326/66c99573770e/BMRI2022-4931368.001.jpg
https://cdn.ncbi.nlm.nih.gov/pmc/blobs/ab1c/9300326/e35461837a2f/BMRI2022-4931368.002.jpg
https://cdn.ncbi.nlm.nih.gov/pmc/blobs/ab1c/9300326/e55d5fee038f/BMRI2022-4931368.003.jpg
https://cdn.ncbi.nlm.nih.gov/pmc/blobs/ab1c/9300326/dd024b46fe59/BMRI2022-4931368.004.jpg
https://cdn.ncbi.nlm.nih.gov/pmc/blobs/ab1c/9300326/c9bded8f5dbf/BMRI2022-4931368.005.jpg

相似文献

1
The Molecular Mechanism of Traditional Chinese Medicine Prescription: Gu-tong Formula in Relieving Osteolytic Bone Destruction.中药方剂骨通方缓解溶骨性骨破坏的分子机制。
Biomed Res Int. 2022 Jul 13;2022:4931368. doi: 10.1155/2022/4931368. eCollection 2022.
2
Investigating the Multitarget Mechanism of Traditional Chinese Medicine Prescription for Cancer-Related Pain by Using Network Pharmacology and Molecular Docking Approach.基于网络药理学和分子对接方法探究中药复方治疗癌痛的多靶点作用机制
Evid Based Complement Alternat Med. 2020 Nov 10;2020:7617261. doi: 10.1155/2020/7617261. eCollection 2020.
3
Uncovering the pharmacological mechanism of Wei-Tong-Xin against gastric ulcer based on network pharmacology combined with in vivo experiment validation.基于网络药理学结合体内实验验证揭示胃通心抗胃溃疡的药理机制
J Ethnopharmacol. 2022 Jul 15;293:115282. doi: 10.1016/j.jep.2022.115282. Epub 2022 Apr 9.
4
Systemic pharmacological investigation of the Feng Shi Gu Tong capsule in the treatment of rheumatoid arthritis.枫实骨通胶囊治疗类风湿关节炎的系统药理研究。
Naunyn Schmiedebergs Arch Pharmacol. 2021 Jun;394(6):1285-1299. doi: 10.1007/s00210-021-02048-8. Epub 2021 Feb 1.
5
Uncovering the mechanism of the Shenzhi Jiannao formula against vascular dementia using a combined network pharmacology approach and molecular biology.采用网络药理学结合分子生物学方法揭示参志健脑方治疗血管性痴呆的作用机制。
Phytomedicine. 2021 Sep;90:153637. doi: 10.1016/j.phymed.2021.153637. Epub 2021 Jun 24.
6
A new strategy for discovering effective substances and mechanisms of traditional Chinese medicine based on standardized drug containing plasma and the absorbed ingredients composition, a case study of Xian-Ling-Gu-Bao capsules.基于含药血浆和吸收成分组成标准化的中药有效物质和作用机制发现新策略——以仙灵骨葆胶囊为例。
J Ethnopharmacol. 2021 Oct 28;279:114396. doi: 10.1016/j.jep.2021.114396. Epub 2021 Jul 8.
7
The Pharmacological Mechanism of the Effect of Plant Extract Compound Drugs on Cancer Pain Based on Network Pharmacology.基于网络药理学的植物提取物复方药物治疗癌痛的作用机制。
J Healthc Eng. 2022 Feb 27;2022:9326373. doi: 10.1155/2022/9326373. eCollection 2022.
8
[Study on relevance mining of "core drug action target" in Dictionary of Traditional Chinese Medicine Prescriptions].[《中医方剂大辞典》中“核心药物作用靶点”关联挖掘研究]
Zhongguo Zhong Yao Za Zhi. 2018 Oct;43(19):3919-3926. doi: 10.19540/j.cnki.cjcmm.20180710.002.
9
[Core prescriptions in treatment of edema by traditional Chinese medicine masters and mechanism prediction].[中医名家治疗水肿的核心方剂及作用机制预测]
Zhongguo Zhong Yao Za Zhi. 2022 Feb;47(3):764-775. doi: 10.19540/j.cnki.cjcmm.20211103.701.
10
[Standardization of names in prescriptions of traditional Chinese medicines].[中药处方名称的标准化]
Zhongguo Zhong Yao Za Zhi. 2017 Jan;42(1):198-202. doi: 10.19540/j.cnki.cjcmm.20161222.038.

引用本文的文献

1
Peripheral Mechanism of Cancer-Induced Bone Pain.癌症相关性骨痛的外周机制。
Neurosci Bull. 2024 Jun;40(6):815-830. doi: 10.1007/s12264-023-01126-6. Epub 2023 Oct 6.
2
Integrating transcriptomics and network analysis-based multiplexed drug repurposing to screen drug candidates for M2 macrophage-associated castration-resistant prostate cancer bone metastases.基于转录组学和网络分析的多药物重定位整合,筛选 M2 巨噬细胞相关去势抵抗性前列腺癌骨转移的药物候选物。
Front Immunol. 2022 Oct 26;13:989972. doi: 10.3389/fimmu.2022.989972. eCollection 2022.

本文引用的文献

1
Evaluation of the binding effect and cytotoxicity assay of 2-Ethyl-5-(4-methylphenyl) pyramido pyrazole ophthalazine trione on calf thymus DNA: spectroscopic, calorimetric, and molecular dynamics approaches.评价 2-乙基-5-(4-甲基苯基)吡唑并[1,5-a]嘧啶并[2,3-e]哒嗪-4,6(1H,5H)-二酮与小牛胸腺 DNA 的结合效应和细胞毒性:光谱学、量热法和分子动力学方法。
Luminescence. 2022 Feb;37(2):310-322. doi: 10.1002/bio.4173. Epub 2021 Dec 29.
2
Determining the Interaction Behavior of Calf Thymus DNA with Anastrozole in the Presence of Histone H1: Spectroscopies and Cell Viability of MCF-7 Cell Line Investigations.测定小牛胸腺 DNA 与来曲唑在组蛋白 H1 存在下的相互作用行为: MCF-7 细胞系的光谱学和细胞活力研究。
DNA Cell Biol. 2021 Aug;40(8):1039-1051. doi: 10.1089/dna.2021.0052. Epub 2021 Jun 24.
3
Bone metastasis: mechanisms, therapies, and biomarkers.骨转移:机制、疗法和生物标志物。
Physiol Rev. 2021 Jul 1;101(3):797-855. doi: 10.1152/physrev.00012.2019. Epub 2020 Dec 24.
4
Quercetin induces p53-independent cancer cell death through lysosome activation by the transcription factor EB and Reactive Oxygen Species-dependent ferroptosis.槲皮素通过转录因子 EB 激活溶酶体和活性氧依赖的铁死亡诱导 p53 非依赖性癌细胞死亡。
Br J Pharmacol. 2021 Mar;178(5):1133-1148. doi: 10.1111/bph.15350. Epub 2021 Feb 2.
5
Investigating the Multitarget Mechanism of Traditional Chinese Medicine Prescription for Cancer-Related Pain by Using Network Pharmacology and Molecular Docking Approach.基于网络药理学和分子对接方法探究中药复方治疗癌痛的多靶点作用机制
Evid Based Complement Alternat Med. 2020 Nov 10;2020:7617261. doi: 10.1155/2020/7617261. eCollection 2020.
6
Bone metastases.骨转移。
Nat Rev Dis Primers. 2020 Oct 15;6(1):83. doi: 10.1038/s41572-020-00216-3.
7
Effect of Oral Chinese Medicine Combined with Western Medicine on Cancer Pain: A Meta-Analysis.口服中药联合西药对癌痛的影响:一项Meta分析。
Chin J Integr Med. 2021 Sep;27(9):713-720. doi: 10.1007/s11655-020-3423-x. Epub 2020 Aug 19.
8
Characterizing the Binding of Angiotensin Converting Enzyme I Inhibitory Peptide to Human Hemoglobin: Influence of Electromagnetic Fields. characterizing the binding of angiotensin converting enzyme i inhibitory peptide to human hemoglobin: influence of electromagnetic fields.
Protein Pept Lett. 2020;27(10):1007-1021. doi: 10.2174/1871530320666200425203636.
9
Identification of Potential Biomarkers for Anti-PD-1 Therapy in Melanoma by Weighted Correlation Network Analysis.基于加权相关网络分析鉴定黑色素瘤抗 PD-1 治疗的潜在生物标志物
Genes (Basel). 2020 Apr 17;11(4):435. doi: 10.3390/genes11040435.
10
GP130 Cytokines in Breast Cancer and Bone.乳腺癌与骨骼中的GP130细胞因子
Cancers (Basel). 2020 Jan 31;12(2):326. doi: 10.3390/cancers12020326.