US-China Institute for Translational Medicine, College of Pharmacy, Binzhou Medical University, Yantai 264000, China.
Department of Biomedical Engineering, School of Medicine, The University of Alabama at Birmingham, Birmingham, AL 35233, USA.
Cells. 2022 Jul 21;11(14):2256. doi: 10.3390/cells11142256.
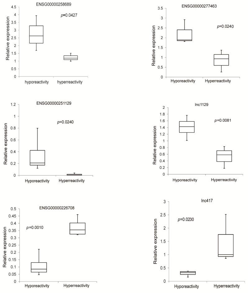
Recently, long noncoding RNAs (lncRNAs) have been key regulators for both mRNAs and proteins in nucleated cells. However, the expression profiles of lncRNAs in non-nucleated cells such as platelets are currently unclear. In this study, we determined the expression profiles of lncRNAs in human platelets. We found that 6109 lncRNAs were expressed in human platelets. Interestingly, 338 lncRNAs were differentially expressed in hyperreactive and hyporeactive platelets. Bioinformatics' analysis revealed that these aberrantly expressed lncRNAs might be related to platelet activity and other platelet functions. To provide a proof of concept, we measured the expression levels of PARLncRNA-1, a down-regulated lncRNA of hyperreactive platelets, in platelets from 12 patients with acute myocardial infarction and their controls. We found that the lncRNA was also significantly down-regulated in platelets from patients, which was partially reversed by treatment with aspirin a known antiplatelet drug. LncRNAs may represent a novel class of modulators for platelet functions.
最近,长非编码 RNA(lncRNAs)已成为核细胞中 mRNA 和蛋白质的关键调节剂。然而,目前尚不清楚非核细胞(如血小板)中 lncRNAs 的表达谱。在这项研究中,我们确定了人血小板中 lncRNAs 的表达谱。我们发现 6109 个 lncRNAs 在人血小板中表达。有趣的是,338 个 lncRNAs 在高反应性和低反应性血小板中差异表达。生物信息学分析表明,这些异常表达的 lncRNAs 可能与血小板活性和其他血小板功能有关。为了提供一个概念验证,我们测量了 PARLncRNA-1 的表达水平,PARLncRNA-1 是高反应性血小板下调的 lncRNA,在 12 名急性心肌梗死患者及其对照者的血小板中。我们发现,lncRNA 在患者的血小板中也明显下调,这部分被已知的抗血小板药物阿司匹林逆转。lncRNAs 可能代表一类新型的血小板功能调节剂。